
Natural Resources
Conservation Service
Ecological site R023XY020NV
LOAMY 10-12 P.Z.
Last updated: 4/10/2025
Accessed: 10/19/2025
General information
Provisional. A provisional ecological site description has undergone quality control and quality assurance review. It contains a working state and transition model and enough information to identify the ecological site.
Ecological site concept
Currently there is only a draft of the initial concept for this ecological site. The initial concept for this site places it within the Clayey Mesic Plateaus 8-14 PZ Wyoming Big Sagebrush and Thurber's Needlegrass Ecological Site Group. To view the General STM and other information available for this ESG please go to https://edit.jornada.nmsu.edu/catalogs/esg/023X/R023XY909OR
This site is dominated by bluebunch wheatgrass with Thurber’s needlegrass as a subdominant component. This site is more productive than the modal site with production varying from 600 lb/ac to 1100 lb/ac, with 900 lb/ac in normal years. The soils in this site are generally moderately deep to deep and have formed in mixed alluvium, or colluvium and/or residuum from volcanic parent materials. Surface soils are moderately-fine to medium textured and usually more than ten inches thick to the subsoil or underlying material. A mollic epipedon is typically present. Permeability is moderate and the soils are well drained. Available water capacity is low to moderate. Soil reaction increases with depth in soil profile. Some soils are modified with high volumes of rock fragments through the soil profile. Runoff is slow to moderate and the potential for sheet and rill erosion varies with slope gradient. This site has a tree state (6.0), making it a 6-state model.
Associated sites
R023XY006NV |
LOAMY 8-10 P.Z. |
---|---|
R023XY031NV |
CLAYPAN 10-14 P.Z. |
R023XY059NV |
GRAVELLY CLAYPAN 10-12 P.Z. |
Similar sites
R023XY096NV |
ASHY SANDY LOAM 10-12 P.Z. FEID major grass; more productive site |
---|---|
R023XY041NV |
LOAMY 12-14 P.Z. PSSPS-LECI4 codominant; more productive site |
R023XY071NV |
ASHY LOAM 10-12 P.Z. FEID-ACTH7 codominant |
R023XY082NV |
LOAMY FAN 10-12 P.Z. POA-ACTH7 codominant |
R023XY007NV |
LOAMY 14-16 P.Z. FEID-PSSPS codominant; more productive site |
R023XY006NV |
LOAMY 8-10 P.Z. ACTH7 dominant grass; less productive site |
R023XY072NV |
ASHY SLOPE 10-12 P.Z. FEID dominant grass |
R023XY039NV |
LOAMY SLOPE 10-14 P.Z. PSSPS dominant grass; occurs on steeper slopes |
Table 1. Dominant plant species
Tree |
Not specified |
---|---|
Shrub |
(1) Artemisia tridentata |
Herbaceous |
(1) Pseudoroegneria spicata ssp. spicata |
Physiographic features
This site occurs on summits and sideslopes of hills, mountains, and plateaus. Slopes range from 2 to 30 percent, but slope gradients of 2 to 15 percent are most typical. Elevations are 4000 to 6630 feet.
Table 2. Representative physiographic features
Landforms |
(1)
Hill
(2) Mountain slope (3) Plateau |
---|---|
Elevation | 4,000 – 6,630 ft |
Slope | 50% |
Aspect | Aspect is not a significant factor |
Climatic features
The climate associated with this site is semiarid and characterized by cool, moist winters and warm, dry summers. Average annual precipitation is 10 to 12 inches. Mean annual air temperature is 43 to 47 degrees F. The average growing season is about 90 to 100 days.
Nevada’s climate is predominantly arid, with large daily ranges of temperature, infrequent severe storms, heavy snowfall in the higher mountains, and great location variations with elevation. Three basic geographical factors largely influence Nevada’s climate: continentality, latitude, and elevation. Continentality is the most important factor. The strong continental effect is expressed in the form of both dryness and large temperature variations. Nevada lies on the eastern, lee side of the Sierra Nevada Range, a massive mountain barrier that markedly influences the climate of the State. The prevailing winds are from the west, and as the warm moist air from the Pacific Ocean ascend the western slopes of the Sierra Range, the air cools, condensation occurs and most of the moisture falls as precipitation. As the air descends the eastern slope, it is warmed by compression, and very little precipitation occurs. The effects of this mountain barrier are felt not only in the West but throughout the state, with the result that the lowlands of Nevada are largely desert or steppes. The temperature regime is also affected by the blocking of the inland-moving maritime air. Nevada sheltered from maritime winds, has a continental climate with well-developed seasons and the terrain responds quickly to changes in solar heating.
