
Natural Resources
Conservation Service
Ecological site R013XY010ID
Mahogany North Slope 16-22 PZ CELE3/PSSPS
Last updated: 2/13/2025
Accessed: 10/20/2025
General information
Provisional. A provisional ecological site description has undergone quality control and quality assurance review. It contains a working state and transition model and enough information to identify the ecological site.
MLRA notes
Major Land Resource Area (MLRA): 013X–Eastern Idaho Plateaus
013X-Eastern Idaho Plateaus
Precipitation or Climate Zone: 12-16” P.Z.
https://soils.usda.gov/survey/geography/mlra/index.html
Classification relationships
Land Resource Unit: B (Northwestern Wheat and Range)
MLRA: 13 (Eastern Idaho Plateaus)
EPA EcoRegion: Level III (Middle Rockies)
Ecological site concept
Site does not receive any additional water.
Soils are:
not saline or saline-sodic.
moderately deep, deep, with >35% stone (10-25”) and boulder (>25”) cover. skeletal within 20” of soil surface, fragment percentage increasing with depth
strongly or violently effervescent in surface mineral 10”.
Slope is > 30%.
Clay content is = <32% in surface mineral 4”.
Site does not have an argillic horizon with > 35% clay.
Associated sites
R013XY003ID |
Steep South 16-22 PZ ARTRV/PSSPS |
---|---|
R013XY005ID |
Loamy 16-22 PZ ARTRV/FEID-PSSPS |
R013XY014ID |
Shallow Stony 12-20 PZ ARAR8/PSSPS |
R013XY015ID |
Steep Stony Mahogany 16-22 PZ CELE3-ARTRV/PSSPS |
R013XY019ID |
Stony Loam 16-22 PZ ARTRV/PSSPS |
R013XY031ID |
Steep Stony North 16-22 PZ ARTRV/FEID |
Similar sites
R013XY015ID |
Steep Stony Mahogany 16-22 PZ CELE3-ARTRV/PSSPS |
---|
Table 1. Dominant plant species
Tree |
Not specified |
---|---|
Shrub |
(1) Cercocarpus ledifolius |
Herbaceous |
(1) Pseudoroegneria spicata ssp. spicata |
Physiographic features
This site occurs on the north aspect of steep mountain slopes and breaks. Slopes range from 30 to 70 percent, but the majority range from 35 to 50 percent. The site occurs predominately on north and east aspects. Elevations range from 5200 to 7200 feet (1575 to 2200 meters).
Table 2. Representative physiographic features
Landforms |
(1)
Mountains
> Mountain slope
|
---|---|
Flooding frequency | None |
Ponding frequency | None |
Elevation | 5,200 – 7,200 ft |
Slope | 30 – 70% |
Aspect | N, E |
Climatic features
MLRA 13, the Eastern Idaho Plateaus, is part of the Northwestern Wheat and Range Region. Its elevation ranges from 4209 to 9331 feet above sea level, with an average elevation of 5787 feet. The average annual precipitation is 16.41 inches, with a range of 13.56 to 18.75 inches, based on ten long term climate stations located throughout the MLRA. A spike in precipitation amount often occurs in late spring, usually in May.
Temperatures vary widely in the MLRA throughout the year. A maximum temperature of 103° Fahrenheit occurred at the McCammon climate station (# 105716; elevation 4770 feet), while a minimum of -41° was recorded at the Kilgore station (#104908). At all stations temperatures throughout the year are usually below the national average. Kilgore also recorded the greatest annual snowfall amount of 217 inches. The average temperature is 41.4 degrees F. with an average high of 55.3 degrees and an average low of 27.5 degrees.
The frost-free period ranges from 64 to 90 days, while the freeze-free period can be 98 to 123 days.
Table 3. Representative climatic features
Frost-free period (average) | 90 days |
---|---|
Freeze-free period (average) | 123 days |
Precipitation total (average) | 19 in |
Figure 1. Monthly precipitation range
Figure 2. Monthly average minimum and maximum temperature
Influencing water features
This site is not influenced by adjacent wetlands, streams, or run on.
Soil features
The soils that characterize this site are less than 20 inches deep, well drained, extremely stony, very cobbly to gritty, and medium or moderately fine textured. Parent materials are limestone. The available water holding capacity (AWC) is low to very low.
Soil Series Correlated to this Ecological Site
None listed.
