Ecological dynamics
These plant communities may not represent every possibility, but they are the most prevalent and repeatable plant communities. As more data is collected, some of these plant communities may be revised or removed and new ones may be added. None of these plant communities should necessarily be thought of as the “desired plant community”. According to the USDA NRCS National Range and Pasture Handbook, the desired plant community will be determined by the decision makers and will meet minimum quality criteria established by the NRCS. The main purpose for including any description of a plant community here is to capture the current knowledge and experience at the time of this revision.
The Upland Gravelly Loam (Wyoming Big Sagebrush) ecological site is dominated by perennial deep rooted cool season bunchgrasses and deep-rooted shrubs. The perennial bunchgrasses that are co-dominant with the shrubs include bluebunch wheatgrass (Pseudorogenaria spicata), slender wheatgrass (Elymus trachycaulus), western wheatgrass (Pascopyrum smithii), and Nevada bluegrass (Poa nevadensis syn. Poa secunda). These species generally have somewhat shallower root systems than the shrubs, but root densities are often as high as or higher than those of shrubs in the upper 0.5 meter but taper off more rapidly than shrubs. General differences in root depth distributions between grasses and shrubs result in resource partitioning in these shrub/grass systems.
Utah juniper (Juniperus osteosperma) and singleleaf pinyon (Pinus monophylla) may be present on this site due to the proximity of the pinyon/juniper zone. This site is vulnerable to an increase in both pinyon and juniper trees without disturbances that keep the tree densities lower (i.e. fire). Singleleaf pinyon and Utah juniper may dominate the site if there is time without disturbances and eventually out-compete mountain big sagebrush for water and sunlight, severely reducing both the shrub and herbaceous understory (Miller et al. 2000, Lett and Knapp 2005). Bluegrasses may remain underneath trees on north-facing slopes. The potential for soil erosion increases as the Utah juniper woodland matures and the understory plant community cover declines (Pierson et al. 2010).
This ecological site has moderate resilience to disturbance and moderately low resistance to invasion (Miller et al. 2015). Resilience increases with elevation, aspect, increased precipitation, and increased nutrient availability. Long-term disturbance response may be influenced by small differences in landscape topography. Concave areas receive run-in from adjacent landscapes and consequently retain more moisture to support the growth of deep-rooted perennial grasses (i.e. bluebunch wheatgrass) whereas convex areas where runoff occurs are slightly less resilient and may have more shallow-rooted perennial grasses (i.e. squirreltail (Elymus elmoides) and muttongrass (Poa fendleriana). North slopes are also more resilient than south slopes because lower soil surface temperatures operate to keep moisture content higher on northern exposures.
Fire Ecology:
Wyoming big sagebrush is killed by fire and does not resprout (Miller et al. 2013). Plant community composition after a fire is influenced by what plants were present before the fire and their densities (Miller et al. 2013). Typically, plants that are tolerant to fire will return after the fire (this also will depend on the severity of the fire). Bluebunch wheatgrass is tolerant of fire and can reestablish to pre-fire densities within 3 years. If the density of deep-rooted perennial grasses is low before the fire, they will be low after the fire (Miller et al. 2013). Post-fire recovery of Bonneville big sagebrush sites has not been research, however, mountain and Wyoming big sagebrush have been extensively researched. These two species have different recovery potentials base on site characteristics, like available soil moisture. Mountain big sagebrush can return to a 20 to 30 percent canopy cover within 20 to 30 years while Wyoming big sagebrush may never recover to pre-burn canopy cover (Miller et al. 2013). Recovery of big sagebrush is limited in the presence of cheatgrass either before or after fire (Miller et al. 2013). Rabbitbrush, snowberry, serviceberry, and bitterbrush may increase after fire depending on the severity of the fire. (Miller et al. 2013). The sprouting ability of antelope bitterbrush is variable and depends on fire season, severity, and age of the plant (Zlatnik 1999). Plants younger than 5 years or older than 40 years do not sprout well (Zlatnik 1999).
