

Natural Resources
Conservation Service
Ecological site R028AY332UT
Upland Alkali Loam (Wyoming Big Sagebrush)
Last updated: 5/02/2025
Accessed: 10/21/2025
General information
Provisional. A provisional ecological site description has undergone quality control and quality assurance review. It contains a working state and transition model and enough information to identify the ecological site.

Figure 1. Mapped extent
Areas shown in blue indicate the maximum mapped extent of this ecological site. Other ecological sites likely occur within the highlighted areas. It is also possible for this ecological site to occur outside of highlighted areas if detailed soil survey has not been completed or recently updated.
MLRA notes
Major Land Resource Area (MLRA): 028A–Ancient Lake Bonneville
MLRA 28A occurs in Utah (82 percent), Nevada (16 percent), and Idaho (2 percent). It encompasses approximately 36,775 square miles (95,246 square kilometers). A large area west and southwest of Great Salt Lake is a salty playa. This area is the farthest eastern extent of the Great Basin Section of the Basin and Range Province of the Intermontane Plateaus. It is an area of nearly level basins between widely separated mountain ranges trending north to south. The basins are bordered by long, gently sloping alluvial fans. The mountains are uplifted fault blocks with steep side slopes. Most of the valleys are closed basins containing sinks or playa lakes. Elevation ranges from 3,950 to 6,560 feet (1,204 to 2000 meters) in the basins and from 6,560 to 11,150 feet (1996 to 3398 meters) in the mountains. Much of the MLRA has alluvial valley fill and playa lakebed deposits at the surface from pluvial Lake Bonneville, which dominated this MLRA 13,000 years ago. A level line of remnant lake terraces on some mountain slopes indicates the former extent of this glacial lake. The Great Salt Lake is what remains of the pluvial lake.
Mountains in the interior of this MLRA consist of tilted blocks of marine sediments from Cambrian to Mississippian age with scattered outcrops of Tertiary continental sediments and volcanic rocks. The average annual precipitation is 5 to 12 inches (13 to 30 cm) in the valleys and ranges up to 49 inches (124 cm) in the mountains. Most of the rainfall in the southern LRU occurs as high-intensity, convective thunderstorms during the growing season (April through September). The driest period is from midsummer to early autumn in the northern LRU. Precipitation in winter typically occurs as snow. The average annual temperature is 39 to 53 °F (4 to 12 °C). The freeze-free period averages 165 days and ranges from 110 to 215 days, decreasing in length with increasing elevation. The dominant soil orders in this MLRA are Aridisols, Entisols, and Mollisols. Soils are dominantly in the mesic or frigid soil temperature regime, aridic or xeric soil moisture regime, and mixed mineralogy. The soils are generally well drained, loamy or loamy-skeletal, and very deep.
LRU notes
The Basin and Range North LRU exhibits dry summer with stronger xeric patterns than the Basin and Range South LRU. Ranges in the north LRU are about 50 percent Paleozoic sedimentary/metasedimentary (limestone/quartzite dominant) and about 10 percent Tertiary volcanics. The basin floors are between 4,200 and 5,100 feet (1,280 to 1,554 meters) in elevation. Pinyon and juniper sites have a greater percentage of Utah juniper (Juniperus osteosperma) in the plant community than pinyon pine (Pinus edulis or monophylla). The Basin and Range North have few semidesert ecological sites with Utah juniper. Cool season grasses, such as bluebunch wheatgrass (Pseudoroegneria spicata), are dominant in the plant community, while warm season grasses are largely absent or a small component of the plant community.
Ecological site concept
The Upland Alkali Loam (Wyoming Big Sagebrush) site is located on knolls on lake plains on gentle slopes (1 to 3 percent) between 4,210 and 4,250 feet (1,283 to 1,295 meters). The soil is coarse-silty and deep. The soil was formed in lacustrine deposits derived from sandstone and limestone. The precipitation ranges from 14 to 28 inches (355 to 711 mm). Vegetation is characterized by a shrub layer dominated by Wyoming big sagebrush (Artemisia tridentata var. wyomingensis) with black greasewood (Sacrobatus vermiculatus). Bottlebrush squirreltail (Elymus elymoides) and Indian ricegrass (Achnatherum hymenoides) are common grasses.
Associated sites
R028AY024UT |
Wet Saline Meadow (Saltgrass) This site will have a water table within 10 inches of the soil surface. |
---|---|
R028AY025UT |
Lakeshore Marsh This site occurs on the edges of waterbodies and has standing water for much of the year. |
R028AY131UT |
Desert Salty Silt (Pickleweed) This site is in a lower landscape position and has a high concentration of salt which influence the plant community. |
R028AY330UT |
Upland Sand (Black Greasewood, Indian Ricegrass) This site occurs on dunes. |
R028AY004UT |
Alkali Flat (Black Greasewood) This site will occur in a lower landscape position. |
Similar sites
R028AY004UT |
Alkali Flat (Black Greasewood) This site will occur in a lower landscape position. |
---|---|
R028AY330UT |
Upland Sand (Black Greasewood, Indian Ricegrass) This site occurs on dunes. |
R028AY202UT |
Semidesert Alkali Loam (Black Greasewood) North This site will occur lower on the landscape. |
Table 1. Dominant plant species
Tree |
Not specified |
---|---|
Shrub |
(1) Artemisia tridentata ssp. wyomingensis |
Herbaceous |
(1) Elymus elymoides |
Physiographic features
The Upland Alkali Loam (Wyoming Big Sagebrush) site is located on knolls on lake plains on gentle slopes (1 to 3 percent) between 4,210 and 4,250 feet (1,283 to 1,295 meters). Flooding does not occur on this site.

Figure 2.
Table 2. Representative physiographic features
Landforms |
(1)
Lake plain
> Knoll
|
---|---|
Flooding frequency | None |
Ponding frequency | None |
Elevation | 4,210 – 4,250 ft |
Slope | 3% |
Aspect | Aspect is not a significant factor |
Climatic features
The climate is dry subhumid and is characterized by cold, snowy winters and warm, dry summers. The average annual precipitation ranges from 14 to 18 inches. April and May are typically the wettest months with July and August being the driest. The most reliable sources of moisture for plant growth are the snow that accumulates over the winter and spring rains that, in combination, wet the sites soil throughout the spring and early summer months. Summer thunderstorms are intermittent and sporadic in nature and thus are not reliable sources of moisture to support vegetative growth on this site. The mean annual air temperature is 51 degrees.
Table 3. Representative climatic features
Frost-free period (actual range) | |
---|---|
Freeze-free period (actual range) | |
Precipitation total (actual range) | 14-18 in |
Frost-free period (average) | 161 days |
Freeze-free period (average) | 189 days |
Precipitation total (average) | 16 in |
Figure 3. Monthly precipitation range
Figure 4. Monthly average minimum and maximum temperature
Influencing water features
Due to its landscape position, this site is not typically influenced by streams or wetlands. It can sometimes be influenced by overland flow during heavy thunder storms and/or during wetter spring runoff periods.
Soil features
Characteristic soils are very deep and well drained. The soil moisture and temperature regimes are xeric aridic and mesic respectively. These soils formed in lacustrine deposits derived mainly from sandstone or limestone parent material. Soil textures are typically silt loams. They are slightly saline (0 to 4 mmhos/cm) and slightly to moderately alkaline. Available water capacity is 3.0 to 4.6 inches.
Soil Survey Area: Soil Components (Map units in parentheses)
Box Elder County, Utah, Eastern Part (UT602): Pogal (EP, PEP, PVA, PVC, SPL)
Davis-Weber County (UT607): Pogal (EP, PEP, SPL)
Tooele Area, Utah-Tooele County and Parts of Box Elder, Davis and Juab Counties (UT611): Pogal (SPL)
Salt Lake Area (UT612): Pogal (EP, PEP, SPL)
Typical Profile (Pogal):
A - 0-4 inches; silt loam; strongly effervescent; moderately alkaline.