Table 4. Representative soil features
Parent material |
(1)
Colluvium
–
limestone
(2) Residuum – limestone |
---|---|
Surface texture |
(1) Extremely stony loam |
Drainage class | Well drained |
Soil depth | 50 in |
Surface fragment cover <=3" | 25% |
Available water capacity (Depth not specified) |
1 – 4.9 in |
Calcium carbonate equivalent (Depth not specified) |
5 – 15% |
Soil reaction (1:1 water) (Depth not specified) |
6.8 – 8.2 |
Subsurface fragment volume >3" (Depth not specified) |
15 – 40% |
Ecological dynamics
Ecological Dynamics of the Site:
The dominant visual aspect of this site is primarily curlleaf mountain mahogany in the overstory with bluebunch wheatgrass in the understory. Oregon grape and Nevada bluegrass can also be major understory species. Composition by weight is approximately 15-25 percent grasses, 1-10 percent forbs, and 70-80 percent shrubs (and tree-like shrubs). These percentages are for current annual growth for all plants, irrespective of height.
During the last few thousand years, this site has evolved in a semi-arid climate characterized by dry summers and cold, wet winters. Herbivory has historically occurred on this site at low levels of utilization. Herbivores include mule deer, Rocky Mountain elk, lagomorphs, and small rodents.
Fire has historically occurred on the site at intervals of 250-500 years. Due to the variability of soil depth, from very shallow to shallow (and deep in some crevasses), curlleaf mountain mahogany has a patchy or clumpy appearance on the landscape. For this reason when the site burns, fire moves across the site leaving a mosaic of burned and unburned areas.
The Historic Climax Plant Community (HCPC), the Reference State (State1), moves through many phases depending on the natural and man-made forces that impact the community over time. State 1, described later, indicates some of these phases. The Reference Plant Community Phase is Phase A. This plant community is dominated by curlleaf mountain mahogany in the overstory and bluebunch wheatgrass in the understory. Nevada bluegrass, mountain brome, western needlegrass, Sandberg bluegrass, arrowleaf balsamroot, and Oregon grape also occur in the understory. The plant species composition of Phase A is listed later under “Reference Plant Community Phase Plant Species Composition”.
Utah juniper sites may occur in association with this site. Utah juniper can invade this site when a seed source is present. Conifers such as juniper have greater growth rates, their shape is more tapered and they reach greater heights. Consequently, conifer species invading curlleaf mountain mahogany sites eventually over top them. Because mature curlleaf mountain mahogany is shade intolerant, its competitive ability is lost and it becomes senescent. Mortality usually follows.
Total annual production is 1100 pounds per acre (1232 kilograms per hectare) in a normal year. Production in a favorable year is 1400 pounds per acre (1568 kilograms per hectare). Production in an unfavorable year is 800 pounds per acre (896 kilograms per hectare).
Structurally, curlleaf mountain mahogany dominates the overstory along with a variety of other shrubs in small amounts. In the understory, cool season deep rooted perennial bunchgrasses are dominant, followed by perennial forbs while shallow rooted perennial bunchgrasses are subdominant.
FUNCTION:
This site is poor for livestock grazing due to steep slopes and surface rocks. Big game animals use the site in the spring, summer, and fall. It is important for both hiding and thermal cover. Birds use the mahogany for nesting. This site is very important as summer habitat for mountain bluebirds. The site has high value for hunting and photography. The mountain mahogany provides visual diversity to the landscape. This site is fairly resistant to degradation due to the steep slopes and surface stones.
Impacts on the Plant Community.
Influence of fire:
Because of its topographic position on the landscape, ridgetops, and sideslopes, fires started by lightning strikes are fairly common. The site is extremely rocky on the surface and rock outcrops may be present. For this reason when the site burns, fire moves across the site leaving a mosaic of burned and unburned areas. Fires of this nature rarely involve large acreages due to surrounding rimrocks and other features that limit the spread of fire. The site rarely, if ever burns in its entirety.
Where there is a Utah juniper seed source in the vicinity and in the absence of normal fire frequency, juniper increases to the point of severely reducing nearly all of the understory and overstory species. Juniper has a greater growth rate, its shape is more tapered and it reaches greater heights. Consequently, juniper invading curlleaf mountain mahogany sites eventually over tops them. Because mature curlleaf mountain mahogany is shade intolerant its competitive ability is lost, and it becomes senescent. See “Influence of juniper invasion” below.
On the area that burns, shrubs such as curlleaf mountain mahogany and mountain big sagebrush will be killed. Recovery after fire is generally rapid due to the proximity of a readily available seed source and favorable moisture regime.