The introduction of annual weedy species, like cheatgrass, may cause an increase in fire frequency and eventually lead to an annual dominated community (Miller et al. 2013). Infilling by singleleaf pinyon and Utah juniper may also occur with an extended fire return interval. Without fire or changes in management, pinyon and juniper will dominate the site and Bonneville big sagebrush will be severely reduced. The herbaceous understory will typically be reduced. The potential for soil erosion increases as the juniper woodland matures and the understory plant community cover declines. Catastrophic wildfire in juniper controlled sites may lead to an annual weed dominated site.
Livestock/Wildlife Grazing Interpretations:
Overgrazing leads to an increase in sagebrush and a decline in understory plants like bluebunch wheatgrass. Squirreltail will increase temporarily with further degradation. Invasion of annual weedy forbs and cheatgrass could occur with further grazing degradation, leading to a decline in squirreltail and an increase in bare ground. Wetter sites are more resistant to degradation and may end up having sagebrush and Sandberg bluegrass dominate the site. A combination of overgrazing and prolonged drought may lead to soil redistribution, increased bare ground and a loss in plant production. Bonneville big sagebrush can be utilized by native ungulates and birds (Winward 2004). Bluebunch wheatgrass is moderately grazing tolerant but is very sensitive to defoliation during the active growth period (Blaisdell and Pechanec 1949, Laycock 1967, Anderson and Scherzinger 1975). Sandberg bluegrass may slow reestablishment of deeper rooted bunchgrass, increase under grazing pressure (Tisdale and Hironaka 1981) and is capable of co-existing with cheatgrass. Reduced bunchgrass vigor or density provides an opportunity for Sandberg bluegrass expansion and/or cheatgrass and other invasive species to occupy interspaces, leading to increased fire frequency and potentially an annual plant community. Depending on the season of use, the grazer and site conditions, either Sandberg bluegrass or cheatgrass may become the dominant understory with inappropriate grazing management. For example, Daubenmire (1970) found that heavy sheep grazing favors Sandberg bluegrass, while heavy cattle grazing favors cheatgrass.
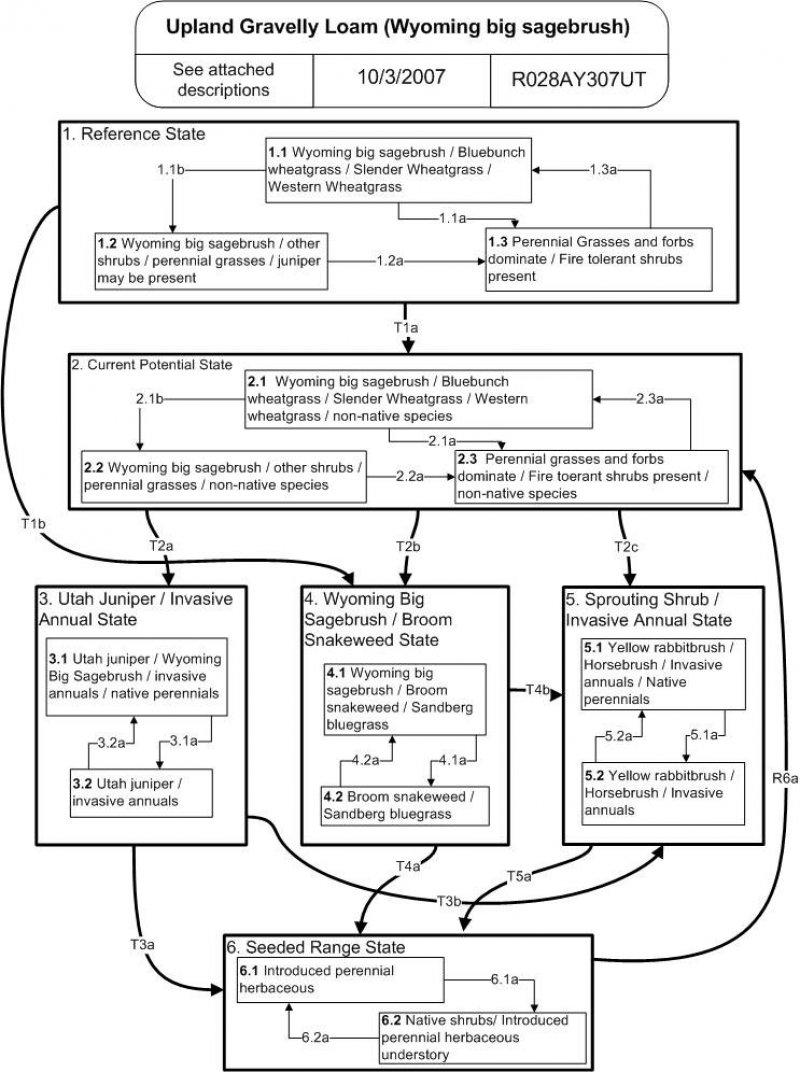
Six possible alternative stable states have been identified for this ecological site. The Reference State contains four community phases, shrub/grass dominated, shrub dominated, grass dominated, and a fire tolerant phase. The primary drivers in this state are fire, drought, and/or insect of disease. The Current Potential State is like the Reference State; however, non-native species have been introduced in the system which alters the resilience and resistance of the state. The Shrub State occurs with time and lack of disturbance and/or inappropriate grazing management. The Annual State occurs after large fires or multiple fires that promote annual invasive species dominance over native shrubs and grasses. The Tree State occurs when there has been sufficient time for junipers and/or pinyon trees to increase in density and dominate the site dynamics. The Seeded State occurs with management with seeding of deep rooted perennial bunchgrasses. Specific community phases and transitions will be described in the narratives below.
