
Natural Resources
Conservation Service
Ecological site R023XY059NV
GRAVELLY CLAYPAN 10-12 P.Z.
Last updated: 4/10/2025
Accessed: 10/19/2025
General information
Provisional. A provisional ecological site description has undergone quality control and quality assurance review. It contains a working state and transition model and enough information to identify the ecological site.
Ecological site concept
Currently there is only a draft of the initial concept for this ecological site. The initial concept for this site places it within the Clay or Claypan ,12” PZ Low and Lahontan sagebrush and bluebunch wheatgrass/ Thurber’s needlegrass Ecological Site Group. To view the General STM and other information available for this ESG please go to https://edit.jornada.nmsu.edu/catalogs/esg/023X/R023XY901NV
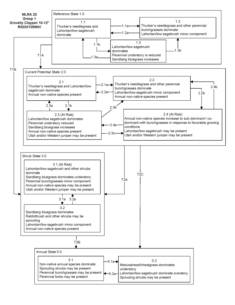
The dominant grasses on this site are Thurber’s and Webber’s needlegrass. Like the modal site, Low sagebrush is the dominant shrub and spiny hopsage (Grayia spinosa) is a subdominant shrub. It is less productive than the modal site with 450 lbs/ac in a normal year. This site is found on convex summits and backslopes of low hills and erosional fan remnants, from 5000 to 6000 feet. The soils on this site have formed in alluvium or residuum derived from volcanic rock sources. These soils are generally shallow or moderately deep. There is a moderate to strong-structured, clay subsoil ranging from 8 to 12 inches in the soil profile. The soils have high amounts of gravel and/or small cobbles (over 65 percent ground cover) on the surface which provide a stabilizing effect on surface erosion conditions. This site has a four state model; it is unlikely to get a tree state or an eroded state. This site has been seen in a shrub state with no non-native annuals, indicating that it can transition from Reference to the Shrub State, Transition T1B: Long-term inappropriate grazing management favors shrubs and the shallow-rooted Sandberg bluegrass.
Associated sites
R023XY006NV |
LOAMY 8-10 P.Z. |
---|---|
R023XY020NV |
LOAMY 10-12 P.Z. |
Similar sites
R023XY017NV |
CLAYPAN 14-16 P.Z. PSSPS-FEID codominant; higher elevations; more productive site |
---|---|
R023XY044NV |
VERY COBBLY CLAYPAN POSE dominant grass; soils are vertisols |
R023XY079NV |
ASHY CLAYPAN (COOL) 10-14 P.Z. FEID-ACTH7 codominant; more productive site |
R023XY021NV |
SCABLAND 10-14 P.Z. POSE dominant grass; less productive site |
R023XY014NV |
SHALLOW LOAM 14+ P.Z. FEID dominant grass; higher elevations; more productive site |
R023XY031NV |
CLAYPAN 10-14 P.Z. PSSPS-ACTH7 codominant |
R023XY078NV |
ASHY CLAYPAN 10-14 P.Z. PSSPS-ACTH7 codominant; more productive site |
R023XY060NV |
COBBLY CLAYPAN 8-12 P.Z. PSSPS-ACTH7 codominant; less productive site |
R023XY008NV |
MOUNTAIN RIDGE FEID dominant grass; higher elevations; different landform; less productive site |
Table 1. Dominant plant species
Tree |
Not specified |
---|---|
Shrub |
(1) Artemisia arbuscula |
Herbaceous |
(1) Achnatherum thurberianum |
Click on box and path labels to scroll to the respective text.