
Natural Resources
Conservation Service
Ecological site R023XY097NV
LOAMY FAN 8-10 P.Z.
Last updated: 4/10/2025
Accessed: 10/22/2025
General information
Provisional. A provisional ecological site description has undergone quality control and quality assurance review. It contains a working state and transition model and enough information to identify the ecological site.
Ecological site concept
Currently there is only a draft of the initial concept for this ecological site. The initial concept for this site places it within the Clayey Mesic Plateaus 8-14 PZ Wyoming Big Sagebrush and Thurber's Needlegrass Ecological Site Group. To view the General STM and other information available for this ESG please go to https://edit.jornada.nmsu.edu/catalogs/esg/023X/R023XY909OR
This site is dominated by basin wildrye in Reference condition. With long-term inappropriate grazing management, basin wildrye will be reduced and more grazing tolerant grasses like Thurber’s needlegrass and squirreltail will increase. Basin big sagebrush is codominant with Wyoming big sagebrush on this site. Surface soil textures on this site are generally fine to very fine sandy loams. Many areas receive additional moisture as run-in from higher landscapes. Annual production on this site is higher than the modal site, ranging from 500 – 1000 lb/ac, 700 lb/ac in normal years. This site’s STM is similar to the group modal site with 5 stable states.
Associated sites
R023XY006NV |
LOAMY 8-10 P.Z. |
---|---|
R023XY051NV |
SANDY 8-12 P.Z. |
R024XY022NV |
SODIC TERRACE 8-10 P.Z. |
Similar sites
R023XY005NV |
DRY FLOODPLAIN more productive site |
---|---|
R023XY082NV |
LOAMY FAN 10-12 P.Z. ACTH7-PONE3 codominant grasses; more productive site |
R024XY022NV |
SODIC TERRACE 8-10 P.Z. ARTR2-SAVE4 codominant shrubs; less productive site |
R023XY006NV |
LOAMY 8-10 P.Z. ACTH7 dominant grass; less productive site |
Table 1. Dominant plant species
Tree |
Not specified |
---|---|
Shrub |
(1) Artemisia tridentata |
Herbaceous |
(1) Leymus cinereus |
Physiographic features
This site occurs on alluvial fans, lake plains, and inset fans. Slopes range from 0 to 2 percent. Elevations are 4500 to 5500 feet.
Table 2. Representative physiographic features
Landforms |
(1)
Alluvial fan
|
---|---|
Elevation | 4,500 – 5,500 ft |
Slope | 2% |
Aspect | Aspect is not a significant factor |
Climatic features
The climate associated with this site is semiarid and characterized by cool, moist winters and warm, dry summers. Average annual precipitation is 7 to 10 inches. Mean annual air temperature is 47 to 53 degrees F. The average growing season is about 80 to 100 days.
Nevada’s climate is predominantly arid, with large daily ranges of temperature, infrequent severe storms, heavy snowfall in the higher mountains, and great location variations with elevation. Three basic geographical factors largely influence Nevada’s climate: continentality, latitude, and elevation. Continentality is the most important factor. The strong continental effect is expressed in the form of both dryness and large temperature variations. Nevada lies on the eastern, lee side of the Sierra Nevada Range, a massive mountain barrier that markedly influences the climate of the State. The prevailing winds are from the west, and as the warm moist air from the Pacific Ocean ascend the western slopes of the Sierra Range, the air cools, condensation occurs and most of the moisture falls as precipitation. As the air descends the eastern slope, it is warmed by compression, and very little precipitation occurs. The effects of this mountain barrier are felt not only in the West but throughout the state, with the result that the lowlands of Nevada are largely desert or steppes. The temperature regime is also affected by the blocking of the inland-moving maritime air. Nevada sheltered from maritime winds, has a continental climate with well-developed seasons and the terrain responds quickly to changes in solar heating.