Bw - 4-13 inches; silt loam; strongly effervescent; strongly alkaline.
Bn - 13-22 inches; silt loam; strongly effervescent; strongly alkaline.
Bkn1 - 22-35 inches; silt loam; strongly effervescent; strongly alkaline.
Bkn2 - 35-49 inches; silt loam; violently effervescent; very strongly alkaline.
Cn - 49-60 inches; silt loam; violently effervescent; very strongly alkaline.
Table 4. Representative soil features
Parent material |
(1)
Lacustrine deposits
–
limestone and sandstone
|
---|---|
Surface texture |
(1) Silt loam |
Drainage class | Well drained |
Permeability class | Moderately slow |
Available water capacity (0-40in) |
3 – 4.6 in |
Calcium carbonate equivalent (0-40in) |
15 – 30% |
Electrical conductivity (0-40in) |
4 mmhos/cm |
Sodium adsorption ratio (0-40in) |
5 – 30 |
Soil reaction (1:1 water) (0-40in) |
7.9 – 8.4 |
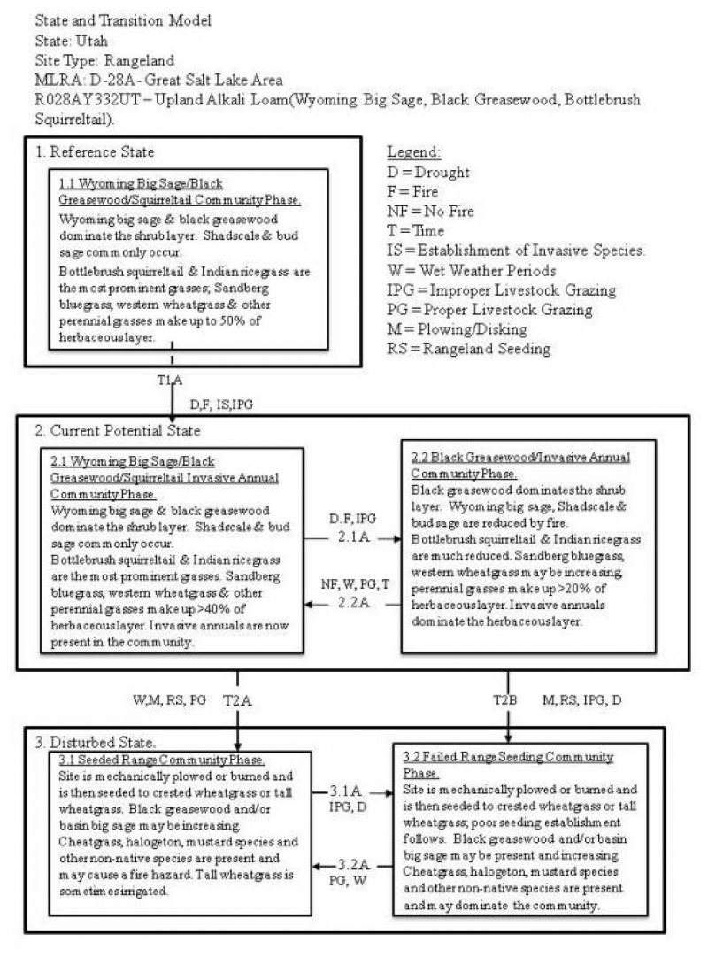
Ecological dynamics
The Upland Alkali Loam (Wyoming Big Sagebrush) site developed under the natural ecological conditions found in the Great Salt Lake Area portion of the Basin and Range Province and includes the natural influences of native herbivore grazing and browsing, and climate. Vegetation is characterized by a shrub layer dominated by Wyoming big sagebrush with black greasewood commonly occurring. Bottlebrush squirreltail and Indian ricegrass are common herbaceous grasses. On average years, plant growth begins about April 1 and ends around October 30.
This site is usually found adjacent and just above the Alkali Flat (Greasewood) R028AY004UT site. Greasewood typically increases in the community where it approaches the Alkali Flat site.
During periods of drought, perennial warm and cool season grasses decrease, while periods of normal and above average precipitation result in their increase. Shrub cover is generally lower under dryer climatic conditions, and annual production decreases during drought.
The Upland Alkali Loam (Wyoming Big Sagebrush) ecological site has been grazed by domestic livestock since they were first introduced into the area around 1850. This livestock introduction, including the use of fencing, and the development of reliable water sources, have influenced the disturbance regime historically associated with this ecological site. This site often served as wintering pastures for sheep and cattle producers.
Improperly managed livestock grazing (continuous season long grazing, heavy stocking rates, repeated early spring grazing, etc.) can cause this site to depart from its reference plant community. Bottlebrush squirreltail and Indian ricegrass will often decrease while Wyoming big sagebrush, green rabbitbrush, and black greasewood increase. During periods of continous winter grazing by sheep, black greasewood will also decrease.
Timing of grazing also affects the sites ecological dynamics, for example, spring grazing can result in a decline of cool season grasses, while summer/early fall grazing can result in a decline of warm season grasses.
Fire will kill Wyoming big sagebrush allowing green rabbitbrush and black greasewood to increase. Broom snakeweed, Halogeton, burr buttercup, and Russian thistle are likely to invade as the site deteriorates.
As vegetative communities respond to changes in management or natural influences that move them from one state to another, a return to previous states may not be possible. The amount of energy needed to affect these vegetative shifts depends on present biotic and abiotic features and the desired results.
The following state and transition model diagram depicts some of the most commonly occurring plant communities found on this ecological site. These communities may not represent every possibility, but they are the most prevalent and repeatable. As more data are collected, some of these plant communities may be revised or removed, and new ones may be added. This model was developed using range data collected for publication of the Box Elder County, Eastern Part, Soil Survey and the recent Eastern Shores update. Both ocular and measured data was collected and utilized. Range data collected by the NRCS since 1983 was also used.
Three possible alternative stable states have been hypothesized for this ecological site. The Reference State contains one community phase. The Current Potential State contains two community phases and non-native species have been introduced in the system which alters the resilience and resistance of the state. The Disturbed State contains two community phases and occurs when the native rangeland is converted to a seeded phase. Specific community phases and transitions will be described in the narratives below.
State and transition model

More interactive model formats are also available.
View Interactive Models
More interactive model formats are also available.
View Interactive Models
Click on state and transition labels to scroll to the respective text
Ecosystem states
State 1 submodel, plant communities
State 2 submodel, plant communities
State 3 submodel, plant communities
State 1
Reference State
The Reference State represents the plant communities and ecological dynamics of the Upland Alkali Loam (Wyoming big sage/black greasewood/bottlebrush squirreltail) site. This state includes the biotic communities that become established on this ecological site when all successional sequences are completed under the natural disturbance regime. The Reference State generally has co-dominate shrubs composed of Wyoming big sagbrush and black greasewood. Bottlebrush squirreltail and Indian ricegrass dominate the hergaceous layer. The Reference State is self sustaining and resistant to change due to high resistance to natural disturbances and high resilience following natural disturbances. When natural disturbances occur, the rate of recovery is variable due to disturbance intensity. Once invasive plants become established, return to the reference state may not be possible. Reference State: Wyoming big sage/black greasewood/bottlebrush squirreltail state with natural fluctuations that allow either shrub species to dominate at any given location depending on the natural disturbance history. Indicators: A healthy community dominated by Wyoming big sage, black greasewood and bottlebrush squirreltail. Feedbacks: Improper livestock grazing of perennial grasses and/or other disturbances that may allow for the establishment of invasive species. At-risk Community Phase: This state is at risk when native plants are stressed and nutrients become available for invasive plants to establish. Trigger: The establishment of invasive plant species.