Nevada lies within the mid-latitude belt of prevailing westerly winds which occur most of the year. These winds bring frequent changes in weather during the late fall, winter and spring months, when most of the precipitation occurs. To the south of the mid-latitude westerlies, lies a zone of high pressure in subtropical latitudes, with a center over the Pacific Ocean. In the summer, this high-pressure belt shifts northward over the latitudes of Nevada, blocking storms from the ocean. The resulting weather is mostly clear and dry during the summer and early fall, with scattered thundershowers. The eastern portion of the state receives significant summer thunderstorms generated from monsoonal moisture pushed up from the Gulf of California, known as the North American monsoon. The monsoon system peaks in August and by October the monsoon high over the Western U.S. begins to weaken and the precipitation retreats southward towards the tropics (NOAA 2004).
Average annual precipitation is 16 to over 20 inches. Mean annual air temperature is 41 to 44 degrees F. The average growing season is about 50 to 70 days.
Mean annual precipitaion at the Bear Creek, Nevada SNOTEL station (170501020301) is 37.69 inches.
monthly mean precipitation is:
January 3.84; February 3.75; March 4.38; April 4.9;
May 3.99; June 2.82; July .95; August 1.66;
September 1.22; October 2.12;
November 3.67; December 4.38.
Table 3. Representative climatic features
Frost-free period (average) | 95 days |
---|---|
Freeze-free period (average) | |
Precipitation total (average) | 11 in |
Figure 1. Monthly precipitation range
Figure 2. Monthly average minimum and maximum temperature
Figure 3. Annual precipitation pattern
Figure 4. Annual average temperature pattern
Influencing water features
There are no influencing water features associated with this site.
Soil features
The soils associated with this site are generally moderately deep to very deep and have formed in mixed alluvium, or colluvium and/or residuum from volcanic parent materials. Surface soils are moderately-fine to medium textured and usually more than ten inches thick to the subsoil or underlying material. Permeability is slow to moderately rapid and the soils are well drained. Available water capacity is very low to moderate. Soil reaction increases with depth in soil profile. Some soils are modified with high volumes of rock fragments through the soil profile. Runoff is high to very high and the potential for sheet and rill erosion varies with slope gradient. The soil moisture regime is aridic bordering on xeric and the soil temperature regime is mesic. The soils typically have a mollic epipedon and an argillic horizon. The soil series associated with this site include: Arzo, Ashcamp, Barnard, Deseed, Fax, Fernpoint, Greenbrae, Holbrook, Indiano, Leviathan, Locane, Madeline, Oreneva, Powlow, Reywat, Rodock, Saraph, Simon, Surprise, Tuffo, Uhaldi, and Zymans.
A representative soil series is Zymans, a fine, smectitic, mesic Aridic Arigixeroll. A mollic epipedon occurs from the soil surface to 30 cm and an argillic horizon occurs from 10 to 142 cm.
Table 4. Representative soil features
Parent material |
(1)
Colluvium
–
rhyolite
|
---|---|
Surface texture |
(1) Very stony loam (2) Cobbly loam (3) Gravelly sandy loam |
Family particle size |
(1) Loamy |
Drainage class | Well drained |
Permeability class | Slow to moderately rapid |
Soil depth | 40 – 84 in |
Surface fragment cover <=3" | 9 – 70% |
Surface fragment cover >3" | 2 – 24% |
Available water capacity (0-40in) |
2 – 7 in |
Calcium carbonate equivalent (0-40in) |
10% |
Electrical conductivity (0-40in) |
8 mmhos/cm |
Sodium adsorption ratio (0-40in) |
12 |
Soil reaction (1:1 water) (0-40in) |
6.1 – 8.4 |
Subsurface fragment volume <=3" (Depth not specified) |
6 – 58% |
Subsurface fragment volume >3" (Depth not specified) |
26% |
Ecological dynamics
Idaho fescue is more abundant on soils with higher levels of volcanic ash than is typical for soils supporting this site. As ecological condition declines, woody plants, bottlebrush squirreltail, and Sandberg bluegrass increase as bluebunch wheatgrass, Thurber needlegrass and other desirable forage grasses decrease.