Nevada lies within the mid-latitude belt of prevailing westerly winds which occur most of the year. These winds bring frequent changes in weather during the late fall, winter and spring months, when most of the precipitation occurs. To the south of the mid-latitude westerlies, lies a zone of high pressure in subtropical latitudes, with a center over the Pacific Ocean. In the summer, this high-pressure belt shifts northward over the latitudes of Nevada, blocking storms from the ocean. The resulting weather is mostly clear and dry during the summer and early fall, with scattered thundershowers. The eastern portion of the state receives significant summer thunderstorms generated from monsoonal moisture pushed up from the Gulf of California, known as the North American monsoon. The monsoon system peaks in August and by October the monsoon high over the Western U.S. begins to weaken and the precipitation retreats southward towards the tropics (NOAA 2004).
Average annual precipitation is 16 to over 20 inches. Mean annual air temperature is 41 to 44 degrees F. The average growing season is about 50 to 70 days.
Mean annual precipitaion at the Bear Creek, Nevada SNOTEL station (170501020301) is 37.69 inches.
monthly mean precipitation is:
January 3.84; February 3.75; March 4.38; April 4.9;
May 3.99; June 2.82; July .95; August 1.66;
September 1.22; October 2.12;
November 3.67; December 4.38.
Table 3. Representative climatic features
Frost-free period (average) | 90 days |
---|---|
Freeze-free period (average) | |
Precipitation total (average) | 9 in |
Figure 1. Monthly precipitation range
Figure 2. Monthly average minimum and maximum temperature
Figure 3. Annual precipitation pattern
Figure 4. Annual average temperature pattern
Influencing water features
Many areas receive additional moisture as run-in from higher landscapes.
Soil features
Soils associated with this site are formed in volcanic ash and alluvium derived from volcanic rocks. The soils are generally very deep and well to somewhat excessively drained. Surface textures are generally fine to very fine sandy loams, or sandy loams. Soils have very low to low runoff and have moderate to moderately rapid permeability. Many areas receive additional moisture as run-in from higher landscapes. The soil series associated with this site include: Macnot and Nevadash.
Table 4. Representative soil features
Surface texture |
(1) Gravelly sandy loam |
---|---|
Family particle size |
(1) Loamy |
Drainage class | Well drained to somewhat excessively drained |
Permeability class | Moderate to moderately rapid |
Soil depth | 72 – 84 in |
Surface fragment cover <=3" | 20 – 50% |
Surface fragment cover >3" | Not specified |
Available water capacity (0-40in) |
2.5 – 5.7 in |
Calcium carbonate equivalent (0-40in) |
15% |
Electrical conductivity (0-40in) |
4 mmhos/cm |
Sodium adsorption ratio (0-40in) |
5 |
Soil reaction (1:1 water) (0-40in) |
7.4 – 8.4 |
Subsurface fragment volume <=3" (Depth not specified) |
5 – 68% |
Subsurface fragment volume >3" (Depth not specified) |
5% |
Ecological dynamics
As ecological condition declines, basin wildrye composition is reduced as big sagebrush and rabbitbrush increase. With continued site degradation, bottlebrush squirreltail and thickspike wheatgrass may become the only perennial grasses in the understory. Black greasewood is prevalent in the plant community in areas where a relatively shallow ground water table occurs.
Fire Ecology:
Fire return intervals in basin big sagebrush are intermediate between mountain big sagebrush (15 to 25 years) and Wyoming big sagebrush (10 to 70 years). A naturally wide variation in fire frequency in this system is expected. Basin big sagebrush is readily killed when aboveground plant parts are charred by fire. Prolific seed production from nearby unburned plants coupled with high germination rates enables seedlings to establish rapidly following fire. Wyoming big sagebrush is killed by fire and establishes after fire from a seedbank; from seed produced by remnant plants that escaped fire; and from plants adjacent to the burn that seed in. Spiny hopsage is considered to be somewhat fire tolerant and often survives fires that kill sagebrush. Mature spiny hopsage generally sprout after being burned. Spiny hopsage is reported to be least susceptible to fire during summer dormancy. Black greasewood may be killed by severe fires, but it commonly sprouts soon after low to moderate-severity fires. Basin wildrye is top-killed by fire. Older basin wildrye plants with large proportions of dead material within the perennial crown can be expected to show higher mortality due to fire than younger plants having little debris. Basin wildrye is generally tolerant of fire but may be damaged by early season fire combined with dry soil conditions. Thickspike wheatgrass is quite tolerant of fire. Subsurface growing points and primarily rhizomatous reproduction may explain its ability to increase rapidly (within 2-5 years) following burning. Indian ricegrass can be killed by fire, depending on severity and season of burn. Indian ricegrass reestablishes on burned sites through seed dispersed from adjacent unburned areas.