A frequent fire regime, for example one every 5-10 years, generally does not develop on this site. Soils are too shallow and fuels are not continuous enough for a frequent fire cycle to occur.
Influence of improper grazing management:
Improper grazing management can damage this site moderately. Due to the rough and rocky nature of the site, livestock do not generally prefer to use it. Forage production is low. When this site is being impacted by improper grazing management, adjacent sites that are more productive and less rocky are usually being much more severely degraded.
Generally juniper seedlings can replace the desirable grasses and shrubs if improper grazing management continues.
Season-long grazing and/or excessive utilization can be detrimental to this site. This type of management leads to reduced vigor of the bunchgrasses and palatable shrubs. With reduced vigor, recruitment of these species declines.
Proper grazing management that addresses frequency, duration, and intensity of grazing can also keep fine fuels from developing, thereby reducing fire frequency. This can lead to gradual increases in curlleaf mountain mahogany. Proper grazing management tends to keep a balanced plant community of grasses, forbs, and shrubs.
Weather influences:
Above normal precipitation in the spring increases forage production slightly. Only in the areas with deeper soils do plants capitalize on extra spring moisture. Below normal precipitation in the spring can reduce production and ultimately cause plant mortality if drought conditions continue for several years.
Juniper is very resistant to drought influences. It has a root system that is capable of removing deep moisture in the fractures of the bedrock that is not available to other plants on the site. In addition, juniper is capable of photosynthesizing (growing) anytime the air temperatures are above freezing. It therefore is removing moisture from the soil for 10-11 months of the year. This gives juniper a competitive advantage for moisture over all of the other species on the site.
Influence of Insects and disease:
Outbreaks can affect vegetation health. Outbreaks of curlleaf mountain mahogany defoliating moth Stamnodes animata, occur at infrequent intervals. Two consecutive years of severe defoliation can also cause mortality.
Influence of noxious and invasive plants:
Many of these species add to the fine-fuel component and lead to increased fire frequency.
Many of the annual and perennial invasive species with deep root systems compete with desirable plants for moisture and nutrients. The result is reduced production and change in composition of the understory.
Influence of wildlife.
Big game animals use this site in the spring, summer, and fall. Their numbers are seldom high enough to adversely affect the plant community. Herbivory can be detrimental to young curlleaf mountain mahogany when livestock grazing and browsing by big game occurs at the same time and season. This will occur when both kinds of animal are using the plant in the late summer or fall. The adverse impact is excessive use of the current years’ leader growth.
Watershed:
Decreased infiltration and increased runoff occur with the invasion of juniper. Juniper invasion can be triggered by either the lack of fire, improper grazing management, or prolonged drought. The increased runoff also causes sheet and rill erosion. The long term effect is a transition to a different state.
Influence of juniper invasion:
The following discussion deals with both western juniper and Utah juniper.
In plant communities that are invaded by juniper, the species has a competitive advantage for the following reasons:
• Juniper is very drought tolerant.
• It has the ability to extract soil moisture from a wide range of soil depths.
• Juniper has high evapo-transpiration rates.
• The species intercepts rain and snow before it reaches the soil surface.
• It has the ability to grow as long as there is soil moisture and the temperature is above freezing.
• Juniper has a relatively rapid growth rate and is long-lived. It can readily over-top shade intolerant
species which leads to mortality.
• Nutrient cycling is reduced.
• As the canopy closes, juniper gains control of energy capture.
As juniper extracts water, other plants are unable to acquire sufficient water and nutrients to sustain growth and reproduction, thus reducing cover and biomass in the interspaces. After the canopy closes, there is sufficient soil moisture available for shallow-rooted, shade tolerant species to persist directly under the tree.
The following hydrologic impacts occur on sites invaded by juniper:
• Infiltration in the interspaces is reduced.
• Run-off increases resulting in increased sheet and rill erosion with elevated sediment loads.
• Soil temperatures increase in the interspaces which results in accelerated drying of the soil surface.
• Increased bare ground in the interspaces.
• Soil moisture storage is reduced.
As bare ground and interconnectiveness of bare ground increases, flow rates are accelerated (reduction of flow sinuosity) and run-off out of the area increases.
Degradation of these systems can result in the formation of a feedback cycle in which greater juniper cover and density results in greater plant and soil disturbance between the canopies.