Fire Ecology:
Fire return intervals in basin big sagebrush are intermediate between mountain big sagebrush (15 to 25 years) and Wyoming big sagebrush (10 to 70 years). A naturally wide variation in fire frequency in this system is expected. Basin big sagebrush is readily killed when aboveground plant parts are charred by fire. Prolific seed production from nearby unburned plants coupled with high germination rates enables seedlings to establish rapidly following fire. Mountain big sagebrush is highly susceptible to injury from fire. It is often top-killed by fire and will not resprout. Wyoming big sagebrush is killed by fire and establishes after fire from a seedbank; from seed produced by remnant plants that escaped fire; and from plants adjacent to the burn that seed in. Antelope bitterbrush is considered a weak sprouter and is often killed by summer or fall fire. Antelope bitterbrush in some areas may sprout after light-severity spring fire. High fuel consumptions increase antelope bitterbrush mortality and therefore favors seedling establishment. Burning bluebunch wheatgrass may remove most of the aboveground biomass but does not usually result in plant mortality. Bluebunch wheatgrass is generally favored by burning. Burning stimulates flowering and seed production. However, season of burning affects mortality. Thurber’s needlegrass is classified as moderately resistant, but depending on season of burn, phenology, and fire severity, this perennial bunchgrass is moderately to severely damaged by fire. Early season burning is more damaging to this needlegrass than late season burning. Basin wildrye is top-killed by fire. Older basin wildrye plants with large proportions of dead material within the perennial crown can be expected to show higher mortality due to fire than younger plants having little debris. Basin wildrye is generally tolerant of fire but may be damaged by early season fire combined with dry soil conditions. Canby's bluegrass is generally unharmed by fire. It produces little litter, and its small bunch size and sparse litter reduces the amount of heat transferred to perennating buds in the soil. Its rapid maturation in the spring also reduces fire damage, since it is dormant when most fires occur.
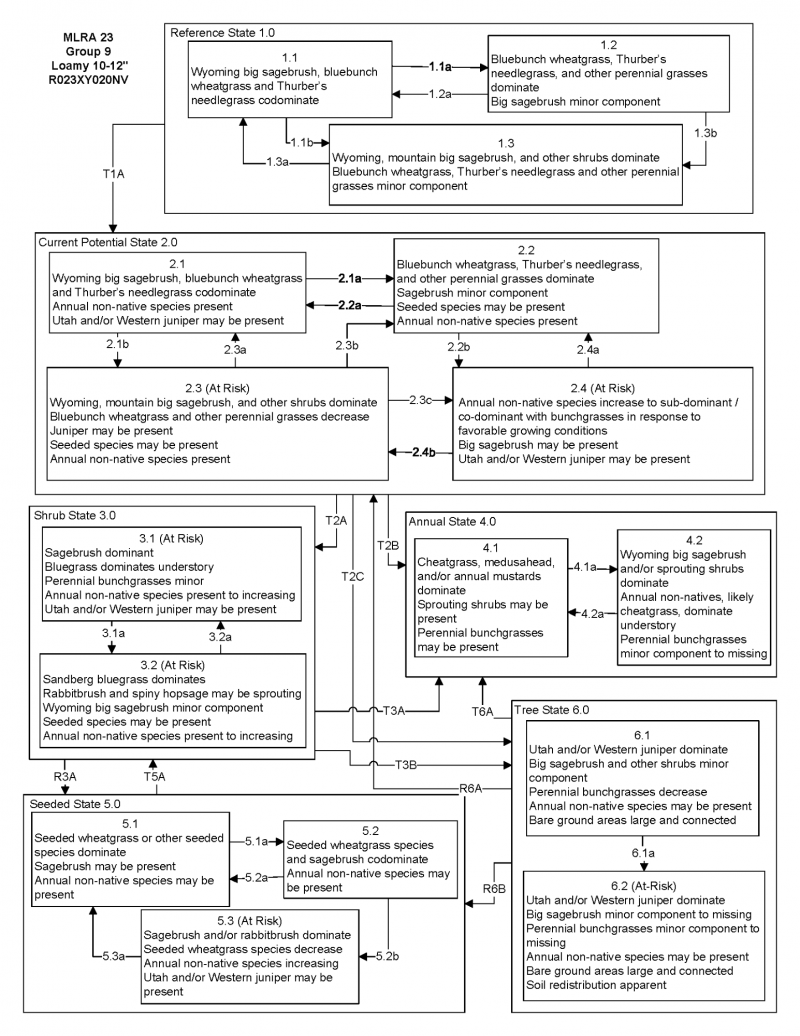
State and transition model
More interactive model formats are also available.