Community 1.1
Wyoming Big Sage/Black Greasewood/Bottlebrush Squirreltail
This community is characterized by a Wyoming big sagebrush, black greasewood shrub canopy, small amounts of bud sagebrush and shadscale may also be present. The herbaceous layer is dominated by bottlebrush squirreltail and Indian ricegrass. Other commonly occurring grasses include Sandberg bluegrass and western wheatgrass. A mix of other perennial grasses, shrubs, and forbs are also present. The composition by air-dry weight is approximately 40 to 50 percent perennial grasses, 10 percent forbs, and 40 to 50 percent shrubs. Bare ground is variable (35 to 45 percent) depending on the amount of biological crust (0 to 15 percent), and plant cover.
Figure 5. Annual production by plant type (representative values) or group (midpoint values)
Table 5. Annual production by plant type
Plant type | Low (lb/acre) |
Representative value (lb/acre) |
High (lb/acre) |
---|---|---|---|
Shrub/Vine | 300 | 400 | 500 |
Grass/Grasslike | 250 | 350 | 500 |
Forb | 60 | 80 | 100 |
Total | 610 | 830 | 1100 |
Table 6. Ground cover
Tree foliar cover | 0% |
---|---|
Shrub/vine/liana foliar cover | 10-20% |
Grass/grasslike foliar cover | 10-20% |
Forb foliar cover | 5-10% |
Non-vascular plants | 0% |
Biological crusts | 0-15% |
Litter | 15-20% |
Surface fragments >0.25" and <=3" | 0-1% |
Surface fragments >3" | 0% |
Bedrock | 0% |
Water | 0% |
Bare ground | 30-40% |
State 2
Current Potential State
The Current Potential State is similar to the Reference State, however invasive grasses and/ or forbs are now present in all community phases. This state is still dominated by a shrub canopy of Wyoming big sagebrush and black greasewood, however depending on disturbance history, green and/or rubber rabbitbrush may be prominent on the site. Bottlebrush squirreltail and Indian ricegrass are still the primary perennial grass species however, Sandberg bluegrass, western wheatgrass, cheatgrass and other less palatable species now make up a larger portion of the herbaceous layer. Primary disturbance mechanisms include native herbivore grazing and domestic livestock grazing. Timing of these disturbances dictates the ecological dynamics that occur. The current potential state is still self sustaining; but is losing resistance to change due to lower resilience following disturbances. When disturbances occur, the rate of recovery is variable depending on severity. Current Potential State: Wyoming big sagebrush/Black greasewood/ bottlebrush squirreltail state with variations of green and/or rubber rabbitbrush shrubs present. Invasive plants are present. Indicators: A community dominated by a mixture of native perennial grassses, forbs and. Invasive grasses and/or forbs are also present. Feedbacks: Frequent disturbances that may allow the dominance of annual invasive species such as cheatgrass to dominate. At-risk Community Phase: As increased disturbance frequency allows for the dominance of annual grasses, such as cheatgrass, this community is at greater risk. Trigger: Reoccurring disturbances that result in a dominance of annual grasses in the herbaceous layer.
Community 2.1
Wyoming Big Sage/Black Greasewood/Bottlebrush Squirreltail Invasive Annuals

Figure 6. Community Phase 2.1
This community is characterized by a Wyoming big sagebrush, black greasewood shrub canopy, small amounts of bud sagebrush and shadscale may also be present. The herbaceous layer is dominated by bottlebrush squirreltail and Indian ricegrass. Other commonly occurring grasses include cheatgrass, Sandberg bluegrass and western wheatgrass. A mix of other non-native annual grasses and forbs are also present. The composition by air-dry weight is approximately 30 to 40 percent perennial grasses, 10 percent forbs, and 50 to 60 percent shrubs. Bare ground is variable (40 to 50 percent) depending on the amount of biological crust (0 to 15 percent), and plant cover.
Figure 7. Annual production by plant type (representative values) or group (midpoint values)
Table 7. Annual production by plant type
Plant type | Low (lb/acre) |
Representative value (lb/acre) |
High (lb/acre) |
---|---|---|---|
Shrub/Vine | 300 | 400 | 500 |
Grass/Grasslike | 250 | 350 | 500 |
Forb | 60 | 80 | 100 |
Total | 610 | 830 | 1100 |
Table 8. Ground cover
Tree foliar cover | 0% |
---|---|
Shrub/vine/liana foliar cover | 10-25% |
Grass/grasslike foliar cover | 10-20% |
Forb foliar cover | 5-10% |
Non-vascular plants | 0% |
Biological crusts | 0-10% |
Litter | 15-20% |
Surface fragments >0.25" and <=3" | 0-1% |
Surface fragments >3" | 0% |
Bedrock | 0% |
Water | 0% |
Bare ground | 30-40% |
Community 2.2
Black Greasewood/Invasive Annuals

Figure 8. Community Phase 2.2
This community is characterized by a Wyoming big sagebrush and/or black greasewood shrub canopy, small amounts of bud sagebrush and shadscale may also be present. The herbaceous layer is dominated by cheatgrass and/or Japanese brome. Bottlebrush squirreltail and Indian ricegrass may still be present in small amounts. Other commonly occurring grasses include Sandberg bluegrass and western wheatgrass. A mix of other non-native annual grasses and forbs are also present. The composition by air-dry weight is approximately 10 to 20 percent perennial grasses, 20 percent forbs, and 60 to 70 percent shrubs. Bare ground is variable (40 to 50 percent) depending on the amount of biological crust (0 to 10 percent).
Figure 9. Annual production by plant type (representative values) or group (midpoint values)
Table 9. Annual production by plant type
Plant type | Low (lb/acre) |
Representative value (lb/acre) |
High (lb/acre) |
---|---|---|---|
Shrub/Vine | 300 | 400 | 500 |
Grass/Grasslike | 250 | 350 | 500 |
Forb | 60 | 80 | 100 |
Total | 610 | 830 | 1100 |
Table 10. Ground cover
Tree foliar cover | 0% |
---|---|
Shrub/vine/liana foliar cover | 10-25% |
Grass/grasslike foliar cover | 20-30% |
Forb foliar cover | 5-10% |
Non-vascular plants | 0% |
Biological crusts | 0-10% |
Litter | 25-30% |
Surface fragments >0.25" and <=3" | 0-1% |
Surface fragments >3" | 0% |
Bedrock | 0% |
Water | 0% |
Bare ground | 20-30% |
Pathway 2.1a
Community 2.1 to 2.2


This pathway occurs when events favor a decrease in palatable perennial grasses and grasslikes and an increase in shrubs such as black greasewood and/or Wyoming big sagebrush. Non-native annuals including cheatgrass and field brome may eventually dominate the community. Events may include any combination of extended drought, improper livestock grazing, and fire that increase annuals and decrease desirable perennials. Fire may also remove Wyoming big sagebrush from the shrub layer.
Pathway 2.2a
Community 2.2 to 2.1


This pathway occurs when events favor an increase in palatable perennial grasses and grasslikes an a decrease in less palatable species. Non-native annuals, including cheatgrass and field brome may become less dominate in the community as perennial grasses increase in vigor. Events may include extended periods with above average moisture, carefully managed livestock grazing, and the absence of fire, which, in combination, can decrease annuals and less palatable perennials, and increase more desirable perennial vegeration. Time without fire may also allow Wyoming big sagebrush to icrease in the shrub layer.
