
Natural Resources
Conservation Service
Ecological site F146XY033ME
Wet Loamy Flat
Last updated: 5/20/2025
Accessed: 10/18/2025
General information
Provisional. A provisional ecological site description has undergone quality control and quality assurance review. It contains a working state and transition model and enough information to identify the ecological site.
MLRA notes
Major Land Resource Area (MLRA): 146X–Aroostook Area
This area is entirely in Maine and it makes up about 1,275 square miles (3,305 square kilometers). Presque Isle is the largest city in the area. Interstate 95 ends in the town of Houlton, at the border with New Brunswick, Canada. Aroostook State Park, Fort Kent Historic Site, and Loring Commerce Center are in this area. The Big Rock ski area is in the middle of this MLRA and is on the highest point, which is Mars Hill Mountain.
Ecological site concept
The site occurs on deep, loamy soils that are poorly- to very poorly-drained. They formed in relatively flat glacial outwash or lakebed sediments with slopes generally less than 8 percent. This site has a seasonally-high water table which affects plant species composition and community dynamics.
Balsam fir and red spruce dominate the overstory, with a productive understory of diverse wetland herbs, shrubs, and mosses. Logging, wind and insects, particularly the spruce budworm, drive plant community dynamics on this site. As overstory tree canopy is reduced, herbs and shrubs increase, followed by the re-establishment of thick stands of spruce and fir saplings. About twenty to sixty years following disturbance, a young mature spruce-fir forest emerges and understory species begin to re-establish in the community. After about sixty years without tree removal disturbance, many mature fir trees die out, resulting in a spruce-dominated forest. These mature stands include patches of younger stands resulting from small areas of blowdown or other disturbances.
Hurricane force winds and fire are rare on this site, but may result in entire stands reverting to the early herb/shrub phase.
When this site is cleared, drained, and cultivated, it transitions to a new state that produces mostly pasture, hay, or sometimes cropland.
The soil temperature regime is frigid and the soil moisture regime is aquic.
Associated sites
F146XY021ME |
Marsh This site may grade into the Marsh site as soils become too wet for tree persistence. |
---|---|
F146XY034ME |
Wet Sandy Bog This site may grade into the Wet Sandy Bog site as the soils become wetter and more acidic. |
Similar sites
F146XY034ME |
Wet Sandy Bog The Wet Sandy Bog site is similar in the understory, but has lower overall tree cover and black spruce as the dominant tree. It occurs on wetter, more acidic soils. |
---|
Table 1. Dominant plant species
Tree |
(1) Abies balsamea |
---|---|
Shrub |
(1) Alnus incana ssp. rugosa |
Herbaceous |
(1) Osmunda cinnamomea |
Physiographic features
This site occurs on relatively flat glacial outwash or lakebed sediments. Elevations range from nearly sea level up to 1750 feet. This site has a seasonally-high water table within 18 inches of the soil surface from about October to May in normal precipitation years.
Table 2. Representative physiographic features
Landforms |
(1)
Outwash plain
(2) Lake plain (3) Outwash terrace |
---|---|
Runoff class | Negligible to low |
Flooding frequency | None |
Ponding frequency | None |
Elevation | 10 – 1,750 ft |
Slope | 8% |
Water table depth | 18 in |
Aspect | Aspect is not a significant factor |
Climatic features
The climate of this site is characterized by cold, snowy winters, and cool summers. Precipitation is nearly equally distributed throughout the year, with slightly more moisture falling in June-October. During winter months, and sometimes fall and spring, cold winds from the north bring severe weather events. The effects of a relatively short growing season are somewhat mitigated by long summer days associated with the high latitudes of the region. Occasionally high winds, microburst, or freezing rain events damage vegetation over small portions of the landscape.