View Interactive Models
Click on state and transition labels to scroll to the respective text
Ecosystem states
State 1 submodel, plant communities
State 1
Reference State
Community 1.1
Reference Plant Community
The reference plant community is dominated by big sagebrush, bluebunch wheatgrass and Thurber's needlegrass. Potential vegetative composition is about 60% grasses, 10% forbs and 30% shrubs. Approximate ground cover (basal and crown) is about 25 to 35 percent.
Figure 5. Annual production by plant type (representative values) or group (midpoint values)
Table 5. Annual production by plant type
Plant type | Low (lb/acre) |
Representative value (lb/acre) |
High (lb/acre) |
---|---|---|---|
Grass/Grasslike | 360 | 540 | 660 |
Shrub/Vine | 180 | 270 | 330 |
Forb | 60 | 90 | 110 |
Total | 600 | 900 | 1100 |
Additional community tables
Table 6. Community 1.1 plant community composition
Group | Common name | Symbol | Scientific name | Annual production (lb/acre) | Foliar cover (%) | |
---|---|---|---|---|---|---|
Grass/Grasslike
|
||||||
1 | Primary Perennial Grasses | 396–855 | ||||
bluebunch wheatgrass | PSSPS | Pseudoroegneria spicata ssp. spicata | 225–405 | – | ||
Thurber's needlegrass | ACTH7 | Achnatherum thurberianum | 135–360 | – | ||
basin wildrye | LECI4 | Leymus cinereus | 18–45 | – | ||
2 | Secondary Perennial Grasses | 45–90 | ||||
Webber needlegrass | ACWE3 | Achnatherum webberi | 5–27 | – | ||
squirreltail | ELEL5 | Elymus elymoides | 5–27 | – | ||
Idaho fescue | FEID | Festuca idahoensis | 5–27 | – | ||
Sandberg bluegrass | POSE | Poa secunda | 5–27 | – | ||
Forb
|
||||||
3 | Perennial | 45–135 | ||||
arrowleaf balsamroot | BASA3 | Balsamorhiza sagittata | 5–27 | – | ||
tapertip hawksbeard | CRAC2 | Crepis acuminata | 5–27 | – | ||
western stoneseed | LIRU4 | Lithospermum ruderale | 5–27 | – | ||
lupine | LUPIN | Lupinus | 5–27 | – | ||
ragwort | SENEC | Senecio | 5–27 | – | ||
Shrub/Vine
|
||||||
4 | Primary Shrub | 136–270 | ||||
basin big sagebrush | ARTRT | Artemisia tridentata ssp. tridentata | 45–75 | – | ||
mountain big sagebrush | ARTRV | Artemisia tridentata ssp. vaseyana | 45–75 | – | ||
Wyoming big sagebrush | ARTRW8 | Artemisia tridentata ssp. wyomingensis | 45–75 | – | ||
antelope bitterbrush | PUTR2 | Purshia tridentata | 1–45 | – | ||
5 | Secondary Shrub | 45–90 | ||||
yellow rabbitbrush | CHVI8 | Chrysothamnus viscidiflorus | 9–27 | – |
Interpretations
Animal community
Livestock Interpretations:
This site is suitable for livestock grazing. Grazing management should be keyed to perennial grass production. Bluebunch wheatgrass is considered one of the most important forage grass species on western rangelands for livestock. Although bluebunch wheatgrass can be a crucial source of forage, it is not necessarily the most highly preferred species. Thurber’s needlegrass species begin growth early in the year and remain green throughout a relatively long growing season. This pattern of development enables animals to use Thurber’s needlegrass when many other grasses are unavailable. Cattle prefer Thurber’s needlegrass in early spring before fruits have developed as it becomes less palatable when mature. Thurber’s needlegrasses are grazed in the fall only if the fruits are softened by rain. The early growth and abundant production of basin wildrye make it a valuable source of forage for livestock. It is important forage for cattle and is readily grazed by cattle and horses in early spring and fall. Though coarse-textured during the winter, basin wildrye may be utilized more frequently by livestock and wildlife when snow has covered low shrubs and other grasses. Canby's bluegrass is a widespread forage grass. It is one of the earliest grasses in the spring and is sought by domestic livestock and several wildlife species. Canby's bluegrass is a palatable species, but its production is closely