In summary, a closed juniper community takes control of the following ecological processes: (1) hydrology, (2) energy capture, and (3) nutrient cycling. The changes are primarily driven by the hydrologic processes. The development of a closed juniper canopy always results in a transition across the threshold to a different state. Generally, when juniper canopy cover nears 20%, the plant community is approaching the threshold.
Plant Community and Sequence:
Transition pathways between common vegetation states and phases:
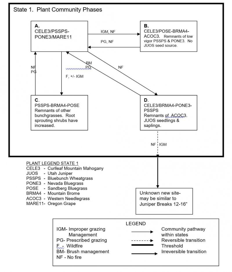
State 1.
Phase A to B. Develops with improper grazing management and no fire. This phase would be
unusual since livestock use is limited by surface rocks and steep slopes.
Phase B to A. Develops through prescribed grazing and no fire.
Phase A to C. Develops after wildfire. Improper grazing management may accelerate the transition
from Phase A to Phase C.
Phase C to A. Moves towards Phase A with no fire and prescribed grazing.
Phase A to D. Develops with no fire.
Phase D to A. Moves towards Phase A with brush management and prescribed grazing.
State 1 Phase D to Unknown New Site. This occurs with the continued lack of fire and improper grazing management from the juniper invaded phase of Plant Community D, State 1. It is probably similar to Juniper Breaks 12-16”. The site has crossed the threshold. It is not economically feasible to move this plant community back across the threshold towards Phase D or A, State 1.
Practice Limitations:
This site has severe limitations for facilitating and accelerating practices due to steep slopes, surface stones, and shallow soils. Any brush control practices should be carefully evaluated because maintaining curlleaf mountain mahogany on the site has high value to the entire ecosystem. If junipers have invaded the site, selective removal with a chain saw is a viable option.
State and transition model

More interactive model formats are also available.
View Interactive Models
More interactive model formats are also available.
View Interactive Models
Click on state and transition labels to scroll to the respective text
Ecosystem states
State 1 submodel, plant communities
State 2 submodel, plant communities
State 1
State 1
Reference Plant Community Phase. This plant community has a curlleaf mountain mahogany overstory with bluebunch wheatgrass dominating the understory. Nevada bluegrass and Oregon grape can be subdominant in the understory. A wide variety of other grasses occur in the understory in small amounts. Several other shrubs can occur in the plant community in small amounts as well. Very few forbs except arrowleaf balsamroot are present in the understory. The historic natural fire frequency is approximately every 250-500 years. When the site burns, it burns in a mosaic pattern across the site. The site never burns in its entirety.
Community 1.1
State 1 Phase A
Reference Plant Community Phase. This plant community has a curlleaf mountain mahogany overstory with bluebunch wheatgrass dominating the understory. Nevada bluegrass and Oregon grape can be subdominant in the understory. A wide variety of other grasses occur in the understory in small amounts. Several other shrubs can occur in the plant community in small amounts as well. Very few forbs except arrowleaf balsamroot are present in the understory. The historic natural fire frequency is approximately every 250-500 years. When the site burns, it burns in a mosaic pattern across the site. The site never burns in its entirety.
Figure 3. Plant community growth curve (percent production by month). ID0812, ARARL/PSSPS.
Jan | Feb | Mar | Apr | May | Jun | Jul | Aug | Sep | Oct | Nov | Dec |
---|---|---|---|---|---|---|---|---|---|---|---|
J | F | M | A | M | J | J | A | S | O | N | D |
0 | 0 | 0 | 10 | 30 | 35 | 10 | 5 | 5 | 5 | 0 | 0 |
Community 1.2
State 1, Phase B
The plant community is dominated by curlleaf mountain mahogany with some Sandberg bluegrass, mountain brome, and western needlegrass in the understory. This phase has developed through improper grazing management and no fire. The site is not easily grazed by livestock due to steep slopes and extremely stony surfaces. Improper grazing management is rare. Other adjacent sites will be severely impacted by improper grazing management before this site is impacted. This community would develop if there is no Utah Juniper seed source in the vicinity. Bluebunch wheatgrass and other bunchgrasses have been reduced and are in low vigor. Palatable shrubs such as young curlleaf mountain mahogany and bitterbrush are typically hedged. Less desirable grasses such as Sandberg bluegrass and mountain brome have increased. Some Kentucky bluegrass and bulbous bluegrass have invaded the site. Cheatgrass will invade at lower elevations.
