Ecological dynamics
The information in this ecological site description (ESD), including the state-and-transition model (STM), was developed using archeological and historical data, professional experience, and scientific studies. The information is representative of a complex set of plant communities. Not all scenarios or plants are included. Key indicator plants, animals, and ecological processes are described to inform land management decisions.
Introduction - The Southern Mississippi River Terrace (MLRA 131D) region is on smooth terraces and floodplains along the Mississippi River and its major tributaries south of its confluence with the Ohio River. The geologic material in the region consists of very thick deposits of sandy to clayey alluvium of Pleistocene to Holocene age. This material was deposited by the rivers with local relief is typically less than 15 feet and elevation ranging from 50 to 250 feet.
Geology - Bedrock in this area consists of Tertiary and Cretaceous sands formed as beach deposits during the retreat of the Cretaceous ocean from the midsection of the United States. Alluvial deposits from flooding and lateral migration of the rivers crossing this area typically lie above the bedrock. These sediments form Pleistocene-age alluvial terraces. Silty alluvium underlies most of the area. Clayey sediments are in old channel scars. The Pleistocene terraces are part of the Prairie Terrace complex. A minor portion of the area is in the Deweyville and Montgomery terrace formation. These terraces have a base of red alluvium capped by one to several feet of brownish alluvium.
Biological Resources - This area as a whole, supports hardwoods and pines. The Grand Prairie originally supported tall prairie grasses interlaced with hardwood timber. Cherrybark oak (Quercus pagoda) and Shumard oak (Quercus shumardii) are widely distributed. Tuliptree (Liriodendron tulipifera), white ash (Fraxinus americana), eastern cottonwood (Populus deltoides), and black walnut (Juglans nigra) are important species on the flood plains. Loblolly pine (Pinus taeda) and shortleaf pine (Pinus echinata) are on a wide variety of sites, mainly the eroded soils on uplands and ridges. Other hardwood species that commonly grow in this area are white oak (Quercus alba), basswood (Tillia sp.), sweetgum (Liquidambar styraciflua), water oak (Quercus nigra), American elm (Ulmus americana), blackgum (Nyssa sylvatica), sycamore (Plantanus occidentalis), sassafras (Sassafras albidum), southern red oak (Quercus falcata), chinkapin oak (Quercus muehlenbergii), American beech (Fagus grandifolia), and hickory (Carya sp.).
Land Use - Land use varies throughout the MLRA consisting of 42 percent cropland, 4 percent grassland, 47 percent forest, 3 percent urban development, 3 percent water, and 1 percent other. Scattered tracts of forests and farms make up nearly all of this area. Rice, soybeans, and wheat are the main crops. In most areas furrow or flood irrigation is used throughout the growing season. Hardwood timber is harvested on some forested wetlands, and most forested areas are managed for wildlife. Bait fish are produced commercially in ponds that are contained by levees. The area is in a major migratory flight path and hunting waterfowl is a popular recreation activity.
Conservation - The major soil resource concerns are management of soil moisture, erosion control, and maintenance of the content of organic matter and productivity of the soils. Depletion of ground water through excessive pumping is a major concern in the Grand Prairie area. Conservation practices on cropland generally include nutrient management, crop residue management, and alternative tillage systems, especially no-till systems that reduce the need for tillage. In many areas land leveling or shaping optimizes the control of surface water. Other major cropland management practices are control of competing vegetation and insects through aerial or ground spraying of herbicides and insecticides and fertility management programs that make use of chemical fertilizers.