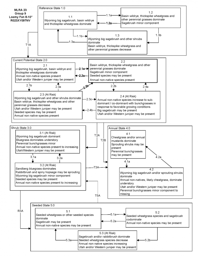
State and transition model
More interactive model formats are also available.
View Interactive Models
Click on state and transition labels to scroll to the respective text
Ecosystem states
State 1 submodel, plant communities
State 1
Reference Plant Community
Community 1.1
Reference Plant Community
The reference plant community is dominated by big sagebrush and basin wildrye. Potential vegetative composition is about 70% grasses, 5% forbs and 25% shrubs. Approximate ground cover (basal and crown) is about 20 to 30 percent.
Figure 5. Annual production by plant type (representative values) or group (midpoint values)
Table 5. Annual production by plant type
Plant type | Low (lb/acre) |
Representative value (lb/acre) |
High (lb/acre) |
---|---|---|---|
Grass/Grasslike | 350 | 490 | 700 |
Shrub/Vine | 125 | 175 | 250 |
Forb | 25 | 35 | 50 |
Total | 500 | 700 | 1000 |
Additional community tables
Table 6. Community 1.1 plant community composition
Group | Common name | Symbol | Scientific name | Annual production (lb/acre) | Foliar cover (%) | |
---|---|---|---|---|---|---|
Grass/Grasslike
|
||||||
1 | Primary Perennial Grasses | 330–511 | ||||
basin wildrye | LECI4 | Leymus cinereus | 315–420 | – | ||
thickspike wheatgrass | ELLAL | Elymus lanceolatus ssp. lanceolatus | 14–56 | – | ||
Indian ricegrass | ACHY | Achnatherum hymenoides | 1–35 | – | ||
2 | Secondary Perennial Grasses | 1–35 | ||||
Thurber's needlegrass | ACTH7 | Achnatherum thurberianum | 4–14 | – | ||
squirreltail | ELEL5 | Elymus elymoides | 4–14 | – | ||
needle and thread | HECO26 | Hesperostipa comata | 4–14 | – | ||
Forb
|
||||||
3 | Perennial | 14–56 | ||||
milkvetch | ASTRA | Astragalus | 4–14 | – | ||
tapertip hawksbeard | CRAC2 | Crepis acuminata | 4–14 | – | ||
lupine | LUPIN | Lupinus | 4–14 | – | ||
Shrub/Vine
|
||||||
4 | Primary Shrubs | 85–231 | ||||
basin big sagebrush | ARTRT | Artemisia tridentata ssp. tridentata | 35–70 | – | ||
Wyoming big sagebrush | ARTRW8 | Artemisia tridentata ssp. wyomingensis | 35–70 | – | ||
spiny hopsage | GRSP | Grayia spinosa | 14–56 | – | ||
greasewood | SAVE4 | Sarcobatus vermiculatus | 1–35 | – | ||
5 | Secondary Shrubs | 1–35 | ||||
yellow rabbitbrush | CHVI8 | Chrysothamnus viscidiflorus | 4–7 | – | ||
Nevada jointfir | EPNE | Ephedra nevadensis | 4–7 | – | ||
rubber rabbitbrush | ERNAN5 | Ericameria nauseosa ssp. nauseosa var. nauseosa | 4–7 | – |
Interpretations
Animal community
Livestock Interpretations:
This site is suitable for livestock grazing. Grazing management should be keyed to perennial grass production. The early growth and abundant production of basin wildrye make it a valuable source of forage for livestock. It is important forage for cattle and is readily grazed by cattle and horses in early spring and fall. Though coarse-textured during the winter, basin wildrye may be utilized more frequently by livestock and wildlife when snow has covered low shrubs and other grasses. Thickspike wheatgrass is palatable to all classes of livestock and wildlife. It is a preferred feed for cattle, sheep, horses, and elk in spring and is considered a desirable feed for deer and antelope in spring. It is considered a desirable feed for cattle, sheep, and horses in summer, fall, and winter. Thickspike wheatgrass's extensive rhizome system allows established stands to withstand heavy grazing and trampling. Indian ricegrass is highly palatable to all classes of livestock in both green and cured condition. It supplies a source of green feed before most other native grasses have produced much new growth. Basin big sagebrush may serve as emergency food during severe winter weather, but it is not usually sought out by livestock. Livestock browse Wyoming big sagebrush, but may use it only lightly when palatable herbaceous species are available. Spiny hopsage provides a palatable and nutritious food source for livestock, particularly during late winter through spring. Domestic sheep browse the succulent new growth of spiny hopsage in late winter and early spring. Black greasewood is an important winter browse plant for domestic sheep and cattle. It also receives light to moderate use by domestic sheep and cattle during spring and summer months. Black greasewood contains soluble sodium and potassium oxalates that may cause poisoning and death in domestic sheep and cattle if large amounts are consumed in a short time.