State 3
Disturbed State
The Disturbed State occurs when the site is plowed or disked and planted to various rangeland grasses. Tall wheatgrass, crested wheatgrass, and Russian wildrye are the most commonly seeded species. These seedings may be very clean and healthy or may have various amounts of non-native annuals including, but are not limited to Russian thistle, cheatgrass, tansy mustard, broom snakeweed, alyssum, 5-horned smotherweed and annual Cryptantha. Invasive Forb State: Range seeding community phases influenced by livestock grazing practices and weather cycles. Indicators: Perennial rangeland seeding with annual, invasive forbs and grasses present in various amounts. Feedbacks: Livestock grazing practices and weather cycles that maintain or degrade the range seeding and suppress or increase the non-native annuals present in the community. Trigger: An increase of cheatgrass and other annuals that may shorten the sites fire interval, decrease perennial seeding production and increase bare ground.
Community 3.1
Seeded Range Community Phase

Figure 10. Community Phase 3.1
This community phase has been mechanically plowed, disked or burned, and then seeded to rangeland grasses including crested wheatgrass, tall wheatgrass and/or Russian wildrye. Black greasewood, rubber rabbitbrush, and/or Wyoming big sage may be present in small amounts. Annuals including cheatgrass, Halogeton, various mustard species, and other non-native species are also present in small amounts and during above average moisture years, may become prominent enough in the stand to cause a fire hazard. Tall wheatgrass is sometimes irrigated.
Figure 11. Annual production by plant type (representative values) or group (midpoint values)
Table 11. Annual production by plant type
Plant type | Low (lb/acre) |
Representative value (lb/acre) |
High (lb/acre) |
---|---|---|---|
Grass/Grasslike | 500 | 700 | 900 |
Forb | 50 | 100 | 150 |
Shrub/Vine | 25 | 50 | 100 |
Total | 575 | 850 | 1150 |
Table 12. Ground cover
Tree foliar cover | 0% |
---|---|
Shrub/vine/liana foliar cover | 0-10% |
Grass/grasslike foliar cover | 20-30% |
Forb foliar cover | 5-10% |
Non-vascular plants | 0% |
Biological crusts | 0% |
Litter | 0% |
Surface fragments >0.25" and <=3" | 0% |
Surface fragments >3" | 0% |
Bedrock | 0% |
Water | 0% |
Bare ground | 50-60% |
Community 3.2
Failed Range Seeding Community Phase.

Figure 12. Community Phase 3.2
This community phase has been mechanically plowed, disked or burned and then seeded to renge seeding species including crested wheatgrass, tall wheatgrass, and/or Russian wildrye. Poor management and/or drought causes the seeding to fail. Black greasewood, rubber rabbitbrush and/or basin big sagebrush may be present and increasing in the stand. Cheatgrass, Halogeton, various mustard species, and other non-native species are present and often dominate the community.
Figure 13. Annual production by plant type (representative values) or group (midpoint values)
Table 13. Annual production by plant type
Plant type | Low (lb/acre) |
Representative value (lb/acre) |
High (lb/acre) |
---|---|---|---|
Grass/Grasslike | 300 | 500 | 700 |
Forb | 100 | 200 | 300 |
Shrub/Vine | 50 | 100 | 150 |
Total | 450 | 800 | 1150 |
Table 14. Ground cover
Tree foliar cover | 0% |
---|---|
Shrub/vine/liana foliar cover | 20-45% |
Grass/grasslike foliar cover | 25-45% |
Forb foliar cover | 10-30% |
Non-vascular plants | 0% |
Biological crusts | 0% |
Litter | 0% |
Surface fragments >0.25" and <=3" | 0% |
Surface fragments >3" | 0% |
Bedrock | 0% |
Water | 0% |
Bare ground | 40-60% |
Pathway 3.1a
Community 3.1 to 3.2


This pathway occurs when events favor an decrease in seeded rangeland species and an increase in unwanted invasive annuals. Events may include extended drought and improper livestock grazing that it increases annuals and decreases desirable perennials.
Pathway 3.2a
Community 3.2 to 3.1


This pathway occurs when events favor an increase in seeded rangeland species and a reduction in unwanted invasive annuals. Events may include a series of above average moisture years and proper livestock grazing.
Transition T1A
State 1 to 2
This transition is from the native perennial warm and cool season grass and grasslike understory in the Reference State to a state that contains non-native, invasive species. Events may include the establishment of invasive grasses and forbs, and an increase in black greasewood, basin big sagebrush, and/or rubber rabbitbrush. Factors that drive such events include, improper livestock grazing of perennial grasses, prolonged drought, and the presence of a seed source for invasive species. Fire may also be a driver for this change in some instances. Invasive species, such as cheatgrass, however have been known to invade intact perennial plant communities with little to no disturbance. Once invasive species are found in the plant community a threshold has been crossed.
Transition T2B
State 2 to 3
This transition is from the Current Potential State to a failed seeded rangeland community phase. Site is plowed, disked and/or burned, and seeded to adapted rangeland species including tall wheatgrass, crested wheatgrass or Russian wildrye. Factors that drive such events include, improper livestock grazing of perennial grasses, prolonged drought for seeding establishment, and poor control of unwanted invasive species. Once site is converted, a threshold has been crossed.
Transition T2B
State 2 to 3
This transition is from the current potential state to a failed seeded rangeland community phase. Site is plowed, disked and/or burned, and seeded to adapted rangeland species including tall wheatgrass, crested wheatgrass or Russian wilrye. Factors that drive such events include, improper livestock grazing of perennial grasses, prolonged drought for seeding establishment, and poor control of unwanted invasive species. Once site is converted, a threshold has been crossed.