tied to weather conditions. It produces little forage in drought years, making it a less dependable food source than other perennial bunchgrasses. Basin big sagebrush may serve as emergency food during severe winter weather, but it is not usually sought out by livestock. Mountain big sagebrush is eaten by domestic livestock but has long been considered to be of low palatability, and a competitor to more desirable species. Livestock browse Wyoming big sagebrush, but may use it only lightly when palatable herbaceous species are available. Antelope bitterbrush is important browse for livestock. Domestic livestock and mule deer may compete for antelope bitterbrush in late summer, fall, and/or winter. Cattle prefer antelope bitterbrush from mid-May through June and again in September and October.
Stocking rates vary over time depending upon season of use, climate variations, site, and previous and current management goals. A safe starting stocking rate is an estimated stocking rate that is fine tuned by the client by adaptive management through the year and from year to year.
Wildlife Interpretations:
Basin big sagebrush is the least palatable of all the subspecies of big sagebrush. Basin big sagebrush is browsed by mule deer from fall to early spring, but is not preferred. Mountain big sagebrush is highly preferred and nutritious winter forage for mule deer and elk. Wyoming big sagebrush is preferred browse for wild ungulates. Pronghorn usually browse Wyoming big sagebrush heavily. Sagebrush-grassland communities provide critical sage-grouse breeding and nesting habitats. Meadows surrounded by sagebrush may be used as feeding and strutting grounds. Sagebrush is a crucial component of their diet year-round, and sage-grouse select sagebrush almost exclusively for cover. Sage-grouse prefer mountain big sagebrush and Wyoming big sagebrush communities to basin big sagebrush communities. Pronghorn antelope, mule deer, elk, and bighorn sheep utilize antelope bitterbrush extensively. Mule deer use of antelope bitterbrush peaks in September, when antelope bitterbrush may compose 91 percent of the diet. Winter use is greatest during periods of deep snow. Antelope bitterbrush seed is a large part of the diets of rodents, especially deer mice and kangaroo rats. Bluebunch wheatgrass is considered one of the most important forage grass species on western rangelands for wildlife. Bluebunch wheatgrass does not generally provide sufficient cover for ungulates, however, mule deer are frequently found in bluebunch-dominated grasslands. Thurber needlegrass is valuable forage for wildlife. Basin wildrye provides winter forage for mule deer, though use is often low compared to other native grasses. Basin wildrye provides summer forage for black-tailed jackrabbits. Because basin wildrye remains green throughout early summer, it remains available for small mammal forage for longer time than other grasses. Canby's bluegrass is desirable for pronghorn antelope and mule deer in the spring and preferable in the spring, summer, and fall for elk and desirable as part of their winter range.
Hydrological functions
Rills and pedestals are rare. A few rills can be expected on steeper slopes in areas subjected to summer convection storms or rapid spring snowmelt. Occurrence of pedestals is usually limited to areas of water flow patterns. Frost heaving of shallow rooted plants should not be considered a "normal" condition. Water flow patterns are rare but can be expected in areas recently subjected to summer convection storms or rapid snowmelt, usually on steeper slopes. Perennial herbaceous plants (especially deep-rooted bunchgrasses [i.e., bluebunch wheatgrass & Thurber's needlegrass]) slow runoff and increase infiltration. Shrub canopy and associated litter break raindrop impact and provide opportunity for snow catch and accumulation on site.