Table 3. Representative climatic features
Frost-free period (characteristic range) | 80-94 days |
---|---|
Freeze-free period (characteristic range) | 126-134 days |
Precipitation total (characteristic range) | 37-42 in |
Frost-free period (actual range) | 61-107 days |
Freeze-free period (actual range) | 103-141 days |
Precipitation total (actual range) | 36-42 in |
Frost-free period (average) | 85 days |
Freeze-free period (average) | 127 days |
Precipitation total (average) | 39 in |
Figure 1. Monthly precipitation range
Figure 2. Monthly minimum temperature range
Figure 3. Monthly maximum temperature range
Figure 4. Monthly average minimum and maximum temperature
Figure 5. Annual precipitation pattern
Figure 6. Annual average temperature pattern
Climate stations used
-
(1) CARIBOU MUNI AP [USW00014607], Caribou, ME
-
(2) ALLAGASH [USC00170200], Saint Francis, ME
-
(3) BRIDGEWATER [USC00170833], Bridgewater, ME
-
(4) FT KENT [USC00172878], Fort Kent, ME
-
(5) HOULTON 5N [USC00173944], Houlton, ME
-
(6) PRESQUE ISLE [USC00176937], Presque Isle, ME
-
(7) HOULTON INTL AP [USW00014609], Houlton, ME
Influencing water features
This site receives significant run-in moisture from surrounding uplands, and consists of poorly- and very poorly-drained hydric soils. These wetland soils, combined with wetland hydrology, support wetland species in the overstory and understory. Though flooding and ponding do not typically occur on this site, an elevated water table from October to May influences vegetation composition and community dynamics.
Soil features
The soils of this site are deep, loamy and poorly- to very poorly-drained. They formed in relatively flat glacial outwash or lakebed sediments with slopes generally less than 8 percent. This site typically has few rock fragments throughout the soil profile, though some areas may have up to 40 percent gravel by volume. The soil temperature regime is frigid and the soil moisture regime is aquic.
Table 4. Representative soil features
Parent material |
(1)
Glaciofluvial deposits
–
slate
(2) Glaciolacustrine deposits – siltstone |
---|---|
Surface texture |
(1) Silt loam |
Family particle size |
(1) Loamy |
Drainage class | Poorly drained to very poorly drained |
Permeability class | Very slow |
Soil depth | 65 in |
Surface fragment cover <=3" | 1% |
Surface fragment cover >3" | 1% |
Available water capacity (0-40in) |
2 – 11.5 in |
Calcium carbonate equivalent (0-40in) |
2% |
Electrical conductivity (0-40in) |
Not specified |
Sodium adsorption ratio (0-40in) |
Not specified |
Soil reaction (1:1 water) (0-40in) |
4.5 – 7.3 |
Subsurface fragment volume <=3" (Depth not specified) |
2 – 40% |
Subsurface fragment volume >3" (Depth not specified) |
3% |
Ecological dynamics
Caveat: The vegetation information contained in this section and is only provisional, based on concepts, and future projects support validation through field work. *] The vegetation groupings described in this section are based on the terrestrial ecological system classification and vegetation associations developed by NatureServe (Comer 2003) and localized associations provided by the Maine Natural Areas Program (Gawler and Cutko, 2010).
The plant community is dominated by balsam fir and red spruce, with black spruce, northern white cedar, larch and red maple also common. Shrubs such as speckled alder, black huckleberry, mountain holly, lowbush blueberry and diverse heath shrubs are commonly found in the understory, along with diverse wetland herb and moss species.
Important drivers of plant community dynamics are logging, wind, and insects, particularly spruce budworm. As tree canopy is reduced over large areas or small patches due to one of these drivers, shrub and herbaceous productivity increases for a period of a few years before being overcome by thick stands of spruce and fir saplings. Twenty to sixty years following tree removal, spruce and fir saplings reach a young mature forest and understory species begin to re-establish and increase in the understory. After about sixty years without tree-removal disturbance, many mature balsam fir trees die, resulting in a red spruce-dominated stand. These mature stands include patches of younger stands resulting from small areas of blowdown or other disturbances.
Hurricane force winds and fire are rare on this site, but may result in entire stands reverting to the early herb/shrub phase.
When this site is cleared, drained, and cultivated, it transitions to a new state that produces mostly pasture, hay, or sometimes cropland.