State 1
Reference State
The Reference State includes the plant communities that were best adapted to the unique combination of factors associated with this ecological site prior to European settlement. It was in a natural dynamic equilibrium with the historic biotic and abiotic (i.e. climactic), and disturbance factors on the ecological site in North America at the time of European immigration and settlement. Assumed historic fire interval is 50-60 years. Dominant vegetative aspect is Wyoming big sagebrush and bluebunch wheatgrass with other grasses and forbs in the interspaces. This site is usually associated with Lake Bonneville terraces. The air-dry composition weight is 50 percent perennial grasses, 15 percent forbs, and 35 percent shrubs. Plants begin growth around April 20 and end growth around September 15. The Reference State has been determined by the study of rangeland relic areas, the evaluation of collected data, and trend data. The assumptions in developing this site were that the historic data and the sites visited were accurately represented.
Characteristics and indicators. This state will have no non-native species in the plant community.
Community 1.1
Wyoming big sagebrush/Bluebunch wheatgrass
The dominant aspect of the plant community is Wyoming big sagebrush and bluebunch wheatgrass. The community is made up of 40 to 60 percent grass, 7 to 20 percent forbs, and 33 to 45 percent shrubs on an annual production dry weight basis.
Table 5. Annual production by plant type
Plant type |
Low (lb/acre) |
Representative value (lb/acre) |
High (lb/acre) |
Grass/Grasslike |
235 |
510 |
780 |
Shrub/Vine |
200 |
440 |
670 |
Forb |
65 |
150 |
250 |
Total |
500 |
1100 |
1700 |
Table 6. Ground cover
Tree foliar cover |
0.0-0.5%
|
Shrub/vine/liana foliar cover |
15-25%
|
Grass/grasslike foliar cover |
20-30%
|
Forb foliar cover |
7-12%
|
Non-vascular plants |
0%
|
Biological crusts |
1-3%
|
Litter |
10-20%
|
Surface fragments >0.25" and <=3" |
10-15%
|
Surface fragments >3" |
0-3%
|
Bedrock |
0%
|
Water |
0%
|
Bare ground |
15-25%
|
Table 7. Canopy structure (% cover)
Height Above Ground (ft) |
Tree |
Shrub/Vine |
Grass/ Grasslike |
Forb |
<0.5 |
0% |
0-1% |
5-8% |
1-2% |
>0.5 <= 1 |
0% |
1-5% |
3-7% |
2-4% |
>1 <= 2 |
0% |
3-5% |
10-14% |
2-3% |
>2 <= 4.5 |
0% |
15-24% |
1-3% |
0-1% |
>4.5 <= 13 |
0% |
0% |
5-8% |
0% |
>13 <= 40 |
0% |
0% |
0% |
0% |
>40 <= 80 |
0% |
0% |
0% |
0% |
>80 <= 120 |
0% |
0% |
0% |
0% |
>120 |
0% |
0% |
0% |
0% |
Community 1.2
Wyoming big sagebrush/other shrubs/perennial grasses/sparse juniper may be present
The dominant aspect of the plant community is Wyoming big sagebrush with a suppressed understory. Utah juniper may be sparsely scattered if a seed source is available. The community is made up of 15 to 25 percent grass, 20 to 35 percent forbs, and 45 to 70 percent shrubs on an annual production dry weight basis.