Additional community tables
Table 15. Community 1.1 plant community composition
Group | Common name | Symbol | Scientific name | Annual production (lb/acre) | Foliar cover (%) | |
---|---|---|---|---|---|---|
Shrub/Vine
|
||||||
1 | Primary Shrubs | 220–350 | ||||
greasewood | SAVE4 | Sarcobatus vermiculatus | 120–160 | – | ||
Wyoming big sagebrush | ARTRW8 | Artemisia tridentata ssp. wyomingensis | 120–150 | – | ||
3 | Secondary Shrubs | 50–100 | ||||
shadscale saltbush | ATCO | Atriplex confertifolia | 30–60 | – | ||
bud sagebrush | PIDE4 | Picrothamnus desertorum | 30–60 | – | ||
winterfat | KRLA2 | Krascheninnikovia lanata | 20–30 | – | ||
plains pricklypear | OPPO | Opuntia polyacantha | 10–20 | – | ||
green molly | BAAM4 | Bassia americana | 10–20 | – | ||
yellow rabbitbrush | CHVIS5 | Chrysothamnus viscidiflorus ssp. viscidiflorus var. stenophyllus | 10–20 | – | ||
rubber rabbitbrush | ERNAN5 | Ericameria nauseosa ssp. nauseosa var. nauseosa | 10–20 | – | ||
Grass/Grasslike
|
||||||
2 | Primary Grasses | 220–300 | ||||
squirreltail | ELEL5 | Elymus elymoides | 130–150 | – | ||
Indian ricegrass | ACHY | Achnatherum hymenoides | 50–100 | – | ||
Sandberg bluegrass | POSE | Poa secunda | 40–70 | – | ||
1 | Secondary Grasses | 40–80 | ||||
western wheatgrass | PASM | Pascopyrum smithii | 15–30 | – | ||
James' galleta | PLJA | Pleuraphis jamesii | 10–20 | – | ||
sand dropseed | SPCR | Sporobolus cryptandrus | 10–20 | – | ||
purple threeawn | ARPU9 | Aristida purpurea | 10–20 | – | ||
saltgrass | DISP | Distichlis spicata | 10–20 | – | ||
basin wildrye | LECI4 | Leymus cinereus | 10–20 | – | ||
Forb
|
||||||
2 | Forbs | 30–70 | ||||
common yarrow | ACMI2 | Achillea millefolium | 10–20 | – | ||
freckled milkvetch | ASLE8 | Astragalus lentiginosus | 10–20 | – | ||
clasping pepperweed | LEPE2 | Lepidium perfoliatum | 10–20 | – | ||
pale evening primrose | OEPA | Oenothera pallida | 10–20 | – | ||
old-man-in-the-Spring | SEVU | Senecio vulgaris | 10–20 | – | ||
scarlet globemallow | SPCO | Sphaeralcea coccinea | 10–20 | – | ||
Pacific aster | SYCHC | Symphyotrichum chilense var. chilense | 10–20 | – | ||
yellow salsify | TRDU | Tragopogon dubius | 10–20 | – |
Table 16. Community 2.1 plant community composition
Group | Common name | Symbol | Scientific name | Annual production (lb/acre) | Foliar cover (%) | |
---|---|---|---|---|---|---|
Shrub/Vine
|
||||||
1 | Primary Shrubs | 220–350 | ||||
greasewood | SAVE4 | Sarcobatus vermiculatus | 120–160 | – | ||
Wyoming big sagebrush | ARTRW8 | Artemisia tridentata ssp. wyomingensis | 130–150 | – | ||
3 | Secondary Shrubs | 50–100 | ||||
bud sagebrush | PIDE4 | Picrothamnus desertorum | 30–60 | – | ||
shadscale saltbush | ATCO | Atriplex confertifolia | 30–60 | – | ||
winterfat | KRLA2 | Krascheninnikovia lanata | 20–30 | – | ||
plains pricklypear | OPPO | Opuntia polyacantha | 10–20 | – | ||
green molly | BAAM4 | Bassia americana | 10–20 | – | ||
yellow rabbitbrush | CHVIS5 | Chrysothamnus viscidiflorus ssp. viscidiflorus var. stenophyllus | 10–20 | – | ||
rubber rabbitbrush | ERNAN5 | Ericameria nauseosa ssp. nauseosa var. nauseosa | 10–20 | – | ||
Grass/Grasslike
|
||||||
2 | Primary Grasses | 220–300 | ||||
squirreltail | ELEL5 | Elymus elymoides | 130–150 | – | ||
Indian ricegrass | ACHY | Achnatherum hymenoides | 50–100 | – | ||
cheatgrass | BRTE | Bromus tectorum | 40–80 | – | ||
Sandberg bluegrass | POSE | Poa secunda | 40–70 | – | ||
1 | Secondary Grasses | 40–80 | ||||
western wheatgrass | PASM | Pascopyrum smithii | 15–30 | – | ||
James' galleta | PLJA | Pleuraphis jamesii | 10–20 | – | ||
sand dropseed | SPCR | Sporobolus cryptandrus | 10–20 | – | ||
purple threeawn | ARPU9 | Aristida purpurea | 10–20 | – | ||
saltgrass | DISP | Distichlis spicata | 10–20 | – | ||
basin wildrye | LECI4 | Leymus cinereus | 10–20 | – | ||
Forb
|
||||||
2 | Forbs | 50–100 | ||||
common yarrow | ACMI2 | Achillea millefolium | 10–20 | – | ||
freckled milkvetch | ASLE8 | Astragalus lentiginosus | 10–20 | – | ||
lambsquarters | CHAL7 | Chenopodium album | 10–20 | – | ||
herb sophia | DESO2 | Descurainia sophia | 10–20 | – | ||
clasping pepperweed | LEPE2 | Lepidium perfoliatum | 10–20 | – | ||
pale evening primrose | OEPA | Oenothera pallida | 10–20 | – | ||
Russian thistle | SAKA | Salsola kali | 10–20 | – | ||
old-man-in-the-Spring | SEVU | Senecio vulgaris | 10–20 | – | ||
tall tumblemustard | SIAL2 | Sisymbrium altissimum | 10–20 | – | ||
scarlet globemallow | SPCO | Sphaeralcea coccinea | 10–20 | – | ||
Pacific aster | SYCHC | Symphyotrichum chilense var. chilense | 10–20 | – | ||
field pennycress | THAR5 | Thlaspi arvense | 10–20 | – | ||
yellow salsify | TRDU | Tragopogon dubius | 10–20 | – |
Table 17. Community 2.2 plant community composition
Group | Common name | Symbol | Scientific name | Annual production (lb/acre) | Foliar cover (%) | |
---|---|---|---|---|---|---|
Shrub/Vine
|
||||||
1 | Primary Shrubs | 220–350 | ||||
greasewood | SAVE4 | Sarcobatus vermiculatus | 120–160 | – | ||
Wyoming big sagebrush | ARTRW8 | Artemisia tridentata ssp. wyomingensis | 130–150 | – | ||
3 | Secondary Shrubs | 50–100 | ||||
shadscale saltbush | ATCO | Atriplex confertifolia | 30–60 | – | ||
bud sagebrush | PIDE4 | Picrothamnus desertorum | 30–60 | – | ||
winterfat | KRLA2 | Krascheninnikovia lanata | 20–30 | – | ||
plains pricklypear | OPPO | Opuntia polyacantha | 10–20 | – | ||
green molly | BAAM4 | Bassia americana | 10–20 | – | ||
yellow rabbitbrush | CHVIS5 | Chrysothamnus viscidiflorus ssp. viscidiflorus var. stenophyllus | 10–20 | – | ||
rubber rabbitbrush | ERNAN5 | Ericameria nauseosa ssp. nauseosa var. nauseosa | 10–20 | – | ||
Grass/Grasslike
|
||||||
2 | Primary Grasses | 220–400 | ||||
cheatgrass | BRTE | Bromus tectorum | 100–200 | – | ||
Sandberg bluegrass | POSE | Poa secunda | 60–100 | – | ||
squirreltail | ELEL5 | Elymus elymoides | 20–50 | – | ||
Indian ricegrass | ACHY | Achnatherum hymenoides | 20–30 | – | ||
1 | Secondary Grasses | 40–80 | ||||
western wheatgrass | PASM | Pascopyrum smithii | 15–30 | – | ||
James' galleta | PLJA | Pleuraphis jamesii | 10–20 | – | ||
sand dropseed | SPCR | Sporobolus cryptandrus | 10–20 | – | ||
purple threeawn | ARPU9 | Aristida purpurea | 10–20 | – | ||
saltgrass | DISP | Distichlis spicata | 10–20 | – | ||
basin wildrye | LECI4 | Leymus cinereus | 10–20 | – | ||
Forb
|
||||||
2 | Forbs | 50–150 | ||||
tall tumblemustard | SIAL2 | Sisymbrium altissimum | 30–40 | – | ||
field pennycress | THAR5 | Thlaspi arvense | 30–40 | – | ||
lambsquarters | CHAL7 | Chenopodium album | 30–40 | – | ||
field bindweed | COAR4 | Convolvulus arvensis | 30–40 | – | ||
herb sophia | DESO2 | Descurainia sophia | 30–40 | – | ||
prickly lettuce | LASE | Lactuca serriola | 30–40 | – | ||