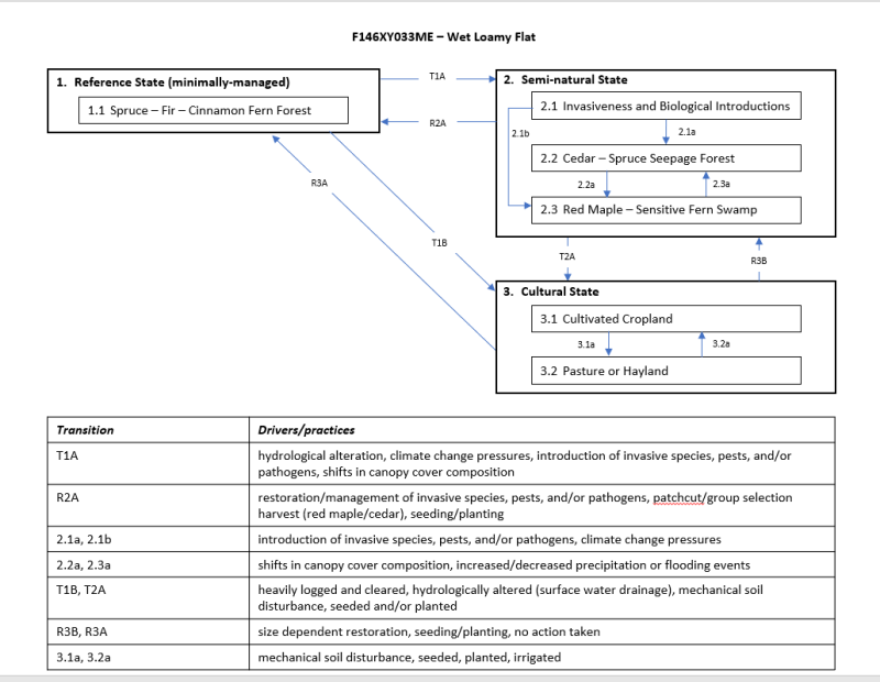
State and transition model

More interactive model formats are also available.
View Interactive Models
More interactive model formats are also available.
View Interactive Models
Click on state and transition labels to scroll to the respective text
State 1 submodel, plant communities
State 2 submodel, plant communities
State 3 submodel, plant communities
State 1
Reference State (minimally-managed)
The site occurs on deep, loamy soils that are poorly- to very poorly-drained. They formed in relatively flat glacial outwash or lakebed sediments with slopes generally less than 8 percent. This site has a seasonally-high water table which affects plant species composition and community dynamics. Balsam fir and red spruce dominate the overstory, with a productive understory of diverse wetland herbs, shrubs, and mosses. As overstory tree canopy is reduced, herbs and shrubs increase, followed by the re-establishment of thick stands of spruce and fir saplings. About twenty to sixty years following disturbance, a young mature spruce-fir forest emerges and understory species begin to re-establish in the community. After about sixty years without tree removal disturbance, many mature fir trees die out, resulting in a spruce-dominated forest. These mature stands include patches of younger stands resulting from small areas of blowdown or other disturbances.
Characteristics and indicators. Sites occur on moist to saturated mineral soils, usually with a dense carpet of mosses and liverworts. Closed canopies are dominated by spruce (>40% cover), or are rarely more open where red maple or northern white cedar mixes with spruce. Wetland plants occur in the herb layer, usually including cinnamon fern and three-seeded sedge.
Resilience management. Logging, wind and insects, particularly the spruce budworm, drive plant community dynamics on this site. Hurricane force winds and fire are rare on this site, but may result in entire stands reverting to the early herb/shrub phase.