Community 1.3
State 1, Phase C
The plant community is dominated by bluebunch wheatgrass, mountain brome, Sandberg bluegrass, and forbs in the understory. Curlleaf mountain mahogany and mountain big sagebrush have been significantly reduced due to wildfire. There are reduced amounts of other bunchgrasses such as Nevada bluegrass and western needlegrass. Root-sprouting shrubs such as rabbitbrush and snowberry may have increased. Improper grazing management accelerates the movement of this plant community toward Phase C. Some Kentucky bluegrass and bulbous bluegrass have invaded the site. Cheatgrass will invade the site at lower elevations.
Community 1.4
State 1, Phase D
The plant community is dominated by curlleaf mountain mahogany in the overstory with mountain brome, Nevada bluegrass, and bluebunch wheatgrass in the understory. This phase has developed with no fire and where a Utah juniper seed source is present in the vicinity. Juniper seedlings and saplings are beginning to impact understory production, but bunchgrasses are present in reduced vigor. Competition for moisture and shading are causing the desirable grasses and shrubs to decline. Because mature curlleaf mountain mahogany is shade intolerant, its competitive ability is lost and it becomes senescent. Mortality usually follows. Mountain big sagebrush has increased. Some Kentucky bluegrass and bulbous bluegrass have invaded the site. Cheatgrass will invade the site at lower elevations
Pathway 1.1A
Community 1.1 to 1.2
Develops with improper grazing management and no fire. This phase would be unusual since livestock use is limited by surface rocks and steep slopes.
Pathway 1.1B
Community 1.1 to 1.3
Develops after wildfire. Improper grazing management may accelerate the transition from Phase A to Phase C.
Pathway 1.1C
Community 1.1 to 1.4
Develops with no fire
Pathway 1.2A
Community 1.2 to 1.1
Develops through prescribed grazing and no fire.
Pathway 1.3A
Community 1.3 to 1.1
Moves towards Phase A with no fire and prescribed grazing.
Pathway 1.4A
Community 1.4 to 1.1
Moves towards Phase A with brush management and prescribed grazing
State 2
State 2
Unknown new site. Utah juniper in Phase D has become so dominant because of the lack of fire and improper grazing management that the plant community has moved across the threshold to a new site. When juniper cover nears 20 percent, the threshold is crossed. Soil erosion has increased dramatically and production potential has been lost. It is not economically feasible to move this plant community back across the threshold to Phase D or A, State 1. This site may resemble Juniper Breaks 12-16” JUOS/PSSPS.
Community 2.1
State 1 Phase B
The plant community is dominated by curlleaf mountain mahogany with some Sandberg bluegrass, mountain brome, and western needlegrass in the understory. This phase has developed through improper grazing management and no fire. The site is not easily grazed by livestock due to steep slopes and extremely stony surfaces. Improper grazing management is rare. Other adjacent sites will be severely impacted by improper grazing management before this site is impacted. This community would develop if there is no Utah Juniper seed source in the vicinity. Bluebunch wheatgrass and other bunchgrasses have been reduced and are in low vigor. Palatable shrubs such as young curlleaf mountain mahogany and bitterbrush are typically hedged. Less desirable grasses such as Sandberg bluegrass and mountain brome have increased. Some Kentucky bluegrass and bulbous bluegrass have invaded the site. Cheatgrass will invade at lower elevations.
Figure 4. Plant community growth curve (percent production by month). ID0812, ARARL/PSSPS.
Jan | Feb | Mar | Apr | May | Jun | Jul | Aug | Sep | Oct | Nov | Dec |
---|---|---|---|---|---|---|---|---|---|---|---|
J | F | M | A | M | J | J | A | S | O | N | D |
0 | 0 | 0 | 10 | 30 | 35 | 10 | 5 | 5 | 5 | 0 | 0 |
Transition T1A
State 1 to 2
State 1 Phase D to Unknown New Site. This occurs with the continued lack of fire and improper grazing management from the juniper invaded phase of Plant Community D, State 1. It is probably similar to Juniper Breaks 12-16”. The site has crossed the threshold. It is not economically feasible to move this plant community back across the threshold towards Phase D or A, State 1.
Additional community tables
Interpretations
Animal community
Wildlife Interpretations.