desert madwort | ALDE | Alyssum desertorum | 30–40 | – | ||
annual ragweed | AMAR2 | Ambrosia artemisiifolia | 30–40 | – | ||
Russian thistle | SAKA | Salsola kali | 30–40 | – | ||
old-man-in-the-Spring | SEVU | Senecio vulgaris | 10–20 | – | ||
freckled milkvetch | ASLE8 | Astragalus lentiginosus | 10–20 | – | ||
clasping pepperweed | LEPE2 | Lepidium perfoliatum | 10–20 | – | ||
pale evening primrose | OEPA | Oenothera pallida | 10–20 | – | ||
yellow salsify | TRDU | Tragopogon dubius | 10–20 | – | ||
scarlet globemallow | SPCO | Sphaeralcea coccinea | 10–20 | – | ||
Pacific aster | SYCHC | Symphyotrichum chilense var. chilense | 10–20 | – | ||
common yarrow | ACMI2 | Achillea millefolium | 10–20 | – |
Table 18. Community 3.1 plant community composition
Group | Common name | Symbol | Scientific name | Annual production (lb/acre) | Foliar cover (%) | |
---|---|---|---|---|---|---|
Grass/Grasslike
|
||||||
1 | Dominant Grasses | 600–900 | ||||
tall wheatgrass | THPO7 | Thinopyrum ponticum | 0–1200 | – | ||
crested wheatgrass | AGCR | Agropyron cristatum | 0–1000 | – | ||
Russian wildrye | PSJU3 | Psathyrostachys juncea | 0–800 | – | ||
sand dropseed | SPCR | Sporobolus cryptandrus | 7–20 | – | ||
western wheatgrass | PASM | Pascopyrum smithii | 7–20 | – | ||
James' galleta | PLJA | Pleuraphis jamesii | 7–20 | – | ||
2 | Sub-dominant Grasses | 200–300 | ||||
cheatgrass | BRTE | Bromus tectorum | 50–75 | – | ||
saltgrass | DISP | Distichlis spicata | 50–75 | – | ||
freckled milkvetch | ASLE8 | Astragalus lentiginosus | 7–33 | – | ||
clasping pepperweed | LEPE2 | Lepidium perfoliatum | 7–33 | – | ||
scarlet globemallow | SPCO | Sphaeralcea coccinea | 7–33 | – | ||
Pacific aster | SYCHC | Symphyotrichum chilense var. chilense | 7–33 | – | ||
Forb
|
||||||
3 | Forbs | 100–300 | ||||
desert madwort | ALDE | Alyssum desertorum | 25–50 | – | ||
annual ragweed | AMAR2 | Ambrosia artemisiifolia | 25–50 | – | ||
lambsquarters | CHAL7 | Chenopodium album | 25–50 | – | ||
field bindweed | COAR4 | Convolvulus arvensis | 25–50 | – | ||
herb sophia | DESO2 | Descurainia sophia | 25–50 | – | ||
prickly lettuce | LASE | Lactuca serriola | 25–50 | – | ||
Russian thistle | SAKA | Salsola kali | 25–50 | – | ||
tall tumblemustard | SIAL2 | Sisymbrium altissimum | 25–50 | – | ||
field pennycress | THAR5 | Thlaspi arvense | 25–50 | – | ||
shadscale saltbush | ATCO | Atriplex confertifolia | 7–20 | – | ||
green molly | BAAM4 | Bassia americana | 7–20 | – | ||
yellow rabbitbrush | CHVIS5 | Chrysothamnus viscidiflorus ssp. viscidiflorus var. stenophyllus | 7–20 | – | ||
rubber rabbitbrush | ERNAN5 | Ericameria nauseosa ssp. nauseosa var. nauseosa | 7–20 | – | ||
winterfat | KRLA2 | Krascheninnikovia lanata | 7–20 | – | ||
bud sagebrush | PIDE4 | Picrothamnus desertorum | 7–20 | – | ||
Shrub/Vine
|
||||||
4 | Shrubs | 50–150 | ||||
Wyoming big sagebrush | ARTRW8 | Artemisia tridentata ssp. wyomingensis | 0–100 | – | ||
greasewood | SAVE4 | Sarcobatus vermiculatus | 25–100 | – |
Table 19. Community 3.2 plant community composition
Group | Common name | Symbol | Scientific name | Annual production (lb/acre) | Foliar cover (%) | |
---|---|---|---|---|---|---|
Grass/Grasslike
|
||||||
1 | Dominant Grasses | 100–400 | ||||
crested wheatgrass | AGCR | Agropyron cristatum | 0–150 | – | ||
tall wheatgrass | THPO7 | Thinopyrum ponticum | 0–150 | – | ||
Russian wildrye | PSJU3 | Psathyrostachys juncea | 0–100 | – | ||
2 | Sub-Dominant Grasses | 500–700 | ||||
cheatgrass | BRTE | Bromus tectorum | 300–400 | – | ||
saltgrass | DISP | Distichlis spicata | 50–125 | – | ||
Forb
|
||||||
3 | Forbs | 200–500 | ||||
Russian thistle | SAKA | Salsola kali | 100–150 | – | ||
tall tumblemustard | SIAL2 | Sisymbrium altissimum | 50–75 | – | ||
field pennycress | THAR5 | Thlaspi arvense | 50–75 | – | ||
desert madwort | ALDE | Alyssum desertorum | 50–75 | – | ||
annual ragweed | AMAR2 | Ambrosia artemisiifolia | 50–75 | – | ||
lambsquarters | CHAL7 | Chenopodium album | 50–75 | – | ||
field bindweed | COAR4 | Convolvulus arvensis | 50–75 | – | ||
herb sophia | DESO2 | Descurainia sophia | 50–75 | – | ||
prickly lettuce | LASE | Lactuca serriola | 50–75 | – | ||
Shrub/Vine
|
||||||
4 | Shrubs | 50–150 | ||||
Wyoming big sagebrush | ARTRW8 | Artemisia tridentata ssp. wyomingensis | 0–100 | – | ||
greasewood | SAVE4 | Sarcobatus vermiculatus | 25–100 | – |
Interpretations
Animal community
--Wildlife Interpretation--
The Upland Alkali Loam (Wyoming Big Sagebrush) ecological site, in its reference state, produced large amounts of nutritious forage that was utilized by native herbivores including deer and antelope who lived here along their associated predators. Although much of this site is presently different from the reference state, it is still very important as wildlife habitat. Other wildlife commonly observed using this site include rabbit, coyote, badger, fox, and various waterfowl species.
In many locations, this ecological site and its associated wetland ecological sites provide critical habitat for migrating birds from both the Pacific and Central Flyways of North America. These areas contain abundant food for birds.
The following statistics were provided by the Bear River Migratory Bird Refuge where much of this ecological site is located:
1. Breeding colonies of white-faced ibis contain as many as 18,000 birds.
2. Up to 10,000 American avocets breed at the Refuge annually.
3. One of North America’s three largest American white pelican breeding colonies, containing in excess of 50,000 birds, is found on Gunnison Island in Great Salt Lake.
4. Northern Utah marshes host up to 60 percent of the continental breeding population of cinnamon teal.
5. The Great Salt Lake boasts the largest fall staging concentration of Wilson’s phalaropes in the world, at approximately 500,000 birds. Red-necked phalaropes number nearly 100,000.
6. The Great Salt Lake area hosts greater than 50 percent of the continental breeding population of snowy plovers.
7. The Great Salt Lake area hosts 26 percent of the global population of marbled godwits during migration.
8. Bear River Refuge may attract over 65,000 black-necked stilts in the fall, more than anywhere else in the country.
--Grazing Interpretations--
The Upland Alkali Loam (Wyoming Big Sagebrush) site provides good spring, fall, and winter grazing conditions for domestic livestock due to its accessibility and its supply of nutritious forage. The plant community is primarily grasses, with the majority of canopy cover being attributed to bottlebrush squirreltail and Indian ricegrass. Improper livestock grazing can cause these species to decrease while annual forbs, black greasewood, Wyoming big sage and rabbitbrush increase.
When this site is stressed, cheatgrass, Russian thistle and Halogeton are likely to invade.