Dominant plant species
-
black spruce (Picea mariana), tree
-
red spruce (Picea rubens), tree
-
balsam fir (Abies balsamea), tree
-
arborvitae (Thuja occidentalis), tree
-
alder (Alnus), shrub
-
black huckleberry (Gaylussacia baccata), shrub
-
mountain holly (Ilex montana), shrub
-
leatherleaf (Chamaedaphne calyculata), shrub
-
lowbush blueberry (Vaccinium angustifolium), shrub
-
sheep laurel (Kalmia angustifolia), shrub
-
rhodora (Rhododendron canadense), shrub
-
threeseeded sedge (Carex trisperma), grass
-
cinnamon fern (Osmunda cinnamomea), other herbaceous
-
dwarf raspberry (Rubus arcticus ssp. acaulis), other herbaceous
-
threeleaf goldthread (Coptis trifolia), other herbaceous
-
bunchberry dogwood (Cornus canadensis), other herbaceous
-
skunk cabbage (Symplocarpus foetidus), other herbaceous
Dominant resource concerns
-
Wind erosion
-
Ponding and flooding
-
Plant productivity and health
-
Plant structure and composition
-
Plant pest pressure
-
Wildfire hazard from biomass accumulation
-
Terrestrial habitat for wildlife and invertebrates
Community 1.1
Spruce - Fir - Cinnamon Fern Forest
This ecological site is a fairly homogeneous forest type dominated by spruce varieties that grow on poorly drained, level to gently sloping sites. Stands often form even-aged blocks hundreds to thousands of acres in size. The even-aged structure likely results from the past influences of spruce-budworm, fire, harvesting, blowdowns, or a combination of multiple factors. Wetland understory herbs and shrubs are sparse, and the forest floor is dominated by a dense carpet of typically Sphagnum mosses. Sites usually occur along drainages or low flats where soil remains moist throughout the growing season and may be saturated or temporarily flooded in the springtime. The substrate is acidic mineral soil and may be very stony, with or without an organic layer (<30 cm) on top. (Gawler and Cutko, 2010)
Resilience management. Maine Natural Areas Program State Rank: S4 (Apparently Secure) – At fairly low risk of extinction or elimination due to an extensive range and/or many populations or occurrences, but with possible cause for some concern as a result of local recent declines, threats, or other factors. Nearly all known occurrences of this community type in Maine have been harvested in the past, and many have a history of natural disturbance such as fire or spruce-budworm. Large (>1000 acres) examples free from human disturbance are scarce. Forest management with natural regeneration generally does not with result in conversion of this type. Studies on some examples on public and private conservation lands may provide further information on the natural dynamics in these systems. More information is needed statewide to determine if this type should be split into two separate types, reflecting northern and southern Maine variants. (Gawler and Cutko, 2010)
Dominant plant species
-
black spruce (Picea mariana), tree
-
red spruce (Picea rubens), tree
-
balsam fir (Abies balsamea), tree
-
European larch (Larix decidua), tree
-
arborvitae (Thuja occidentalis), tree
-
red maple (Acer rubrum), tree
-
eastern white pine (Pinus strobus), tree
-
alder (Alnus), shrub
-
black huckleberry (Gaylussacia baccata), shrub
-
common winterberry (Ilex verticillata), shrub
-
leatherleaf (Chamaedaphne calyculata), shrub
-
lowbush blueberry (Vaccinium angustifolium), shrub
-
rhodora (Rhododendron canadense), shrub
-
sheep laurel (Kalmia angustifolia), shrub
-
threeseeded sedge (Carex trisperma), grass
-
cinnamon fern (Osmunda cinnamomea), other herbaceous
-
bunchberry dogwood (Cornus canadensis), other herbaceous
-
dwarf raspberry (Rubus arcticus ssp. acaulis), other herbaceous
-
skunk cabbage (Symplocarpus foetidus), other herbaceous
-
threeleaf goldthread (Coptis trifolia), other herbaceous
Dominant resource concerns
-
Wind erosion
-
Ponding and flooding
-
Plant productivity and health
-
Plant structure and composition
-
Plant pest pressure
-
Wildfire hazard from biomass accumulation
-
Terrestrial habitat for wildlife and invertebrates
State 2
Semi-natural State
Shifts in ecological site composition, functionality, and dynamics driven by natural disturbances, processes, and pressures (may have some anthropogenic influences). More research is needed to determine the extent of the Semi-natural state associated with this ecological site.
Dominant resource concerns
-
Organic matter depletion
-
Ponding and flooding
-
Surface water depletion
-
Ground water depletion
-
Plant productivity and health
-
Plant structure and composition
-
Plant pest pressure
-
Terrestrial habitat for wildlife and invertebrates
-
Aquatic habitat for fish and other organisms
Community 2.1
Invasiveness and Biological Introductions
Introduction of invasive species, pathogens, and/or pests resulting in shifts in ecological site composition, functionality, and dynamics. More research is needed to determine the extent of these effects on the semi-natural state associated with this ecological site.