Stocking rates vary over time depending upon season of use, climate variations, site, and previous and current management goals. A safe starting stocking rate is an estimated stocking rate that is fine tuned by the client by adaptive management through the year and from year to year.
Wildlife Interpretations:
Basin big sagebrush is the least palatable of all the subspecies of big sagebrush. Basin big sagebrush is browsed by mule deer from fall to early spring, but is not preferred. Wyoming big sagebrush is preferred browse for wild ungulates. Pronghorn usually browse Wyoming big sagebrush heavily. Sagebrush-grassland communities provide critical sage-grouse breeding and nesting habitats. Meadows surrounded by sagebrush may be used as feeding and strutting grounds. Sagebrush is a crucial component of their diet year-round, and sage-grouse select sagebrush almost exclusively for cover. Sage-grouse prefer mountain big sagebrush and Wyoming big sagebrush communities to basin big sagebrush communities. Spiny hopsage provides a palatable and nutritious food source for big game animals. Spiny hopsage is used as forage to at least some extent by domestic goats, deer, pronghorn, and rabbits. Black greasewood is an important winter browse plant for big game animals and a food source for many other wildlife species. It also receives light to moderate use by mule deer and pronghorn during spring and summer months. Basin wildrye provides winter forage for mule deer, though use is often low compared to other native grasses. Basin wildrye provides summer forage for black-tailed jackrabbits. Because basin wildrye remains green throughout early summer, it remains available for small mammal forage for longer time than other grasses. In the spring, thickspike wheatgrass is a preferred feed for elk and is considered desirable feed for deer and antelope. It is desirable feed for elk during summer, fall, and winter. Thickspike wheatgrass is also a component of black-tailed jackrabbit diets. Thickspike wheatgrass provides some cover for small mammals and birds. Indian ricegrass is eaten by pronghorn in moderate amounts whenever available. A number of heteromyid rodents inhabiting desert rangelands show preference for seed of Indian ricegrass. Indian ricegrass is an important component of jackrabbit diets in spring and summer. Indian ricegrass seed provides food for many species of birds. Doves, for example, eat large amounts of shattered Indian ricegrass seed lying on the ground.
Hydrological functions
Runoff is very low to low. Permeability is moderate to moderately rapid. Hydrologic soil groups are A and B.
Recreational uses
Aesthetic value is derived from the diverse floral and faunal composition and the colorful flowering of wild flowers and shrubs during the spring and early summer. This site offers rewarding opportunities to photographers and for nature study. This site is used for camping and hiking and has potential for upland and big game hunting.
Other products
Some Native American peoples used the bark of big sagebrush to make rope and baskets. Native Americans made tea from big sagebrush leaves. They used the tea as a tonic, an antiseptic, for treating colds, diarrhea, and sore eyes and as a rinse to ward off ticks. Big sagebrush seeds were eaten raw or made into meal. Some Native American peoples traditionally ground parched seeds of spiny hopsage to make pinole flour. The leaves, seeds and stems of black greasewood are edible. Basin wildrye was used as bedding for various Native American ceremonies, providing a cool place for dancers to stand. Indian ricegrass was traditionally eaten by some Native Americans. The Paiutes used the seed as a reserve food source.
