Ecological dynamics
The information in this ecological site description (ESD), including the state-and-transition model (STM), was developed using archeological and historical data, professional experience, and scientific studies. The information is representative of a complex set of plant communities. Not all scenarios or plants are included. Key indicator plants, animals, and ecological processes are described to inform land management decisions.
Introduction - This Arkansas River Alluvium (MLRA 131B) is on the alluvial plains along the lower Arkansas River in Arkansas and the Ouachita River in Louisiana and Arkansas. The landforms in the area are level or depressional to very gently undulating alluvial plains, backswamps, oxbows, natural levees, and terraces. Landform shapes range from convex on natural levees and undulating terraces, to concave in oxbows. Landform shapes differentiate water-shedding positions from water-receiving positions, both of which affect soil formation and hydrology. Average elevations start at about 50 feet in the southern part of the area and gradually rise to about 250 feet in the northwestern part. Maximum local relief is about 10 feet, but relief is considerably lower in most of the area.
Geology - Bedrock in this area consists of Tertiary and Cretaceous sands formed as beach deposits during the retreat of the Cretaceous ocean from the midsection of the United States. Alluvial deposits from flooding and lateral migration of the Arkansas and Ouachita Rivers typically lie above the bedrock. These sediments are sandy to clayey fluvial deposits of Holocene to late Pleistocene age and are many feet thick. The geologic surfaces are identified as the Arkansas Lowlands, which extend from the Yazoo Basin up the Arkansas River to the margin of the Coastal Plain, and the parts of the Tensas Basin west of Macon Ridge. The deposits on both of these surfaces are of Holocene age. In some areas late Pleistocene terrace deposits are within several feet of the present surfaces, but they do not crop out in the MLRA.
Biological Resources - This area once consisted entirely of bottomland hardwood deciduous forest and mixed hardwood and cypress swamps pocked with areas of prairies on the terraces. The major tree species in the native plant communities in the areas of bottomland hardwoods formerly were and currently are water oak (Quercus nigra), Nuttall oak (Quercus texana), cherrybark oak (Quercus pagoda), pecan (Carya illinoensis), red maple (Acer rubrum), sweetgum (Liquidambar styraciflua), eastern cottonwood (Populus deltoides), and hickory (Carya sp.). The major tree species in the native plant communities in the swamps formerly were and currently are bald cypress (Taxodium distichum), water tupelo (Nyssa aquatica), green ash (Fraxinus pennsylvanica), and black willow (Salix nigra). The important native understory species are palmetto (Sabal minor), greenbrier (Smilax sp.), wild grape (Vitis sp.), and poison ivy (Toxicodendron radicans) in the areas of bottomland hardwoods and buttonbush (Cephalanthus occidentalis), lizardtail (Saururus cernuus), waterlily (Nymphaea sp.), sedges (Carex sp.), and rushes (Juncus sp.) in the swamps. Switchgrass (Panicum virgatum), big bluestem (Andropogon gerardii), little bluesetm (Schizachyrium scoparium), Indiangrass (Sorghastrum nutans), and eastern gamagrass (Tripsacum dactyloides) vegetate the prairie terraces.
Land Use - Land use varies throughout the MLRA consisting of 70 percent cropland, 2 percent grassland, 22 percent forest, 1 percent urban development, 3 percent water, and 2 percent other. Farms and scattered tracts of forested wetlands make up nearly all of this area. The farms produce mainly cash crops. Cotton, soybeans, milo, and corn are the main crops. In many areas furrow irrigation is used during droughty parts of the growing season. Throughout the area, catfish are produced commercially on farm ponds that are contained by levees. Migratory waterfowl are harvested throughout the area. Hardwood timber is harvested on some forested wetlands, and most forested areas are managed for wildlife.
Conservation - The major resource concerns are control of surface water, management of soil moisture, and maintenance of the content of organic matter and productivity of the soils. Conservation practices on cropland generally include nutrient management, crop residue management, and alternative tillage systems, especially no-till systems. In many areas land leveling or shaping optimizes the control of surface water. Other major cropland management practices are control of competing vegetation and insects through aerial or ground spraying of herbicides and insecticides and fertility management programs that make use of chemical fertilizers.
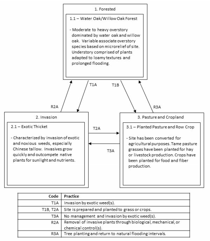
State 1
Forest
The overall state has a high overstory cover of bottomland hardwood species. The dominant overstory species are water oak and willow oak (Quercus phellos). Flooding is common, varying from brief durations to long durations depending on micro-relief, size of precipitation events, and current saturation of the soil. This microrelief has significant impact on the plant communities as well. Sites receiving more water will have more hydrophytic vegetation than sites that are higher, or near the peripheries. The most common disturbance is treefall due to windthrow. The rooting systems in the bottoms are oftentimes shallow. In combination with some mortality due to prolonged flooding, downed trees and upright snags are common. A canopy-clearing disturbance, such as hurricanes or tornadoes, can be inhabited by light-seeded species. If advanced oak reproduction is present at time of disturbance the stand will retain its oak dominance. Oaks will sprout, grow, die-back, and regrow for many years. Otherwise, green ash and sweetgum will colonize the canopy due to their rapid growth and ability to grow into the crown early.