Recreational uses
Aesthetic value is derived from the diverse floral and faunal composition and the colorful flowering of wild flowers and shrubs during the spring and early summer. This site offers rewarding opportunities to photographers and for nature study. This site is used for hiking and has potential for upland and big game hunting.
Other products
Some Native American peoples used the bark of big sagebrush to make rope and baskets. Native Americans used big sagebrush leaves and branches for medicinal teas, and the leaves as a fumigant. Bark was woven into mats, bags and clothing. Native Americans made tea from big sagebrush leaves. They used the tea as a tonic, an antiseptic, for treating colds, diarrhea, and sore eyes and as a rinse to ward off ticks. Big sagebrush seeds were eaten raw or made into meal. Basin wildrye was used as bedding for various Native American ceremonies, providing a cool place for dancers to stand.
Other information
Basin big sagebrush shows high potential for range restoration and soil stabilization. Basin big sagebrush grows rapidly and spreads readily from seed. Wyoming big sagebrush is used for stabilizing slopes and gullies and for restoring degraded wildlife habitat, rangelands, mine spoils and other disturbed sites. It is particularly recommended on dry upland sites where other shrubs are difficult to establish. Antelope bitterbrush has been used extensively in land reclamation. Antelope bitterbrush enhances succession by retaining soil and depositing organic material and in some habitats and with some ecotypes, by fixing nitrogen. Basin wildrye is useful in mine reclamation, fire rehabilitation and stabilizing disturbed areas. Its usefulness in range seeding, however, may be limited by initially weak stand establishment.
Supporting information
Type locality
Location 1: Humboldt County, NV | |
---|---|
Township/Range/Section | T42N R26E S18 |
UTM zone | N |
UTM northing | 328715 |
UTM easting | 4602557 |
Latitude | 41° 33′ 22″ |
Longitude | 119° 3′ 14″ |
General legal description | North of Summit Lake, Summit Lake Indian Reservation, Humboldt County, Nevada. This site also occurs in Washoe County, Nevada. |
Location 2: Washoe County, NV | |
Township/Range/Section | T45N R23E S36 |
UTM zone | N |
UTM northing | 306283 |
UTM easting | 4627358 |
Latitude | 41° 46′ 27″ |
Longitude | 119° 19′ 50″ |
General legal description | Along west side of Washoe County Road 8A, about 9½ miles south of 8A/34A junction; approximately ¼ mile west of Humboldt/Washoe county line, USF&WS Sheldon Antelope Range, Washoe County, Nevada. This site also occurs in Humboldt County, Nevada. |
Other references
Fire Effects Information System (Online; http://www.fs.fed.us/database/feis/plants/).
USDA-NRCS Plants Database (Online; http://www.plants.usda.gov).
Great Basin Ecological Site Development Project: State and Transition Models for Major Land Resource Area 23, Nevada and portions of California (Online; https://naes.agnt.unr.edu/PMS/Pubs/2019-4060.pdf)
Contributors
BH/CP/GKB
T Stringham (UNR under contract with BLM)
Approval
Kendra Moseley, 4/10/2025
Rangeland health reference sheet
Interpreting Indicators of Rangeland Health is a qualitative assessment protocol used to determine ecosystem condition based on benchmark characteristics described in the Reference Sheet. A suite of 17 (or more) indicators are typically considered in an assessment. The ecological site(s) representative of an assessment location must be known prior to applying the protocol and must be verified based on soils and climate. Current plant community cannot be used to identify the ecological site.