Hydrological functions
The soils associated with this ecological site are generally in Hydrologic Soil Group B. On these sites runoff potential is low and infiltration rates are moderate, depending on slope and ground cover/health (NRCS National Engineering Handbook). Hydrological groups are used in equations that estimate runoff from rainfall. These estimates are needed for solving hydrologic problems that arise in planning watershed-protection and flood-prevention projects and for designing structures for the use, control and disposal of water. In areas similar to the reference state where ground cover is adequate infiltration is increased and runoff potential is decreased. In areas where ground cover is less than 50%, infiltration is reduced and runoff potential is increased. Heavy use by domestic livestock affects hydrology in two ways. Trampling increases bulk density and breaks down soil aggregates. This results in decreased infiltration rates and increased runoff. Heavy grazing can also alter the hydrology by decreasing plant cover and increasing bare ground. Fire can also affect hydrology, but it affect is variable. Fire intensity, fuel type, soil, climate, and topography can each have different influences. Fires can increase areas of bare ground and hydrophobic layers that reduce infiltration and increase runoff.
Recreational uses
Recreation activities include aesthetic value and good opportunities for hiking, horseback riding, hunting, and off-road vehicle use. Due to the high erosion potential after a surface disturbance, care should be taken when planning recreational activities. Camp sites are usually limited due to lack of sheltering trees or rock outcrop.
Wood products
None.
Other information
--Poisonous/Toxic Plant Species--
The toxic plant associated with this site include broom snakeweed and Russian thistle.
Broom snakeweed contains steroids, terpenoids, saponins, and flavones that can cause abortions or reproductive failure in sheep and cattle, however cattle are most susceptible. These toxins are most abundant during active growth and leafing stage. Cattle and sheep will typically only graze broom snakeweed when other forage is unavailable and generally in winter when toxicity levels are at their lowest (Knight and Walter, 2001).
Russian thistle can cause nitrate and to a lesser extent oxalate poisoning, which affects all classes of livestock. The buildup of nitrates in these plants is highly dependent upon environmental factors, such as after a rain storm during a drought, cool/cloudy days, and soils high in nitrogen and low in sulfur and phosphorus, all which cause increased nitrate accumulation. Nitrate collects in the stems and can persist throughout the growing season. Clinical signs of nitrate poisoning include drowsiness, weakness, muscular tremors, increased heart and respiratory rates, staggering gait, and death. Conversely, oxalate poisoning causes kidney failure; clinical signs include muscle tremors, tetany, weakness, and depression. Poisoning generally occurs when livestock consume and are not accustomed to grazing oxalate-containing plants. Animals with prior exposure to oxalates have increased numbers of oxalate-degrading rumen microflora and thus are able to degrade the toxin before clinical poisoning can occur. (Knight and Walter, 2001)
--Invasive Plant Communities--
Generally, as ecological conditions deteriorate and perennial vegetation decreases due to disturbance (fire, over grazing, drought, off road vehicle overuse, erosion, etc.) annual forbs and grasses will invade the site. Of particular concern in semi-arid environments are cheatgrass, Russian thistle, kochia, halogeton, and annual mustards. The presence of these species depends on soil properties and moisture availability; however, these invaders are highly adaptive and can flourish in many locations. Once established, complete removal is difficult but suppression may possible.
Cheatgrass and Russian thistle are common invaders to this site, especially in lower areas that concentrate nutrients and moisture. In some cases cheatgrass has been able to establish into an intact perennial grass and shrub community, but disturbed communities are more susceptible to invasion and domination. If growing conditions are conducive to invaders and the disturbance is not removed, these plants can create dense monocultures that can alter the nutrient cycling, erosion rates, and the fire regime of the area.
Fire Ecology
The ability for an ecological site to carry fire depends primarily on the present fuel load and plant moisture content. Fire was a typical disturbance in the historic climax plant community for this ecological site. The natural fire return interval is 30-100 years, where fires typically occur in the fall. When the site is degraded by the presence of invasive plants, the fire return interval may be shortened due to increased flashy fuels. The shortened fire return interval in the presence of invasive annual species is often sufficient to suppress the native plant community.
Supporting information
Other references
Baily, R.G. 1995. Description of the ecoregions of the United Sates. Available http://www.fs.fed.us/land/ecosysmgmt/ecoreg1_home.html. Accessed February 27, 2008.
Belnap, J. and S.L. Phillips. 2001. Soil biota in an ungrazed grassland: response to annual grass (Bromus tectorum) invasion. Ecological Applications. 11:1261-1275
Chapin, S.F., B.H. Walker, R.J. Hobbs, D.U. Hooper, J.H. Lawton, O.E. Sala, and D. Tilman. 1997. Biotic control over the functioning of ecosystems. Science. 277:500-504
Cox R.D. and V.J. Anderson. 2004. Increasing native diversity of cheatgrass-dominated rangeland through assisted succession. Journal of Range Management. 57:203-210,
Howard, Janet L. 2003. Atriplex canescens. In: Fire Effects Information System. U.S. Department of Agriculture, Forest Service, Rocky Mountain Research Station, Fire Sciences Laboratory (Producer). Available: http://www.fs.fed.us/database/feis/. Accessed on February 25, 2008.
Knight, A.P. and R.G. Walter. 2001. A guide to plant poisoning of animals in North America. Teton NewMedia. Jackson, WY.
National Engineering Handbook. US Department of Agriculture, Natural Resources Conservation Service. Available: http://www.info.usda.gov/CED/Default.cfm#National%20Engineering%20Handbook. Accessed February 25, 2008.
NRCS Grazing Lands Technology Institute. 2003. National Range and Pasture Handbook. Fort Worth, TX, USA: US Department of Agriculture, Natural Resources Conservation Service, 190-VI-NRPH.
NPS.gov. 2008. Canyonlands National Park. Nature and Science. Available: http://www.nps.gov/cany/naturescience/. Accessed on January 4, 2008.
Tilley, D.J. 2007. Reintroducing native plants to the American West. Aberdeen Plant Materials Center, Aberdeen, ID, USA: US Department of Agriculture. Available: http://plant-materials.nrcs.usda.gov/idpmc/publications.html. Accessed February 22, 2008.
Utah Climate Summaries. 2008. Available: http://www.wrcc.dri.edu/summary/climsmut.html. Accessed on February 25, 2008.
Utah Division of Wildlife Resources. 2007.
Woods, A.J., D.A. Lammers, S.A. Bryce, J.M. Omernik, R.L. Denton, M. Domeier, and J.A. Comstock. 2001. Ecoregions of Utah (color poster with map, descriptive text, summary tables, and photographs). Reston, Virginia, U.S. Geological Survey (map scale 1:1,175,000).
Contributors
GBB
V. Keith Wadman, Brock Benson
Approval
Jamin Johanson, 5/02/2025
Rangeland health reference sheet
Interpreting Indicators of Rangeland Health is a qualitative assessment protocol used to determine ecosystem condition based on benchmark characteristics described in the Reference Sheet. A suite of 17 (or more) indicators are typically considered in an assessment. The ecological site(s) representative of an assessment location must be known prior to applying the protocol and must be verified based on soils and climate. Current plant community cannot be used to identify the ecological site.