Animal Community – Wildlife Interpretations
Mule deer and elk are the large herbivores using the site. The rangeland provides seasonal habitat for resident and migratory animals including western toad, sagebrush lizard, shrews, ground squirrels, mice, coyote, red fox, badger, sage-grouse, Ferruginous hawk, prairie falcon, and mountain bluebirds. Encroachment of noxious and invasive plant species (cheatgrass and bulbous bluegrass) in isolated areas can replace native plant species which provide critical feed, brood-rearing, and nesting cover for a variety of native wildlife. Water features are sparse provided by artificial water catchments and springs.
State 1 Phase 1.1 –Curlleaf Mountain-Mahogany/ Bluebunch Wheatgrass/ Sandberg Bluegrass/ Oregon Grape Reference Plant Community (RPC) This plant community provides a diversity of grasses, forbs, and shrubs used throughout the growing season by native insect communities that assist in pollination. The reptile and amphibian community is represented by common sagebrush lizard, western rattlesnake, Great Basin spadefoot toad, western toad, and northern leopard frog. Amphibians are associated with springs and isolated water bodies adjacent to this plant community. Development of spring sites that collect all available water would exclude amphibian use on these sites. The diverse vertical structure offers habitat for many bird species including mountain bluebird, rock wren, grouse, and flycatchers. The plant community provides important forage for mule deer and elk in the spring, fall, and winter. Mahogany is a preferred winter browse for mule deer and elk. The site provides thermal cover and young of year cover for mule deer and elk. A small mammal population including golden-mantled ground squirrels, jackrabbits, deer mice, and Great Basin pocket mice may utilize this plant community.
State 1 Phase 1.2 – Curlleaf Mountain-Mahogany/ Sandberg Bluegrass/ Mountain Brome/ Western Needlegrass Plant Community: This plant community is the result of improper grazing management and no fire. Reduced forb diversity may reduce insect diversity and populations. The reptile community would be similar to that in State 1 Phase 1.1. Amphibian habitat would be tied to permanent spring sites in the area. Bird species utilizing the site would be similar to those in State 1 Phase 1.1. The poor vigor in mahogany and bitterbrush would reduce the quality of winter habitat for mule deer and elk. The site would still provide limited thermal cover and young of year cover for large mammals. A small mammal population including golden-mantled ground squirrels, jackrabbits, deer mice, and Great Basin pocket mice would utilize this plant community.
State 1 Phase 1.3- Bluebunch Wheatgrass/ Mountain Brome/ Sandberg Bluegrass Plant Community: This phase has developed due to fire. The plant community, dominated by herbaceous vegetation with no mahogany, sagebrush, or bitterbrush provides less vertical structure for animals. Insect diversity would be reduced with the loss of most shrubs, but a native forbs plant community similar to State 1 Phase 1.1 would still support select pollinators. Encroachment of mountain snowberry would add spring and summer pollinator habitat to the site. Until mountain snowberry is established diversity and populations of reptiles would be limited or excluded. This plant community provides limited brood-rearing habitat for sage-grouse if the site is adjacent to sagebrush cover. The dominant herbaceous vegetation improves habitat for grassland avian species (horned lark and western meadowlark). Mountain snowberry would provide good forage habitat for mule deer and elk. Winter habitat for mule deer and elk would be reduced or eliminated with the loss of mahogany and bitterbrush. Small mammal diversity and populations would be similar to State 1 Phase 1.1 and 1.2. The fruit of mountain snowberry provides good food for ruffed grouse, magpies, and small mammals.
State 1 Phase 1.4 – Curlleaf Mountain-Mahogany/ Mountain Brome/ Nevada Bluegrass/ Bluebunch Wheatgrass/ Utah Juniper Plant Community: This plant community is the result of no fire. An increase in canopy cover of juniper contributes to a sparse herbaceous understory and a reduction of mahogany. A reduced herbaceous understory results in lower diversity and numbers of insects. The reptile community will be similar to State 1 Phase 1.1, and includes sagebrush lizard and western rattlesnake. The reduced diversity of insects and understory cover may reduce the quality of food and cover for reptile populations. As juniper increases, habitat for Brewer’s sparrow, sage thrasher, and sage sparrow may increase. The plant community provides forage habitat for mule deer and elk. Quality of winter forage for mule deer and elk is reduced due to the loss of mahogany and antelope bitterbrush. As juniper encroachment occurs, the site will continue to provide thermal cover and young of year cover for large mammals. A small mammal population including golden-mantled ground squirrels, jackrabbits, deer mice, and Great Basin pocket mice would utilize this plant community.
Grazing Interpretations.
This site is poor for livestock grazing use due to the steep slopes, lack of desirable understory forage, and a dense stand of curlleaf mountain mahogany.