Dominant resource concerns
-
Organic matter depletion
-
Plant productivity and health
-
Plant structure and composition
-
Plant pest pressure
-
Terrestrial habitat for wildlife and invertebrates
-
Aquatic habitat for fish and other organisms
Community 2.2
Cedar - Spruce Seepage Forest
These forests are typically found on gentle, saturated slopes with groundwater seepage, often at the base of slopes near drainage outlets. The substrate is shallow peat or organic material over mineral soil, generally saturated with cold groundwater. Water may emerge to form rivulets or small spring fed brooks, or it may remain under the thick layer of mosses. Northern white cedar and other conifers form a moderate to dense canopy cover (70-95%), allowing only patchy light to penetrate to the forest floor. Northern white cedar is the dominant tree, though red spruce, white spruce, or black spruce may be co-dominant on some sites. Shrubs and dwarf shrubs are typically sparse but may be more abundant in canopy gaps caused by harvesting or natural disturbance. The herb layer may be extensive, typically >50% cover, and comprised mostly of non-woody species with northern affinities, while the forest floor is characterized by a rich growth of mosses. (Gawler and Cutko, 2010)
Resilience management. Maine Natural Areas Program State Rank: S4 (Apparently Secure) – At fairly low risk of extinction or elimination due to an extensive range and/or many populations or occurrences, but with possible cause for some concern as a result of local recent declines, threats, or other factors. Most known occurrences of this community type in Maine have been harvested in the past, often targeting removal of spruce. Forest management generally does not result in permanent conversion of this type, although questions remain about how to most successfully regenerate cedar. (Gawler and Cutko, 2010)
Dominant plant species
-
arborvitae (Thuja occidentalis), tree
-
red spruce (Picea rubens), tree
-
balsam fir (Abies balsamea), tree
-
dwarf honeysuckle (Lonicera xylosteum), shrub
-
threeseeded sedge (Carex trisperma), grass
-
bunchberry dogwood (Cornus canadensis), other herbaceous
-
creeping snowberry (Gaultheria hispidula), other herbaceous
-
oakfern (Gymnocarpium ×brittonianum), other herbaceous
-
twinflower (Linnaea borealis), other herbaceous
Dominant resource concerns
-
Ponding and flooding
-
Ground water depletion
-
Plant productivity and health
-
Plant structure and composition
-
Plant pest pressure
-
Terrestrial habitat for wildlife and invertebrates
-
Aquatic habitat for fish and other organisms
Community 2.3
Red Maple - Sensitive Fern Swamp
More research and field validation in required to identify the presence of this forest type and it's potential relationship to the reference state. Inherently similar to Spruce - Fir Cinnamon Fern Forest, Red Maple - Sensitive Fern Swamps are largely dominated by red maple rather than spruce and fir. Red maple dominates the somewhat open to nearly closed canopy (20-90% closure), sometimes with a relatively large component (up to 40% cover) of balsam fir, red spruce, or northern white cedar. The maples may be widely spaced with multiple trunks and arching crowns. The shrub layer is patchy; winterberry is common and various other shrubs may be locally abundant. The herb layer is well developed and dominated by herbs, with dwarf shrubs <20% of herb cover. The bryoid layer is usually <35% cover; peat mosses are typical but do not form extensive, deep carpets as they do in peatlands. Sites occupy mineral soils or well decomposed organic material over mineral soil on flats or gentle slopes in small basins, often on floodplains of streams to small rivers. Soils are typically 30-60 cm deep, loamy to silty in texture, sometimes with well decomposed muck over the mineral fraction, and pH 4.8-5.4. (Gawler and Cutko, 2010)
Resilience management. Maine Natural Areas Program State Rank: S5 (Secure) - At very low risk or extinction or elimination due to a very extensive range, abundant populations or occurrences, and little to no concern from declines or threats. Maintaining the hydrologic integrity of these stream drainages with upland buffers is key. These swamps typically have had few conflicting uses, although some have been recently harvested. ATV use has been observed at some sites. (Gawler and Cutklo, 2010)
Dominant plant species
-
red maple (Acer rubrum), tree
-
red spruce (Picea rubens), tree
-
balsam fir (Abies balsamea), tree
-
gray birch (Betula populifolia), tree
-
arborvitae (Thuja occidentalis), tree
-
southern arrowwood (Viburnum dentatum), shrub
-
common winterberry (Ilex verticillata), shrub
-
