
Natural Resources
Conservation Service
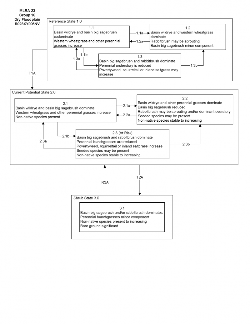
Ecological site R023XY005NV
DRY FLOODPLAIN
Last updated: 4/10/2025
Accessed: 10/22/2025
General information
Provisional. A provisional ecological site description has undergone quality control and quality assurance review. It contains a working state and transition model and enough information to identify the ecological site.
Ecological site concept
Currently there is only a draft of the initial concept for this ecological site. The initial concept for this site places it within the Seasonally Flooded Basin Wildrye Ecological Site Group. To view the General STM and other information available for this ESG please go to https://edit.jornada.nmsu.edu/catalogs/esg/023X/R023XY916NV
The Dry Floodplain (023XY005NV) ecological site is the modal site for this group. This site occurs on the outer margins of axial-stream flood plains, fan skirts and along intermittent drainageways. Slopes gradients of 0 to 2 percent are most typical. Elevations range from 4500 to 6000 feet. Average annual precipitation is 8 to 12 inches. The soils in this site are deep, light colored, silty to clayey in texture and are moderately slow to slowly permeable. A seasonally high water table within 5 feet of the surface is usually present in the early spring. These soils are subject to periodic flooding. The plant community is dominated by basin wildrye and basin big sagebrush (Artemisia tridentata sp. tridentata) with a lesser component of western wheatgrass. Black greasewood is present on this site. Production ranges from 1300 to 3000 lb/ac with normal year production estimated at 2000 lb/ac
Associated sites
R023XY009NV |
LOAMY BOTTOM 8-12 P.Z. |
---|---|
R023XY010NV |
SALINE BOTTOM |
R023XY011NV |
DUNES 8-10 P.Z. |
Similar sites
R023XY040NV |
GRANITIC FAN 8-10 P.Z. less productive site; LECI4-ACTH7 codominant |
---|---|
R024XY005NV |
LOAMY 8-10 P.Z. less productive site |
R023XY082NV |
LOAMY FAN 10-12 P.Z. less productive site; SAVE4 & DISP absent |
R023XY010NV |
SALINE BOTTOM ARTR2 not significant; SAVE4 dominant shrub; less productive site |
R024XY033NV |
STEEP NORTH SLOPE 10-12 P.Z. SAVE4-ARTR2 codominant; less productive site; different landscape position |
R023XY097NV |
LOAMY FAN 8-10 P.Z. less productive site |
R023XY009NV |
LOAMY BOTTOM 8-12 P.Z. more productive site; SAVE4 & DISP absent |
Table 1. Dominant plant species
Tree |
Not specified |
---|---|
Shrub |
(1) Artemisia tridentata ssp. tridentata |
Herbaceous |
(1) Leymus cinereus |
Click on box and path labels to scroll to the respective text.