Estimated initial stocking rate will be determined with the landowner or decision-maker. They will be based on the inventory which includes species composition, similarity index, production, past use history, season of use, and seasonal preference. Calculations used to determine estimated initial stocking rate will be based on forage preference ratings.
Hydrological functions
Soils in this site are in hydrologic group D. When the vegetative cover resembles the RPC, the hydrologic curves are 76 to 73.
Recreational uses
This site appeals to some people with regard to aesthetics and natural beauty. It is not an easy site for hunting due to the dense areas of mountain mahogany where deer and other game can find cover. Steep slopes, extremely stony soils, and dense overstory limit the use. Potential exists for hiking and other activities.
Wood products
Curlleaf mountain mahogany furnishes some fence posts and stays. Firewood can be harvested, but the wood is difficult to cut after it is dry. Knick-knacks and other novelties can be made from this wood.
Other products
none.
Other information
Field Offices
American Falls
Blackfoot
Burley
Driggs
Ft. Hall
Idaho Falls
Malad
Pocatello
Rexburg
Soda Springs
St. Anthony
Revision Notes: “Previously Approved” Provisional
This Provisional ecological site concept has passed Quality
Control (QC) and Quality Assurance (QA) to ensure that the site
meets the 2014 NESH standards for a Provisional ecological site
description. This is an updated “Previously Approved” ESD that
represents a first-generation tier of documentation that, prior to the
release of the 2014 National Ecological Site Handbook (NESH),
met all requirements as an “Approved” ESD as laid out in the 1997
(rev.1, 2003) National Range and Pasture Handbook (NRPH). The
document fully described the Reference State and Community
Phase in the State-and-Transition model. All other alternative
states are at least described in narrative form. The “Previously
Approved” ESD has been field-tested for a minimum of five years
and is a proven functional document for conservation planning.
The “Previously Approved” ESD does not contain all tabular and
narrative entries as required in the current “Approved” level of
documentation, but it is expected that the “Previously Approved”
ESD will continue refinement toward an “Approved” status.
Site Development and Testing Plan:
Future work, as described in a Project Plan, is necessary to
validate the information in this Provisional Ecological Site
Description. This will include field activities to collect low-,
medium-, and high-intensity sampling, soil correlations, and
analysis of that data. Annual field reviews should be done by soil
scientists and vegetation specialists. The final field review, peer
review, quality control, and quality assurance reviews of the ESD
will be required to produce the final document.
Supporting information
Inventory data references
Information presented here has been derived from NRCS clipping and other inventory data. Also, field knowledge of range-trained personnel was used. Those involved in developing this site description include:
Dave Franzen, co-owner, Intermountain Rangeland Consultants, LLC
Jacy Gibbs, co-owner, Intermountain Rangeland Consultants, LLC
Jim Cornwell, Range Management Specialist, IASCD
Brendan Brazee, State Rangeland Management Specialist, NRCS, Idaho
Lee Brooks, Range Management Specialist, IASCD
Kristen May, Resource Soil Scientist, NRCS, Idaho
Type locality
Location 1: Power County, ID |
---|
Other references
Petersen, S.L., 2004. A Landscape-Scale Assessment of Plant Communities, Hydrologic Processes, and State-and-Transition Theory in a Western Juniper Dominated Ecosystem. PhD Dissertation. Oregon State University, Corvallis, Oregon.
Hironaka, M., M.A. Fosberg, A. H. Winward. 1983. Sagebrush-Grass Habitat Types of Southern Idaho. University of Idaho. Moscow, Idaho. Bulletin Number “35”.
USDA Forest Service, Rocky Mountain Research Station. 2004. Restoring Western Ranges and Wildlands. General Technical Report RMRS-GTR-136-vols. 1-3.
USDA, NRCS.2001. The PLANTS Database, Version 3.1 (http://plants.usda.gov.). National Plant Data Center, Baton Rouge, LA 70874-4490 USA
USDA, Forest Service, Fire Effects Information Database. 2004. www.fs.fed.us/database/feis
USDI Bureau of Land Management, US Geological Survey; USDA Natural Resources Conservation Service, Agricultural Research Service; Interpreting Indicators of Rangeland Health. Technical Reference 1734-6; Version 4-2005.