speckled alder (Alnus incana ssp. rugosa), shrub
-
bluejoint (Calamagrostis canadensis), grass
-
upright sedge (Carex stricta), grass
-
sensitive fern (Onoclea sensibilis), other herbaceous
-
royal fern (Osmunda regalis), other herbaceous
-
parasol whitetop (Doellingeria umbellata), other herbaceous
-
interrupted fern (Osmunda claytoniana), other herbaceous
Dominant resource concerns
-
Bank erosion from streams, shorelines, or water conveyance channels
-
Ponding and flooding
-
Surface water depletion
-
Ground water depletion
-
Pesticides transported to surface water
-
Pathogens and chemicals from manure, biosolids, or compost applications transported to surface water
-
Petroleum, heavy metals, and other pollutants transported to surface water
-
Plant productivity and health
-
Plant structure and composition
-
Plant pest pressure
-
Terrestrial habitat for wildlife and invertebrates
-
Aquatic habitat for fish and other organisms
Pathway 2.1a
Community 2.1 to 2.2
introduction of invasive species, pests, and/or pathogens, climate change pressures
Pathway 2.1b
Community 2.1 to 2.3
introduction of invasive species, pests, and/or pathogens, climate change pressures
Pathway 2.2a
Community 2.2 to 2.3
shifts in canopy cover composition, increased/decreased precipitation or flooding events
Pathway 2.3a
Community 2.3 to 2.2
shifts in canopy cover composition, increased/decreased precipitation or flooding events
State 3
Cultural State
Shifts in ecological site composition, functionality, and dynamics that are primary driven by anthropogenic disturbances and pressures (may have some associated natural influences). More research is needed to determine the extent of the cultural state associated with this ecological site.
Dominant resource concerns
-
Compaction
-
Organic matter depletion
-
Ponding and flooding
-
Pathogens and chemicals from manure, biosolids, or compost applications transported to surface water
-
Pathogens and chemicals from manure, biosolids, or compost applications transported to ground water
-
Petroleum, heavy metals, and other pollutants transported to surface water
-
Petroleum, heavy metals, and other pollutants transported to ground water
-
Plant productivity and health
-
Plant structure and composition
-
Terrestrial habitat for wildlife and invertebrates
-
Aquatic habitat for fish and other organisms
Community 3.1
Cultivated Cropland
Community 3.2
Pasture or Hayland
Pathway 3.1a
Community 3.1 to 3.2
mechanical soil disturbance, seeded, planted
Pathway 3.2a
Community 3.2 to 3.1
mechanical soil disturbance, seeded, planted
Transition T1A
State 1 to 2
hydrological alteration, climate change pressures, introduction of invasive species, pests, and/or pathogens, shifts in canopy cover composition *Cedar - Spruce Seepage Forests with a substantial amount of red spruce could grade into Spruce - Fir - Cinnamon Fern Forest (reference state), which usually occur on flats.
Transition T1B
State 1 to 3
heavily logged and cleared, hydrologically altered (surface water drainage), mechanical soil disturbance, seeded and/or planted
Restoration pathway R2A
State 2 to 1
restoration/management of invasive species, pests, and/or pathogens, patchcut/group selection harvest (red maple/cedar), seeding/planting
Transition T2A
State 2 to 3
heavily logged and cleared, hydrologically altered (surface water drainage), mechanical soil disturbance, seeded and/or planted
Restoration pathway R3A
State 3 to 1
size dependent restoration, seeding/planting, no action taken
Restoration pathway R3B
State 3 to 2
size dependent restoration, seeding/planting, no action taken
Additional community tables
Interpretations
Supporting information
Inventory data references
Future work is needed, as described in a future project plan, to validate the information presented in this provisional ecological site description. Future work includes field sampling, data collection and analysis by qualified vegetation ecologists and soil scientists. As warranted, annual reviews of the project plan can be conducted by the Ecological Site Technical Team. A final field review, peer review, quality control, and quality assurance reviews of the ESD are necessary to approve a final document.
Other references
Comer, P., D. Faber-Langendoen, R. Evans, S. Grawler, C. Josse, G. Kittel, S. Menard, M. Pyne, M. Reid, K. Schultz, K. Snow, and J. Teague. 2003. Ecological Systems of the United States: A Working Classification of U.S. Terrestrial Systems. NatureServe, Arlington, Virginia
Gawler, S. and A. Cutko. 2010. Natural Landscapes of Maine: A Guide to Natural Communities and Ecosystems. Maine Natural Areas Program, Maine Department of Conservation, Augusta, Maine.