Author(s)/participant(s) |
Jack Alexander, Range Specialist, Synergy Resource Solutions, Inc. Julia Kluck, Soil Scientist, Synergy Resource Solutions, Inc. Shane Green, State Range Specialist, Utah NRCS |
---|---|
Contact for lead author | Shane Green, Shane.Green@ut.usda.gov |
Date | 02/08/2010 |
Approved by | Jamin Johanson |
Approval date | |
Composition (Indicators 10 and 12) based on | Annual Production |
Indicators
-
Number and extent of rills:
No rills present. Very minor rill development may occur in sparsely vegetated areas. If rills are present, they should be widely spaced and not connected. Rill development may increase following large storm events, but should begin to heal during the following growing season. Frost heaving will accelerate recovery. Rill development may increase when run inflow enters site from adjacent sites that produce large amounts of runoff (i.e. steeper sites, slickrock, rock outcrop). Site is essentially level and rills do not form. -
Presence of water flow patterns:
Water flow patterns will be short (2-5’), narrow (<1’), and meandering; interrupted by plants and exposed rocks. Slight to no evidence of erosion or deposition associated with flow patterns. -
Number and height of erosional pedestals or terracettes:
Plants may have small pedestals (1-3”) where they are adjacent to water flow patterns, but without exposed roots. Terracettes should be few and stable. Terracettes should be small (1-3”) and show little sign of active erosion. Some plants may appear to have a pedestal but rather than be formed by erosion, the only place litter accumulates and soil collects is at plant bases forming the appearance of a pedestal.
Well-developed biological crusts may appear pedestalled, but are actually a characteristic of the crust formation. Some plants may appear to have a pedestal but rather than be formed by erosion, the only place litter accumulates and soil collects is at plant bases forming the appearance of a pedestal. -
Bare ground from Ecological Site Description or other studies (rock, litter, lichen, moss, plant canopy are not bare ground):
25 – 30% bare ground (soil with no protection from raindrop impact). Herbaceous communities are most likely to have lower values. As species composition by shrubs increases, bare ground is likely to increase. Poorly developed biological soil crust that is susceptible to raindrop splash erosion should be recorded as bare ground. Very few if any bare spaces of greater than 1 square foot. -
Number of gullies and erosion associated with gullies:
No gullies present. -
Extent of wind scoured, blowouts and/or depositional areas:
Very minor evidence of active wind-generated soil movement. Wind scoured (blowouts) and depositional areas are rarely present. If present they have muted features and are mostly stabilized with vegetation and/or biological crust. -
Amount of litter movement (describe size and distance expected to travel):
Most litter resides in place with some redistribution caused by water and wind movement. Very minor litter removal may occur in flow patterns and rills with deposition occurring at points of obstruction. The majority of litter accumulates at the base of plants. Some leaves, stems, and small twigs may accumulate in soil depressions adjacent to plants. Woody stems are not likely to move. -
Soil surface (top few mm) resistance to erosion (stability values are averages - most sites will show a range of values):
This site should have an erosion rating of 5 or 6 under plant canopies and a rating of 4 to 5 in the interspaces with an average rating of 5 using the soil stability kit test. -
Soil surface structure and SOM content (include type of structure and A-horizon color and thickness):
This description is based on the modal soil (Medburn FSL, Saline 2-4%, soil survey area: 611, Tooele). This site has 4correlated soils, resulting in variation of each of these attributes. Unless working on a location with the modal soil, it is critical to supplement this description with the soil-specific information from the published soil survey.
Soil surface horizon is typically 8 inches deep. Structure is typically weak medium subungular blocky. Color is typically pale brown (10YR 6/3), brown (10YR 4/3) moist. An ochric horizon extends to a depth of 8 inches. An ochric horizon typically extends to a depth of 2 to 10 inches. The ochric horizon is a surface horizon lacking fine stratification and which is either light colored, or thin, or has an low organic carbon content, or is massive and (very) hard when dry. The A horizon would be expected to be more strongly developed under plant canopies. It is important if you are sampling to observe the A horizon under plant canopies as well as the interspaces.
-
Effect of community phase composition (relative proportion of different functional groups) and spatial distribution on infiltration and runoff:
Bunchgrasses important for increasing infiltration and reducing runoff. Litter plays a role in increasing infiltration and decreasing runoff. Plants provide microhabitat for seedlings, catch litter and soil, and slow raindrops and runoff. Vascular plants and/or well-developed biological soil crusts (where present) will break raindrop impact and splash erosion. Spatial distribution of vascular plants and interspaces between well-developed biological soil crusts (where present) provide detention storage and surface roughness that slows runoff allowing time for infiltration. Interspaces between plants and any well-developed biological soil crusts (where present) may serve as water flow patterns during episodic runoff events, with natural erosion expected in severe storms. When perennial grasses decrease, reducing ground cover and increasing bare ground, runoff is expected to increase and any associated infiltration reduced. -
Presence and thickness of compaction layer (usually none; describe soil profile features which may be mistaken for compaction on this site):
None. Naturally occurring soil horizons may be harder than the surface and should not be considered as compaction layers. -
Functional/Structural Groups (list in order of descending dominance by above-ground annual-production or live foliar cover using symbols: >>, >, = to indicate much greater than, greater than, and equal to):
Dominant:
squirreltail, greasewood, Wyoming big sagebrushSub-dominant:
Sandberg bluegrass, Indian ricegrassOther:
The perennial grass/sprouting shrub (greasewood) functioning group is expected on this site.Additional:
In the northern portion of the MLRA cool-season perennial grasses (Indian ricegrass, needle and thread) dominate. In the southernmost portion of the MLRA warm-season perennial grasses (galleta, sand dropseed) dominate. The two groups share dominance in the middle portion of the MLRA.
Functional/structural groups may appropriately contain non-native species if their ecological function is the same as the native species in the reference state (e.g. crested wheatgrass and Russian wildrye may substitute for mid stature cool season perennial native bunchgrasses.). Biological soil crust is variable in its expression on this site and is measured as a component of ground cover. Forbs can be expected to vary widely in their expression in the plant community based upon departures from average growing conditions. -
Amount of plant mortality and decadence (include which functional groups are expected to show mortality or decadence):
During years with average to above average precipitation, there should be very little recent mortality or decadence apparent in either the shrubs or grasses. Some mortality of bunchgrass and other shrubs may occur during very severe (long-term) droughts. There may be partial mortality of individual bunchgrasses and shrubs during less severe drought. Long-lived species dominate site. Open spaces from disturbance are quickly filled by new plants through seedlings and reproductive reproduction (tillering). -
Average percent litter cover (%) and depth ( in):
Litter cover includes litter under plants. Most litter will be fine litter. Depth should be 1-2 leaf thickness in the interspaces and up to 1/2” under canopies. Litter cover may increase to 20-30% following years with favorable growing conditions. Excess litter may accumulate in absence of disturbance. Vegetative production may be reduced if litter cover exceeds 40%. -
Expected annual annual-production (this is TOTAL above-ground annual-production, not just forage annual-production):
575 #/acre.
Even the most stable communities exhibit a range of production values. Production will vary between communities and across the MRLA. Refer to the community descriptions in the ESD. Production will differ across the MLRA due to the naturally occurring variability in weather, soils, and aspect. The biological processes on this site are complex; therefore, representative values are presented in a land management context. -
Potential invasive (including noxious) species (native and non-native). List species which BOTH characterize degraded states and have the potential to become a dominant or co-dominant species on the ecological site if their future establishment and growth is not actively controlled by management interventions. Species that become dominant for only one to several years (e.g., short-term response to drought or wildfire) are not invasive plants. Note that unlike other indicators, we are describing what is NOT expected in the reference state for the ecological site:
Snakeweed, halogeton, and Russian thistle -
Perennial plant reproductive capability:
All perennial plants should have the ability to reproduce sexually or asexually, except in drought years. Density of plants indicates that plants reproduce at level sufficient to fill available resource. Within capability of site there are no restrictions on seed or vegetative reproductive capacity.
Print Options
Sections
Font
Other
The Ecosystem Dynamics Interpretive Tool is an information system framework developed by the USDA-ARS Jornada Experimental Range, USDA Natural Resources Conservation Service, and New Mexico State University.
Click on box and path labels to scroll to the respective text.