Other information
Basin big sagebrush shows high potential for range restoration and soil stabilization. Basin big sagebrush grows rapidly and spreads readily from seed. Wyoming big sagebrush is used for stabilizing slopes and gullies and for restoring degraded wildlife habitat, rangelands, mine spoils and other disturbed sites. It is particularly recommended on dry upland sites where other shrubs are difficult to establish. Spiny hopsage has moderate potential for erosion control and low to high potential for long-term revegetation projects. It can improve forage, control wind erosion, and increase soil stability on gentle to moderate slopes. Spiny hopsage is suitable for highway plantings on dry sites in Nevada. Black greasewood is useful for stabilizing soil on wind-blown areas. It successfully revegetates eroded areas and sites too saline for most plant species. Basin wildrye is useful in mine reclamation, fire rehabilitation and stabilizing disturbed areas. Its usefulness in range seeding, however, may be limited by initially weak stand establishment. Thickspike is a good revegetation species because it forms tight sod under dry rangeland conditions, has good seedling strength, and performs well in low fertility or eroded sites. It does not compete well with aggressive introduced grasses during the establishment period, but are very compatible with slower developing natives, bluebunch wheatgrass (Pseudoroegneria spicata), western wheatgrass (Pascopyrum smithii), and needlegrass (Achnatherum spp.) species. It’s drought tolerance combined with rhizomes, fibrous root systems, and good seedling vigor make these species ideal for reclamation in areas receiving 8 to 20 inches annual precipitation. Thickspike wheatgrass can be used for hay production and will make nutritious feed, but is more suited to pasture use.
Supporting information
Type locality
Location 1: Washoe County, NV | |
---|---|
Township/Range/Section | T37N R18E S14 |
UTM zone | N |
UTM northing | 253891 |
UTM easting | 4553320 |
Latitude | 41° 5′ 38″ |
Longitude | 119° 55′ 49″ |
General legal description | About 100 feet east of Tuledad Road as it passes the north end of Duck Lake, Washoe County, Nevada. This site also occurs in Modoc County, California. |
Other references
Fire Effects Information System (Online; http://www.fs.fed.us/database/feis/plants/).
USDA-NRCS Plants Database (Online; http://www.plants.usda.gov).
Great Basin Ecological Site Development Project: State and Transition Models for Major Land Resource Area 23, Nevada and portions of California (Online; https://naes.agnt.unr.edu/PMS/Pubs/2019-4060.pdf)
Contributors
DSH/GKB
T Stringham (UNR under contract with BLM)
Approval
Kendra Moseley, 4/10/2025
Rangeland health reference sheet
Interpreting Indicators of Rangeland Health is a qualitative assessment protocol used to determine ecosystem condition based on benchmark characteristics described in the Reference Sheet. A suite of 17 (or more) indicators are typically considered in an assessment. The ecological site(s) representative of an assessment location must be known prior to applying the protocol and must be verified based on soils and climate. Current plant community cannot be used to identify the ecological site.
Author(s)/participant(s) | GK BRACKLEY |
---|---|
Contact for lead author | State Rangeland Management Specialist |
Date | 06/20/2006 |
Approved by | Kendra Moseley |
Approval date | |
Composition (Indicators 10 and 12) based on | Annual Production |
Indicators
-
Number and extent of rills:
Rills are rare. A few rills can be expected in areas subjected to summer convection storms or rapid spring snowmelt. -
Presence of water flow patterns:
Water flow patterns are rare but can be expected in areas recently subjected to summer convection storms or rapid snowmelt. -
Number and height of erosional pedestals or terracettes:
Pedestals are rare. Occurrence is usually limited to areas of water flow patterns. Frost heaving of shallow rooted plants should not be considered a "normal" condition. -
Bare ground from Ecological Site Description or other studies (rock, litter, lichen, moss, plant canopy are not bare ground):
Bare ground ± 50%; surface rock fragments typically less than 35%; shrub canopy 15 to 25%; foliar cover of perennial herbaceous plants ± 40%.