NatureServe. 2018. NatureServe Explorer: An online encyclopedia of life [web application]. Version 7.1. NatureServe, Arlington, Virginia. NatureServe Explorer (accessed 10 July. 2021).
Soil Survey Staff, Natural Resources Conservation Service, United States Department of Agriculture. 2006. Land Resource Regions and Major Land Resource Areas of the United States, the Caribbean, and the Pacific Basin. Agricultural Handbook 296
Soil Survey Staff, Natural Resources Conservation Service, United States Department of Agriculture. Official Soil Series Descriptions. Available online. (accessed 11 Aug. 2021).
Soil Survey Staff, Natural Resources Conservation Service, United States Department of Agriculture. Soil Climate Research Station Data. Available online. (accessed 23 June. 2021).
Soil Survey Staff, Natural Resources Conservation Service, United States Department of Agriculture. Soil Survey Geographic (SSURGO) Database for [MLRA 146, Maine]. Available online. (accessed 14 Oct. 2021).
USNVC [United States National Vegetation Classification]. 2017. United States National Vegetation Classification Database V2.01. Federal Geographic Data Committee, Vegetation Subcommittee, Washington DC. Available The U.S. National Vegetation Classification (usnvc.org) (accessed 2 July. 2021).
Contributors
Christopher Mann
Jamin Johanson
Approval
Greg Schmidt, 5/20/2025
Acknowledgments
Nels Barrett, Nick Butler, and Carl Bickford provided considerable review of this ecological site concept.
Rangeland health reference sheet
Interpreting Indicators of Rangeland Health is a qualitative assessment protocol used to determine ecosystem condition based on benchmark characteristics described in the Reference Sheet. A suite of 17 (or more) indicators are typically considered in an assessment. The ecological site(s) representative of an assessment location must be known prior to applying the protocol and must be verified based on soils and climate. Current plant community cannot be used to identify the ecological site.
Author(s)/participant(s) | |
---|---|
Contact for lead author | |
Date | 05/06/2025 |
Approved by | Greg Schmidt |
Approval date | |
Composition (Indicators 10 and 12) based on | Annual Production |
Indicators
-
Number and extent of rills:
-
Presence of water flow patterns:
-
Number and height of erosional pedestals or terracettes:
-
Bare ground from Ecological Site Description or other studies (rock, litter, lichen, moss, plant canopy are not bare ground):
-
Number of gullies and erosion associated with gullies:
-
Extent of wind scoured, blowouts and/or depositional areas:
-
Amount of litter movement (describe size and distance expected to travel):
-
Soil surface (top few mm) resistance to erosion (stability values are averages - most sites will show a range of values):
-
Soil surface structure and SOM content (include type of structure and A-horizon color and thickness):
-
Effect of community phase composition (relative proportion of different functional groups) and spatial distribution on infiltration and runoff:
-
Presence and thickness of compaction layer (usually none; describe soil profile features which may be mistaken for compaction on this site):
-
Functional/Structural Groups (list in order of descending dominance by above-ground annual-production or live foliar cover using symbols: >>, >, = to indicate much greater than, greater than, and equal to):
Dominant:
Sub-dominant:
Other:
Additional:
-
Amount of plant mortality and decadence (include which functional groups are expected to show mortality or decadence):
-
Average percent litter cover (%) and depth ( in):
-
Expected annual annual-production (this is TOTAL above-ground annual-production, not just forage annual-production):
-
Potential invasive (including noxious) species (native and non-native). List species which BOTH characterize degraded states and have the potential to become a dominant or co-dominant species on the ecological site if their future establishment and growth is not actively controlled by management interventions. Species that become dominant for only one to several years (e.g., short-term response to drought or wildfire) are not invasive plants. Note that unlike other indicators, we are describing what is NOT expected in the reference state for the ecological site:
-
Perennial plant reproductive capability:
Print Options
Sections
Font
Other
The Ecosystem Dynamics Interpretive Tool is an information system framework developed by the USDA-ARS Jornada Experimental Range, USDA Natural Resources Conservation Service, and New Mexico State University.
Click on box and path labels to scroll to the respective text.