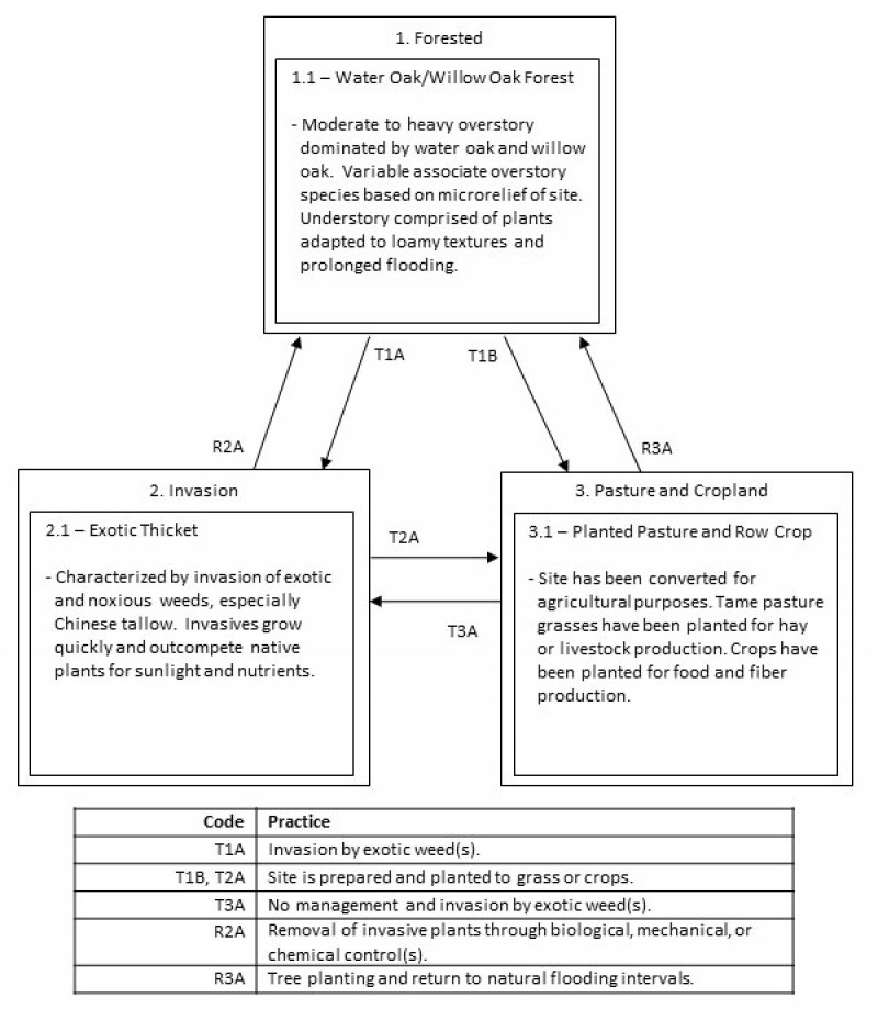
State 1
Forest
The overall state has a high overstory cover of bottomland hardwood species. The dominant overstory species are water oak and willow oak (Quercus phellos). Flooding is common, varying from brief durations to long durations depending on micro-relief, size of precipitation events, and current saturation of the soil. This microrelief has significant impact on the plant communities as well. Sites receiving more water will have more hydrophytic vegetation than sites that are higher, or near the peripheries. The most common disturbance is treefall due to windthrow. The rooting systems in the bottoms are oftentimes shallow. In combination with some mortality due to prolonged flooding, downed trees and upright snags are common. A canopy-clearing disturbance, such as hurricanes or tornadoes, can be inhabited by light-seeded species. If advanced oak reproduction is present at time of disturbance the stand will retain its oak dominance. Oaks will sprout, grow, die-back, and regrow for many years. Otherwise, green ash and sweetgum will colonize the canopy due to their rapid growth and ability to grow into the crown early.
Community 1.1
Water Oak/Willow Oak Forest
Besides the co-dominants water oak and willow oak, associate species may include: sweetgum, Nuttall oak (Quercus texana), overcup oak (Quercus lyrata), hackberry (Celtis laevigata), ash, and red maple (Acer rubrum). Understory shrub species include: swamp dogwood (Cornus foemina), green hawthorn (Crataegus viridis), and possumhaw (Ilex decidua). Common understory herbaceous species include: peppervine (Ampelopsis arborea), trumpet-creeper (Campsis radicans), and poison ivy (Toxicodendron radicans). Sedges (Carex sp.) and other herbaceous vegetation adapted to seasonally prolonged flooding inhabit the forest understory.