Community 1.3
Perennial cool season grasses /Forbs/fire tolerant shrubs
The dominant aspect of the plant community is perennial grasses and forbs. Some fire tolerant shrubs may be present. The community is made up of 60 to 90 percent grass, 15 to 25 percent forbs, and 5 to 20 percent shrubs on an annual production dry weight basis.
Pathway 1.1a
Community 1.1 to 1.2
Time without a disturbance event. This was probably dependent on a specific chain of favorable climatic events.
Pathway 1.1b
Community 1.1 to 1.3
Disturbances such as fire, insects, prolonged drought, or pathogens that kills and/or reduces the sagebrush and releases the perennial grass and forb understory community. Fire is the most effective of these disturbances.
Pathway 1.2a
Community 1.2 to 1.3
Disturbances such as fire, insects, prolonged drought, or pathogens that kills and/or reduces the sagebrush and/or Utah juniper and releases the perennial grass and forb understory community. Fire is the most effective of these disturbances and is the only effective one where Utah juniper is involved.
Pathway 1.3a
Community 1.3 to 1.1
Time without a disturbance event. (i.e. Fire, insect damage, prolonged drought, etc.) This was probably dependent on a specific chain of climatic events.
State 2
Current Potential State
The Current Potential State includes the plant communities that were in the Reference State but with a component of invasive species (such as cheatgrass and/or Russian thistle) added. There is no known way to effectively remove these plants from the site once they have become established. The level of occurrence of these plants in the Current Potential State is such that careful management can prevent their domination of the site. This site is irreversibly changed. Plant communities within this state may be managed and used for various purposes without significant alteration in plant community composition or production
Characteristics and indicators. This state is similar in community composition and community dynamics to the Reference State with the exception of non-native species inclusion in the plant community.
Community 2.1
Wyoming big sagebrush/Bluebunch wheatgrass/non-native species
The dominant aspect of the plant community is Wyoming big sagebrush and bluebunch wheatgrass. The community is made up of 40 to 60 percent grass, 7 to 20 percent forbs, and 33 to 45 percent shrubs on an annual production dry weight basis. Non-native species are present but do not dominate.
Community 2.2
Wyoming big sagebrush/other shrubs/perennial grasses
The dominant aspect of the plant community is Wyoming big sagebrush with a suppressed understory. The community is made up of 15 to 25 percent grass, 20 to 35 percent forbs, and 45 to 70 percent shrubs on an annual production dry weight basis. Non-native species are present but do not dominate.
Community 2.3
Perennial cool season grasses/forbs/fire tolerant shrubs/non-native species
The dominant aspect of the plant community is perennial grasses and forbs. Some fire tolerant shrubs may be present. The community is made up of 60 to 90 percent grass, 15 to 25 percent forbs, and 5 to 20 percent shrubs on an annual production dry weight basis. Non-native species are present but do not dominate.
Pathway 2.1a
Community 2.1 to 2.2
Time without a disturbance event. (i.e. fire, insect damage, prolonged drought, etc.) This was probably dependent on a specific chain of climatic events.
Pathway 2.1b
Community 2.1 to 2.3
Disturbances such as fire, insects, prolonged drought, or pathogens that kills and/or reduces the sagebrush and releases the perennial grass and forb understory community. Fire is the most effective of these disturbances. Chemical or mechanical vegetation manipulation may also be used.
Pathway 2.2a
Community 2.2 to 2.3
Disturbances such as fire, insects, prolonged drought, or pathogens that kills and/or reduces the sagebrush and/or Utah juniper and releases the perennial grass and forb understory community. Fire is the most effective of these disturbances and is the only effective one where Utah juniper is involved. Chemical or mechanical vegetation manipulation may also be used.
Pathway 2.3a
Community 2.3 to 2.1
Time without a disturbance event. (i.e. Fire, insect damage, prolonged drought, etc.) This was probably dependent on a specific chain of climatic events.