Contributors
DF
Approval
Kirt Walstad, 2/13/2025
Rangeland health reference sheet
Interpreting Indicators of Rangeland Health is a qualitative assessment protocol used to determine ecosystem condition based on benchmark characteristics described in the Reference Sheet. A suite of 17 (or more) indicators are typically considered in an assessment. The ecological site(s) representative of an assessment location must be known prior to applying the protocol and must be verified based on soils and climate. Current plant community cannot be used to identify the ecological site.
Author(s)/participant(s) |
Dave Franzen and Jacy Gibbs Intermountain Range Consultants 17700 Fargo Rd. Wilder, ID 83676 |
---|---|
Contact for lead author | Brendan Brazee, State Rangeland Management Specialist USDA-NRCS 9173 W. Barnes Drive, Suite C, Boise, ID 83709 |
Date | 05/02/2008 |
Approved by | Kirt Walstad |
Approval date | |
Composition (Indicators 10 and 12) based on | Annual Production |
Indicators
-
Number and extent of rills:
rills are rare on this site due to the coarse surface fragments. If they are present they are likely to occur immediately following a wildfire. -
Presence of water flow patterns:
water-flow patterns are rare on this site due to short slope lengths. When they occur they are short and disrupted by cool season grasses, tall shrubs and surface stones. They are not extensive. -
Number and height of erosional pedestals or terracettes:
both are rare on this site. In areas where rills and flow patterns are present, a few pedestals may be expected. -
Bare ground from Ecological Site Description or other studies (rock, litter, lichen, moss, plant canopy are not bare ground):
ranges from 15-30% but more data is needed. -
Number of gullies and erosion associated with gullies:
none. -
Extent of wind scoured, blowouts and/or depositional areas:
does not occur on this site. -
Amount of litter movement (describe size and distance expected to travel):
fine litter in the interspaces may move up to 3 feet following a significant run-off event. Coarse litter generally does not move. Litter can be trapped by surface stones. -
Soil surface (top few mm) resistance to erosion (stability values are averages - most sites will show a range of values):
values should range from 3 to 5 but needs to be tested. -
Soil surface structure and SOM content (include type of structure and A-horizon color and thickness):
no data. -
Effect of community phase composition (relative proportion of different functional groups) and spatial distribution on infiltration and runoff:
the tree-like canopy of curlleaf mountain mahogany intercepts raindrops and therefore reduces that impact on the soil surface. Bunchgrasses, especially deep-rooted perennials and surface stones slow down run-off and increase infiltration. Tall shrubs accumulate snow in the interspaces. -
Presence and thickness of compaction layer (usually none; describe soil profile features which may be mistaken for compaction on this site):
not present. -
Functional/Structural Groups (list in order of descending dominance by above-ground annual-production or live foliar cover using symbols: >>, >, = to indicate much greater than, greater than, and equal to):
Dominant:
tree-like shrubsSub-dominant:
cool season deep-rooted bunchgrassesOther:
tall shrubsAdditional:
perennial forbs, shallow rooted bunchgrasses -
Amount of plant mortality and decadence (include which functional groups are expected to show mortality or decadence):
mortality of curlleaf mountain mahogany is usually the result of insect infestations or fire. Outbreaks of a curlleaf mountain mahogany defoliating moth Stamnodes animata, occur at infrequent intervals. Two consecutive years of severe defoliation can cause curlleaf mountain mahogany mortality. -
Average percent litter cover (%) and depth ( in):
it ranges from 10-20% but additional data is needed
-
Expected annual annual-production (this is TOTAL above-ground annual-production, not just forage annual-production):
is 1100 pounds per acre (1232 kg/ha) in a year with normal precipitation and temperatures. -
Potential invasive (including noxious) species (native and non-native). List species which BOTH characterize degraded states and have the potential to become a dominant or co-dominant species on the ecological site if their future establishment and growth is not actively controlled by management interventions. Species that become dominant for only one to several years (e.g., short-term response to drought or wildfire) are not invasive plants. Note that unlike other indicators, we are describing what is NOT expected in the reference state for the ecological site:
includes shade intolerant species such as cheatgrass (at lower elevations), bulbous bluegrass, whitetop, musk and scotch thistle, and diffuse and spotted knapweed when the canopy has been altered or removed.
-
Perennial plant reproductive capability:
all functional groups have the potential to reproduce most years.
Print Options
Sections
Font
Other
The Ecosystem Dynamics Interpretive Tool is an information system framework developed by the USDA-ARS Jornada Experimental Range, USDA Natural Resources Conservation Service, and New Mexico State University.
Click on box and path labels to scroll to the respective text.