State 2
Invasion
Chinese tallow (Triadica sebifera) is an undesired, invasive species brought to the United States in 1776 (Randall & Marinelli, 1996). Rapid expansion along the gulf coastal states has allowed the species to invade many ecosystems and consequently reduce diversity. Tallow trees are known to cause gastrointestinal upset, contact dermatitis, and toxicity in livestock and humans. Mechanical and chemicals options exist as a means to control the trees.
Community 2.1
Exotic Thicket
Chinese tallow invade the ecological site via flooding events as nearby waterways transport seeds. Once settled, the seeds produce saplings viable to reproduce seeds in as little as three years. The rapid establishment immediately blocks sunlight to understory species and reduces diversity. Unabated growth quickly allows the saplings to grow into the overstory, thus changing the ecological state entirely. Reductions in size and number of all vegetative species are seen in all canopy tiers.
State 3
Pasture and Cropland
The Pasture and Cropland State is a result of conversion activities. The landowner has maximized agriculture production by planting a monoculture of introduced grass species or agricultural row crops.
Community 3.1
Planted Pasture and Row Crop
Typical perennial warm-season grasses include Bermudagrass, bahiagrass, dallisgrass, and Johnsongrass. Spring and fall forages may include legumes such as clover. The grasses are grown for livestock production through direct grazing or baling hay for later use. Agricultural row crops are grown for food and fiber production. Typical crops include cotton, soybeans, milo, corn, rice, and sugarcane. Many farmers use herbicides to reduce unwanted plant competition which yields a plant community unrepresentative of State 1 or subsequent vegetative states.
Transition T1A
State 1 to 2
The transition from State 1 to State 2 is a result of occupancy by invasive species or other noxious weeds. Invasive plants outcompete, and eventually choke out, all other native species.
Transition T1B
State 1 to 3
The transition is due to the land manager maximizing agricultural production. If present, merchantable timber is harvested by clearcut, then the site is prepared and planted to either a tame grass or row crop.
Restoration pathway R2A
State 2 to 1
The driver for restoration is control of Chinese tallow. Although an option, mechanical removal of the trees is difficult because they readily regrow from roots and seeds. Several chemicals methods are available, including glyphosate for cut-stump treatments, triclopyr for cut-stump and foliar treatments, imazamox for broad spectrum application, and imazapyr as a foliar spray. Many aquatic herbicides have water use restrictions and can potentially kill hardwoods, so labels and restrictions should be read carefully prior to application.
Transition T2A
State 2 to 3
The transition is due to the land manager maximizing agricultural production. Merchantable timber is harvested by clearcut, then the site is prepared and planted to either a tame grass or row crop.
Restoration pathway R3A
State 3 to 1
This restoration pathway may be accomplished by restoring bottomland hardwoods. Restoration efforts for bottomland hardwood forests have proven difficult and much research has been done on these ecosystems. Many times restoring the function of the ecosystem is the most difficult obstacle. Evapotranspiration and hyrdoperiod are closely linked and may never fully be restored until a forested condition exists again (Stanturf et al., 2001).
Local tree availability may limit the possibilities of species composition. Careful planning of available species, site design, and further management actions should be conversed with a knowledgeable restoration source. With this in mind, oftentimes late summer and early fall are the best times to begin due to possibly wet conditions during the late fall to early spring. Many detailed guides have been written to assist with restoration, and suggested readings include, “A Guide to Bottomland Hardwood Restoration” (Allen et al., 2001).
Transition T3A
State 3 to 2
The transition is due to the land manager not managing the invasion of exotic weeds. Without proper management, the crops and pastures can become an exotic thicket of invasive species that becomes increasingly harder to control.