State 3
Utah Juniper Invasion State
The Utah Juniper Invasion State is driven by lack of fire. Movement into this state can be accelerated by overgrazing. This state can persist for a long time until extreme conditions needed for a wildfire occur or some other management treatment is implemented.
Community 3.1
Utah juniper/Wyoming big sagebrush/invasive plants/native perennials
The dominant aspect of the plant community is Utah Juniper. The community is made up of 5 to 15 percent grass, 15 to 25 percent forbs, 5 to 25 percent shrubs, and 15 to 35 percent juniper trees on an annual production dry weight basis. Non-native species are present and may or may not dominate.
Community 3.2
Utah juniper/sparse understory
The dominant aspect of the plant community is Utah juniper with a sparse understory. The community is made up of 0 to 5 percent grass, 5 to 10 percent forbs, 0 to 5 percent shrubs, and 45 to 95 percent juniper trees on an annual production dry weight basis. Non-native species are present and may or may not dominate.
Pathway 3.1a
Community 3.1 to 3.2
Disturbance such as improper grazing and/or drought over a prolonged period of time with no fire or other disturbance occurring. This will continue unless a large amount of energy is injected into the system (i.e. vegetation manipulation) to cause a change to take place.
Pathway 3.2a
Community 3.2 to 3.1
Disturbances such as patchy fires, pathogens, or extreme drought that kills or thins the juniper stand and prescribed grazing and/or periods of favorable growing conditions that favor the reestablishment of understory plants can move the community back to 3.1.
State 4
Shrub State
The Shrub State occurs when there is long term improper grazing (continuous season long, high intensity). The perennial grasses are removed and broom snakeweed will increase in the understory (Ralphs and Thacker 2007).
Community 4.1
Wyoming big sagebrush/broom snakeweed/Sandberg bluegrass
The dominant aspect of the plant community is Wyoming big sagebrush with significant portions of broom snakeweed in the understory or broom snakeweed with Wyoming big sagebrush as the secondary shrub. The community is made up of 5 to 15 percent grass, 20 to 35 percent forbs, and 40 to 60 percent shrubs of which 25 to 80 percent is broom snakeweed, on an annual production dry weight basis. Non-native species are present but do not dominate
Community 4.2
Broom snakeweed/invasive annuals/sandberg bluegrass
The dominant aspect of the plant community is broom snakeweed. The community is made up of 5 to 15 percent grass, 15 to 20 percent forbs, and 40 to 75 percent shrubs on an annual production dry weight basis. Non-native species are present, but do not dominate.
Pathway 4.1a
Community 4.1 to 4.2
Fire kills the sagebrush overstory allowing the subsequent increase of broom snakeweed (Ralphs and Thacker 2007).
Pathway 4.2a
Community 4.2 to 4.1
Prescribed grazing and a lengthening of the fire interval will result in Wyoming big sagebrush re-establishing in the community. Chemical treatment to suppress the broom snakeweed may also accelerate this pathway.
State 5
Yellow rabbitbrush / Invasive annuals state
The Yellow rabbitbrush / Invasive annuals State occurs when the site is overgrazed. Drought conditions will enhance and/or accelerate the move to this state. This state often occurs after fire. The dominant aspect of this state is fire tolerant shrubs like yellow rabbitbrush and fire tolerant annual grasses like cheatgrass brome.
Community 5.1
Invasive annuals = native perennials
The dominant aspect of the plant community is rabbitbrush and other fire tolerant shrubs. The community will usually be made up of 20 to 35 percent cheatgrass brome and other grasses, 10 to 15 percent forbs, and 20 to 45 percent shrubs.
Community 5.2
Invasive annuals
The dominant aspect of the plant community is typically invasive annual grasses, but may include significant components of forbs such as halogeton, annual kochia, and/or Russian thistle. These plants dominate with only a scattering of native plants.
Pathway 5.1a
Community 5.1 to 5.2
This is caused by increased fire frequency (from 10 to 20 years to 3 to 5 years) and intensity without follow-up management. Overgrazing can move this situation along faster. This pathway is somewhat self-sustaining and the site will keep deteriorating until the site potential is lost.
