
Natural Resources
Conservation Service
Ecological site R066XY056NE
Choppy Sands
Last updated: 11/18/2024
Accessed: 10/18/2025
General information
Approved. An approved ecological site description has undergone quality control and quality assurance review. It contains a working state and transition model, enough information to identify the ecological site, and full documentation for all ecosystem states contained in the state and transition model.
MLRA notes
Major Land Resource Area (MLRA): 066X–Dakota-Nebraska Eroded Tableland
The Dakota-Nebraska Eroded Tableland (MLRA 66) occurs in north-central Nebraska (56 percent) and south-central South Dakota (44 percent). MLRA 66 is approximately 3.6 million acres and covers all or parts of 12 counties between the two states. The northern border of the MRLA bisects Tripp County, South Dakota, just south of the town of Winner. Valentine is in the northeastern corner of Cherry County, Nebraska and is located on the MLRA’s southwestern border. From there, the MLRA stretches southeast to the northwestern corner of Antelope County, Nebraska and the town of O’Neil, Nebraska in Holt County its southeastern border.
The MLRA occupies a smooth fluvial plain primarily consisting of broad intervalley areas with terraces, river breaks, and local badlands along the well-defined major drainages. The slopes range from nearly level tablelands to steep ridges and drainages. The elevation ranges from 1,970 to 2,950 feet. The Keya Paha, Elkhorn, and the Niobrara Rivers flow through the MLRA. The Niobrara is a designated National Scenic River.
Layers of shaly chalk and limestone marine sediments overlaying the Cretaceous Niobrara Formation make up the bulk of the MLRA, though the western and southwestern portions exhibit surface eolian deposits. The floors of the major drainages are underlain by deposits of alluvial sand and gravel. The dominant soil orders in this MLRA are mesic, ustic or aridic Mollisols and Entisols. Loamy and sandy are the primary soil textures in this landscape.
Twenty-seven percent of the land in this MLRA has been broken out of native prairie and farmed, while sixty-six percent of the grasslands remain intact. The remaining acres are divided between forest, urban development, and other uses. Livestock grazing, primarily by cattle, is a major industry. Corn, winter wheat, and grain sorghum are the primary commodity crops but a significant number of acres are planted to forage sorghum and alfalfa for harvest as hay. With limited irrigation available, and annual precipitation averaging from 18 inches in the west to 25 inches in the east, crop production is marginal across most of the MLRA.
The historical matrix vegetation type is mixed-grass prairie. Big bluestem, sand bluestem, prairie sandreed, little bluestem, sideoats grama, and blue grama make up the bulk of the warm-season species. Western wheatgrass, green needlegrass, and needle and thread are the dominant cool-season grasses. Large- and small-patch vegetative communities are found primarily along the riparian zones, on lowland sites, and in closed depressions. Woodlands make up about 3 percent of MLRA 66 and consist primarily of green ash, bur oak, and hackberry. Ponderosa pines can be found on steeper sites in the western portion of the landscape.
Wildlife flourishes in this combination of crop and grassland environments. In a landscape historically occupied by bison herds, white-tailed and mule deer are now the most abundant wild ungulates. Pronghorns also number among the remaining native grazers. A variety of smaller species, including coyote, raccoon, opossum, porcupines, muskrat, beaver, squirrel, prairie dogs, and mink, thrive in the region. Grassland birds, including several upland game birds, are common across the MLRA.
This landscape serves as a backdrop for a disturbance-driven ecosystem, evolving under the influences of herbivory, fire, and variable climate. Historically, these processes created a heterogeneous mosaic of plant communities and structure heights across the region. Any given site in this landscape burned every six to ten years, with most of the MLRA experiencing a six to eight year fire regime. The fires were caused by lightning strikes and were also set by Native Americans, who used fire for warfare, signaling, and to refresh the native grasses. Indigenous inhabitants understood the value of fire as a tool, and that the highly palatable growth following a fire provided excellent forage for their horses and attracted grazing game animals such as bison and elk.
Land use patterns by post-European settlers have greatly altered the historical fire regime, allowing the expansion of woody species. Fragmentation of the native grasslands by conversion to cropland, transportation corridors, and other developments has contributed to disruption of the natural fire regime of this ecosystem. The most common encroaching woody species is eastern redcedar. While eastern redcedar is native to the landscape, the historic population in MLRA 66 was limited to isolated pockets in rugged river drainageways that were protected from wildfire. Widespread plantings of windbreaks with eastern redcedar as a primary component provide a seed source for the aggressive woody plant which further facilitates woody encroachment. Encroachment of native and introduced shrubs and trees into the native grasslands degrades wildlife habit and causes significant forage loss for domestic livestock. Aggressive fire suppression policies have exacerbated this process to the point that shrub and tree encroachment is a major ecological threat to grasslands throughout most of the MLRA.