-
Number of gullies and erosion associated with gullies:
Gullies are rare in areas of this site that occur on stable landforms. Where this site occurs on inset fans, gullies and head cuts associated with ephemeral channel entrenchment may be present. Gullies and head cuts should be healing or stable. -
Extent of wind scoured, blowouts and/or depositional areas:
None -
Amount of litter movement (describe size and distance expected to travel):
Fine litter (foliage from grasses and annual & perennial forbs) is expected to move the distance of slope length during intense summer convection storms or rapid snowmelt events. Persistent litter (large woody material) will remain in place except during catastrophic events. -
Soil surface (top few mm) resistance to erosion (stability values are averages - most sites will show a range of values):
Soil stability values should be 3 to 6 on most soil textures found on this site. (To be field tested.) -
Soil surface structure and SOM content (include type of structure and A-horizon color and thickness):
Surface structure is typically thin to thick platy, subangular blocky or massive. Soil surface colors are light and the soils are typified by an mollic epipedon. Organic matter of the surface 2 to 4 inches is typically 1.25 to 3 percent dropping off quickly below. Organic matter content can be more or less depending on micro-topography. -
Effect of community phase composition (relative proportion of different functional groups) and spatial distribution on infiltration and runoff:
Deep-rooted perennial herbaceous bunchgrasses (basin wildrye) slow runoff and increase infiltration. Tall stature and relatively coarse foliage of basin wildrye and associated shrubs break raindrop impact and provide opportunity for snow catch and moisture accumulation on site. -
Presence and thickness of compaction layer (usually none; describe soil profile features which may be mistaken for compaction on this site):
Compacted layers are not typical. Platy or massive sub-surface horizons, subsoil argillic horizons, or hardpans shallow to the surface are not to be interpreted as compacted soil layers. -
Functional/Structural Groups (list in order of descending dominance by above-ground annual-production or live foliar cover using symbols: >>, >, = to indicate much greater than, greater than, and equal to):
Dominant:
Reference Plant Community: Deep-rooted, cool season, perennial bunchgrasses >> tall shrubs (big sagebrush). (By above ground production)Sub-dominant:
Associated shrubs > shallow-rooted, cool season, perennial bunchgrasses = deep-rooted, cool season, perennial forbs = fibrous, shallow-rooted, cool season, perennial and annual forbs. (By above ground production)Other:
Additional:
-
Amount of plant mortality and decadence (include which functional groups are expected to show mortality or decadence):
Dead branches within individual shrubs are common and standing dead shrub canopy material may be as much as 25% of total woody canopy; mature bunchgrasses may have dead centers (±25%). -
Average percent litter cover (%) and depth ( in):
Between plant interspaces (± 25%) and litter depth is ± ½ inch. -
Expected annual annual-production (this is TOTAL above-ground annual-production, not just forage annual-production):
For normal or average growing season (through mid-June) ± 700 lbs/ac; Spring moisture significantly affects total production. -
Potential invasive (including noxious) species (native and non-native). List species which BOTH characterize degraded states and have the potential to become a dominant or co-dominant species on the ecological site if their future establishment and growth is not actively controlled by management interventions. Species that become dominant for only one to several years (e.g., short-term response to drought or wildfire) are not invasive plants. Note that unlike other indicators, we are describing what is NOT expected in the reference state for the ecological site:
Rabbitbrush is an increaser on this site. Cheatgrass, snakeweed, halogeton, Russian thistle, annual mustards, and knapweeds are invaders on this site. -
Perennial plant reproductive capability:
All functional groups should reproduce in average (or normal) and above average growing season years.
Print Options
Sections
Font
Other
The Ecosystem Dynamics Interpretive Tool is an information system framework developed by the USDA-ARS Jornada Experimental Range, USDA Natural Resources Conservation Service, and New Mexico State University.
Click on box and path labels to scroll to the respective text.