
Natural Resources
Conservation Service
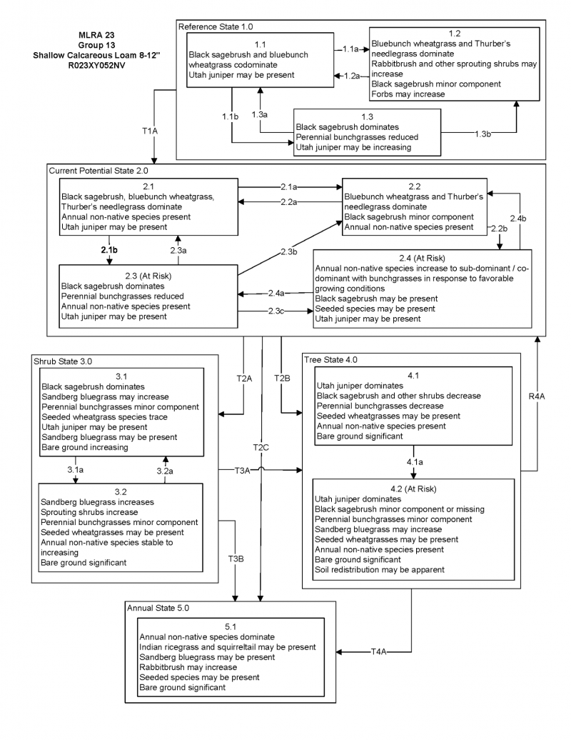
Ecological site R023XY052NV
SHALLOW CALCAREOUS LOAM 8-12 P.Z.
Last updated: 4/10/2025
Accessed: 10/19/2025
General information
Provisional. A provisional ecological site description has undergone quality control and quality assurance review. It contains a working state and transition model and enough information to identify the ecological site.
Ecological site concept
Currently there is only a draft of the initial concept for this ecological site. The initial concept for this site places it within the Shallow Rocky 8-14 PZ Black Sagebrush Ecological Site Group. To view the General STM and other information available for this ESG please go to https://edit.jornada.nmsu.edu/catalogs/esg/023X/R023XY913NV
The precipitation zone for this site ranges from 8 to 12 inches. The elevation range for this group is from 4,500 to 6,000 ft. Slopes range from 4 to 15 percent. The soils in are typically less than 20 inches deep and moderately to strongly calcareous. Soil reaction increases with soil depth. Most soils are modified with high volumes of coarse fragments throughout the soil profile. Rock fragments in the profile and on the soil surface, occupy plant growing space and reduce the soil moisture holding capacity. The available water capacity is low. Runoff is medium to rapid and the potential for sheet and rill erosion is moderate to high, depending upon slope. The shrub component is dominated by black sagebrush (Artemisia nova ) with bluebunch wheatgrass (Pseudoroegneria spicata) and Thurber’s needlegrass (Achnatherum thurberianum) in the understory. Utah juniper may be present on this site. The annual production on the Nevada site ranges from 300 to 700 lbs/ac, with 500 lbs/ac in normal years whereas the California site production ranges from 200 to 600 lbs/ac, with 400 lbs/ac in a normal year.
Associated sites
R023XY006NV |
LOAMY 8-10 P.Z. |
---|---|
R023XY020NV |
LOAMY 10-12 P.Z. |
R023XY031NV |
CLAYPAN 10-14 P.Z. |
R023XY037NV |
CLAY SLOPE 8-12 P.Z. |
Table 1. Dominant plant species
Tree |
Not specified |
---|---|
Shrub |
(1) Artemisia nova |
Herbaceous |
(1) Pseudoroegneria spicata ssp. spicata |
Click on box and path labels to scroll to the respective text.