Classification relationships
►EPA◄
Level IV Ecoregions of the Conterminous United States 43—Northwestern Great Plains:
43i—Keya Paha Tablelands.
►USDA◄
Land Resource Regions and Major Land Resource Areas (USDA- NRCS, 2006)
Land Resource Region: G—Western Great Plains Range and Irrigated Region:
Major Land Resource Area (MLRA): 66 Dakota-Nebraska Eroded Tableland.
Ecological site concept
Located on the highest site in a rolling dunes landscape, the Choppy Sands ecological site is an upland site with slopes of greater than 24 percent. Catsteps and small blowouts are often present. Soil surface texture is fine sand. There is no regenerating ponderosa pine overstory.
The historical native vegetation is Mixed Grass Prairie. Vegetation in the Reference Community (1.1) is dominated by warm-season tall- and midgrasses. Dominant species include sand bluestem, prairie sandreed, switchgrass, little bluestem, and sand lovegrass. Indiangrass and needle and thread are also significant. Forbs are common and diverse. Shrubs include leadplant, western sandcherry, and soapweed yucca.
The vast majority of the Choppy Sands ecological site remains intact grassland as the site is not suited for farming. Livestock grazing is the primary use, and wind erosion is one of the main ecological concerns. This site is also susceptible to encroachment by eastern redcedar.
Associated sites
R066XY055NE |
Sands 22-25" P.Z. The Sands 22-25 PZ ecological site is typically located adjacent to but in a lower landscape position than the Choppy Sands ecological site. |
---|---|
R066XY033NE |
Sands 18-22" P.Z. The Sands 18-22 PZ ecological site is typically located adjacent to but in a lower landscape position than the Choppy Sands ecological site. |
Similar sites
R066XY031NE |
Steep Sandy The Steep Sandy ecological site has similar soils and slopes to Choppy Sands ecological sites but the Steep Sandy ecological site is found on stream and river bluffs and has a regenerating ponderosa pine component while Choppy Sands ecological sites are found on dune fields and ponderosa pine is not expected. |
---|---|
R066XY055NE |
Sands 22-25" P.Z. The Sands 22-25 PZ ecological site is found on soils similar in texture to Choppy Sands ecological sites, but the Sands 22-25 PZ is not as steep, typically has a thicker A-horizon, higher production, and less bare ground. |
R066XY033NE |
Sands 18-22" P.Z. The Sands 18-22 PZ ecological site is found on soils similar in texture to Choppy Sands ecological sites, but the Sands 18-22 PZ is not as steep, typically has a thicker A-horizon, higher production, and less bare ground. |
Table 1. Dominant plant species
Tree |
Not specified |
---|---|
Shrub |
Not specified |
Herbaceous |
(1) Andropogon hallii |
Physiographic features
The Choppy Sands ecological site occupies steep, high dunes in a rolling dune landscape.

Figure 1. Block diagram of the Choppy Sands site
Table 2. Representative physiographic features
Landforms |
(1)
Dune field
> Dune
|
---|---|
Runoff class | Low to medium |
Flooding frequency | None |
Ponding frequency | None |
Elevation | 1,900 – 3,000 ft |
Slope | 25 – 60% |
Water table depth | 60 – 80 in |
Aspect | Aspect is not a significant factor |
Climatic features
MLRA 66 is considered to have a continental climate with cold winters and hot summers, low humidity, light rainfall, and much sunshine. Extremes in temperature may also abound. The climate is the result of this MLRA’s location near the geographic center of North America. There are few natural barriers on the northern Great Plains, and the winds move freely across the plains and account for rapid changes in temperature.
Annual precipitation ranges from 18 to 25 inches per year. The normal average annual temperature is about 48°F. January is the coldest month with average temperatures ranging from about 19°F (Bonesteel, SD) to about 23°F (Ainsworth, NE). July is the warmest month with temperatures averaging from about 73°F (Harrington, SD) to about 75°F (Gregory, SD). The range of normal average monthly temperatures between the coldest and warmest months is about 54°F. This large annual range attests to the continental nature of the climate this area. Hourly winds average about ten miles per hour annually, ranging from about 11 miles per hour during the spring to about nine miles per hour during the summer. Daytime winds are generally stronger than nighttime and occasional strong storms may bring brief periods of high winds with gusts to more than 50 miles per hour.
Growth of native cool-season plants begins mid to late March and continues to late June. Native warm-season plants begin growth in early May and continue to late August. Green-up of cool-season plants may occur in September and October when adequate soil moisture is present.