Author(s)/participant(s) | GK BRACKLEY |
---|---|
Contact for lead author | State Rangeland Management Specialist |
Date | 06/20/2006 |
Approved by | Kendra Moseley |
Approval date | |
Composition (Indicators 10 and 12) based on | Annual Production |
Indicators
-
Number and extent of rills:
Rills are rare. A few rills can be expected on steeper slopes in areas subjected to summer convection storms or rapid spring snowmelt. -
Presence of water flow patterns:
Water flow patterns are rare but can be expected in areas recently subjected to summer convection storms or rapid snowmelt, usually on steeper slopes. They are usually short (<3m) and disconnected. -
Number and height of erosional pedestals or terracettes:
Pedestals are rare. Occurrence is usually limited to areas of water flow patterns. Frost heaving of shallow rooted plants should not be considered a "normal" condition. -
Bare ground from Ecological Site Description or other studies (rock, litter, lichen, moss, plant canopy are not bare ground):
Bare ground up to 40% depending on amount of surface rock fragments. -
Number of gullies and erosion associated with gullies:
None -
Extent of wind scoured, blowouts and/or depositional areas:
None -
Amount of litter movement (describe size and distance expected to travel):
Fine litter (foliage from grasses and annual & perennial forbs) expected to move distance of slope length during intense summer convection storms or rapid snowmelt events. Persistent litter (large woody material) will remain in place except during large rainfall events. -
Soil surface (top few mm) resistance to erosion (stability values are averages - most sites will show a range of values):
Soil stability values should be 3 to 6 on most soil textures found on this site. (To be field tested.) -
Soil surface structure and SOM content (include type of structure and A-horizon color and thickness):
Surface structure is typically thin to thick platy or subangular blocky. Soil surface colors are dark grays or browns and soils are typified by a mollic epipedon. Organic matter of the surface 2 to 4 inches is typically 1.25 to 3 percent dropping off quickly below. Organic matter content can be more or less depending on micro-topography. -
Effect of community phase composition (relative proportion of different functional groups) and spatial distribution on infiltration and runoff:
Perennial herbaceous plants (especially deep-rooted bunchgrasses [i.e., bluebunch wheatgrass & Thurber's needlegrass]) slow runoff and increase infiltration. Shrub canopy and associated litter break raindrop impact and provide opportunity for snow catch and accumulation on site. -
Presence and thickness of compaction layer (usually none; describe soil profile features which may be mistaken for compaction on this site):
Compacted layers are none. Platy or massive sub-surface horizons or subsoil argillic horizons are not to be interpreted as compacted. -
Functional/Structural Groups (list in order of descending dominance by above-ground annual-production or live foliar cover using symbols: >>, >, = to indicate much greater than, greater than, and equal to):
Dominant:
Deep-rooted, cool season, perennial bunchgrasses>>tall shrubs (big sagebrush)Sub-dominant:
associated shrubs>shallow-rooted, cool season, perennial bunchgrasses>deep-rooted, cool season, perennial forbs>fibrous, shallow-rooted, cool season, perennial and annual forbsOther:
Additional:
-
Amount of plant mortality and decadence (include which functional groups are expected to show mortality or decadence):
Dead branches within individual shrubs common and standing dead shrub canopy material may be as much as 25% of total woody canopy; some of the mature bunchgrasses (<20%) have dead centers. -
Average percent litter cover (%) and depth ( in):
Under cover and between plant interspaces 25 – 35% and litter depth is ± 1/4 inch. -
Expected annual annual-production (this is TOTAL above-ground annual-production, not just forage annual-production):
For normal or average growing season (through mid-June) ± 900 lbs/ac; Favorable years ± 1100 lbs/ac, Unfavorable years ± 600 lbs/ac -
Potential invasive (including noxious) species (native and non-native). List species which BOTH characterize degraded states and have the potential to become a dominant or co-dominant species on the ecological site if their future establishment and growth is not actively controlled by management interventions. Species that become dominant for only one to several years (e.g., short-term response to drought or wildfire) are not invasive plants. Note that unlike other indicators, we are describing what is NOT expected in the reference state for the ecological site:
Potential invaders include cheatgrass, halogeton, Russian thistle, annual mustards, knapweeds, and juniper. -
Perennial plant reproductive capability:
All functional groups should reproduce in average (or normal) and above average growing season years
Print Options
Sections
Font
Other
The Ecosystem Dynamics Interpretive Tool is an information system framework developed by the USDA-ARS Jornada Experimental Range, USDA Natural Resources Conservation Service, and New Mexico State University.
Click on box and path labels to scroll to the respective text.