Pathway 5.2a
Community 5.2 to 5.1
Prescribed grazing and a lengthening of the fire interval will result in native plants such as Wyoming big sagebrush and perennial grasses slowly re-establishing in the community, but never again regaining dominance.
State 6
Seeded Range State
The Seeded Range State results from significant vegetation manipulation that may include, prescribed burning, chaining, disking, mowing, or other techniques with the intentional introduction of non-native perennial grasses such as crested wheatgrass or Russian wildrye. This state may persist for long periods of time. Typically, sagebrush will establish in the seeding to significant proportions within 15 years.
Community 6.1
Introduced perennial plants
The dominant aspect of the plant community is the intentionally introduced perennial grasses and/or forbs and/or shrubs. The community will usually be made up of 60 to 95 percent grasses, 1 to 30 percent forbs, and 0 to 10 percent shrubs. Some invasive plants may be present depending on the success of the planting.
Community 6.2
Native shrubs = Introduced perennial plants
The dominant aspect of the plant community can be either intentionally introduced perennial grasses and/or forbs and/or shrubs with Wyoming big sagebrush. The community will usually be made up of 25 to 75 percent grasses, 1 to 20 percent forbs, and 15 to 35 percent shrubs.
Pathway 6.1a
Community 6.1 to 6.2
This community pathway occurs when there is sufficient time without a disturbance event. This is dependent on a specific chain of favorable climatic events and prescribed grazing to establish Wyoming big sagebrush.
Pathway 6.2a
Community 6.2 to 6.1
Disturbances such as fire, insects, prolonged drought, or pathogens that kills and/or reduces the sagebrush and releases the perennial grass and forb understory community. Fire is the most effective of these disturbances. Chemical or mechanical vegetation manipulation may also be used.
Transition T1a
State 1 to 2
Disturbances such as improper grazing, and the introduction of seed of invasive species (such as cheatgrass and/or Russian thistle).
Transition T1b
State 1 to 4
Prolonged improper grazing (continuous season long grazing at high intensity) suppresses most perennial grasses and forbs allowing Sandberg bluegrass and broom snakeweed to increase in the understory (Ralphs and Thacker 2007).
Transition T2a
State 2 to 3
Prolonged drought and/or extreme lengthening of the fire interval. This takes place when the sagebrush canopy increases enough that it starts to severely suppress the perennial grass and forb understory and the fire interval is increased from 50 to 60 years to 70 to 90 years followed by an increase of Utah juniper. Drought can stress the existing plants on the site creating ideal conditions for Utah juniper establishment in the next favorable year. Improper grazing can accelerate this transition.
Transition T2b
State 2 to 4
Prolonged improper grazing (continuous season long grazing at high intensity) suppresses most perennial grasses and forbs allowing Sandberg bluegrass and broom snakeweed to increase in the under story (Ralphs and Thacker 2007).
Transition T2c
State 2 to 5
Disturbances including improper grazing and decrease of fire interval over a prolonged period of time.
Transition T3b
State 3 to 5
Disturbances including improper grazing and decrease of fire interval over a prolonged period of time.
Transition T3a
State 3 to 6
Actions such as mechanical treatment and seeding; chemical treatment and seeding, or other vegetation manipulations that remove the junipers and intentionally establish introduced perennial plants.
Transition T4b
State 4 to 5
Disturbances including improper grazing and decrease of fire interval over a prolonged period of time (8 to 15 year fire intervals), with invasive plants becoming dominant.
Transition T4a
State 4 to 6
Actions such as mechanical treatment and seeding; chemical treatment and seeding, or other vegetation manipulations that remove the broom snakeweed and intentionally establish introduced perennial plants.
Transition T5a
State 5 to 6
Actions such as mechanical treatment and seeding; chemical treatment and seeding, or other vegetation manipulations that remove the invasive plants and intentionally establish introduced perennial plants.
Restoration pathway R6a
State 6 to 2
Under careful management, native grasses and forbs will become re-established in this plant community over a long period of time, allowing a transition back to the Current Potential State over 100-150 years. Actively manipulating plant communities in the annual grass or juniper invasion states to create a seeded range state is the first step in assisted succession to restore plant communities.
Prescribed Grazing |
|
Grazing Management Plan - Applied |
|