Community 1.1
Water Oak/Willow Oak Forest
Besides the co-dominants water oak and willow oak, associate species may include: sweetgum, Nuttall oak, overcup oak (Quercus lyrata), hackberry (Celtis laevigata), green ash, and red maple. Understory shrub species include: swamp dogwood (Cornus foemina), green hawthorn (Crataegus viridis), and possumhaw (Ilex decidua). Common understory herbaceous species include: peppervine (Ampelopsis arborea), trumpet-creeper (Campsis radicans), and poison ivy. Sedges and other herbaceous vegetation adapted to seasonally prolonged flooding inhabit the forest understory.
State 2
Invasion
Chinese tallow (Triadica sebifera) is an undesired, invasive species brought to the United States in 1776 (Randall & Marinelli, 1996). Rapid expansion along the gulf coastal states has allowed the species to invade many ecosystems and consequently reduce diversity. Tallow trees are known to cause gastrointestinal upset, contact dermatitis, and toxicity in livestock and humans. Mechanical and chemicals options exist as a means to control the trees.
Community 2.1
Exotic Thicket
Chinese tallow invade the ecological site via flooding events as nearby waterways transport seeds. Once settled, the seeds produce saplings viable to reproduce seeds in as little as three years. The rapid establishment immediately blocks sunlight to understory species and reduces diversity. Unabated growth quickly allows the saplings to grow into the overstory, thus changing the ecological state entirely. Reductions in size and number of all vegetative species are seen in all canopy tiers.
State 3
Pasture and Cropland
The Pasture and Cropland State is a result of conversion activities. The landowner has maximized agriculture production by planting a monoculture of introduced grass species or agricultural row crops.
Community 3.1
Planted Pasture and Row Crop
Typical perennial warm-season grasses include Bermudagrass, bahiagrass, dallisgrass, and Johnsongrass. Spring and fall forages may include legumes such as clover. The grasses are grown for livestock production through direct grazing or baling hay for later use. Agricultural row crops are grown for food and fiber production. Typical crops include cotton, soybeans, milo, corn, rice, and sugarcane. Many farmers use herbicides to reduce unwanted plant competition which yields a plant community unrepresentative of State 1 or subsequent vegetative states.
Transition T1A
State 1 to 2
The transition from State 1 to State 2 is a result of occupancy by invasive species or other noxious weeds. Invasive plants outcompete, and eventually choke out, all other native species.
Transition T1B
State 1 to 3
The transition is due to the land manager maximizing agricultural production. If present, merchantable timber is harvested by clearcut, then the site is prepared and planted to either a tame grass or row crop.
Restoration pathway R2A
State 2 to 1
The driver for restoration is control of Chinese tallow. Although an option, mechanical removal of the trees is difficult because they readily regrow from roots and seeds. Several chemicals methods are available, including glyphosate for cut-stump treatments, triclopyr for cut-stump and foliar treatments, imazamox for broad spectrum application, and imazapyr as a foliar spray. Many aquatic herbicides have water use restrictions and can potentially kill hardwoods, so labels and restrictions should be read carefully prior to application.
Transition T2A
State 2 to 3
The transition is due to the land manager maximizing agricultural production. Merchantable timber is harvested by clearcut, then the site is prepared and planted to either a tame grass or row crop.
Restoration pathway R3A
State 3 to 1
This restoration pathway may be accomplished by restoring bottomland hardwoods. Restoration efforts for bottomland hardwood forests have proven difficult and much research has been done on these ecosystems. Many times restoring the function of the ecosystem is the most difficult obstacle. Evapotranspiration and hyrdoperiod are closely linked and may never fully be restored until a forested condition exists again (Stanturf et al., 2001).
Local tree availability may limit the possibilities of species composition. Careful planning of available species, site design, and further management actions should be conversed with a knowledgeable restoration source. With this in mind, oftentimes late summer and early fall are the best times to begin due to possibly wet conditions during the late fall to early spring. Many detailed guides have been written to assist with restoration, and suggested readings include, “A Guide to Bottomland Hardwood Restoration” (Allen et al., 2001).
Transition T3A
State 3 to 2
The transition is due to the land manager not managing the invasion of exotic weeds. Without proper management, the crops and pastures can become an exotic thicket of invasive species that becomes increasingly harder to control.