Table 3. Representative climatic features
Frost-free period (characteristic range) | 107-122 days |
---|---|
Freeze-free period (characteristic range) | 127-138 days |
Precipitation total (characteristic range) | 20-25 in |
Frost-free period (actual range) | 93-127 days |
Freeze-free period (actual range) | 119-142 days |
Precipitation total (actual range) | 20-26 in |
Frost-free period (average) | 113 days |
Freeze-free period (average) | 132 days |
Precipitation total (average) | 23 in |
Figure 2. Monthly precipitation range
Figure 3. Monthly minimum temperature range
Figure 4. Monthly maximum temperature range
Figure 5. Monthly average minimum and maximum temperature
Figure 6. Annual precipitation pattern
Figure 7. Annual average temperature pattern
Climate stations used
-
(1) VALENTINE MILLER FLD [USW00024032], Valentine, NE
-
(2) SPRINGVIEW [USC00258090], Springview, NE
-
(3) NEWPORT [USC00255925], Newport, NE
-
(4) BUTTE [USC00251365], Butte, NE
-
(5) LYNCH [USC00255040], Lynch, NE
-
(6) HARRINGTON [USC00393574], Tuthill, SD
-
(7) MARTIN 5 E [USC00395285], Martin, SD
-
(8) KILGORE 1NE [USC00254432], Kilgore, NE
Influencing water features
No significant water features influence this site.
Soil features
The Choppy Sands ecological site occurs on very deep, excessively drained soils formed in eolian sands. Slopes range from 24 to 60 percent. The surface soil texture is fine sand. The dark colored surface layer is 0 to 5 inches thick.
Permeability is moderately rapid. Runoff is low to medium. In spite of the very steep slopes, there is a lack of rills, gullies, or other water flow pattern on all but the steepest slopes. Some pedestalling of bunchgrasses may be present but occurs on less than 5 percent of the plants.
Valentine is the only soil series correlated to the Choppy Sands ecological site. More information can be found in the various soil survey reports. Contact the local USDA Service Center for soil survey reports that include more detail specific to your location or visit Web Soil Survey (https://websoilsurvey.sc.egov.usda.gov).

Figure 8. Valentine series profile.
Table 4. Representative soil features
Parent material |
(1)
Eolian sands
|
---|---|
Surface texture |
(1) Fine sand |
Drainage class | Excessively drained |
Permeability class | Moderately rapid |
Depth to restrictive layer | 80 in |
Soil depth | 60 – 80 in |
Surface fragment cover <=3" | Not specified |
Surface fragment cover >3" | Not specified |
Available water capacity (Depth not specified) |
2 – 2.8 in |
Calcium carbonate equivalent (Depth not specified) |
Not specified |
Electrical conductivity (Depth not specified) |
2 mmhos/cm |
Sodium adsorption ratio (Depth not specified) |
Not specified |
Soil reaction (1:1 water) (Depth not specified) |
5.6 – 7.3 |
Subsurface fragment volume <=3" (Depth not specified) |
Not specified |
Subsurface fragment volume >3" (Depth not specified) |
Not specified |
Ecological dynamics
Choppy Sands ecological sites developed under Northern Great Plains climatic conditions, light to severe grazing by bison and other large herbivores, sporadic natural or man-caused wildfire, and other biotic and abiotic factors that typically influence soil and site development. This continues to be a disturbance-driven site with herbivory, fire, and variable climate being the primary disturbances. Changes in the plant communities occur with short-term weather variations, impacts of native and/or exotic plant and animal species, and management actions.
Historically, large areas of blowing sand resulted in the active movement of the sand dunes. Evaporation from the soil surface was extremely high due to the large areas of bare ground, lack of litter, and sparse plant populations. The transpiration rate of these sparse plant communities was also high due to the harsh soil environment. Occasional wildfires, severe grazing by transient bison herds, and drought contributed to the instability of the sand dunes causing the dunes to fluctuate between multiple stages of plant succession over the course of time. Early perennial plants such as sandhill muhly, blowout grass, and blowout penstemon were common due to their ability to tolerate movement of the sand and droughty conditions. As these plants began to colonize and stabilize the sand movement, other perennials such as prairie sandreed, sand bluestem, hairy grama, lemon scurfpea, and rose slowly became evident on the site. Annual plants such as sandbur, Texas croton, and prairie sunflower colonized the areas between the perennials. The site is resilient and well adapted to the Northern Great Plains climatic conditions. The plant diversity allows for high resistance to drought.
The introduction of domestic livestock by European settlers along with season-long, continuous grazing had a profound impact on the vegetation of the Choppy Sands ecological site. Season-long, continuous grazing causes a repeated removal of the growing point and excessive defoliation of the leaf area of individual warm-season tallgrasses. The resulting reduction of the ability of the plants to harvest sunlight depletes the root reserves, subsequently decreasing the root mass. The ability of the plants to compete for nutrients is impaired, resulting in declining vigor and eventual mortality. Species that evade negative grazing impacts through mechanisms such as a growing season adaptation (i.e., cool-season), growing points located near the soil surface, a shorter structure, or lower palatability will dominate the plant community. As this site deteriorates, sand dropseed, needleandthread, hairy grama, and prairie sandreed increase while sand bluestem and switchgrass decrease in frequency and production.
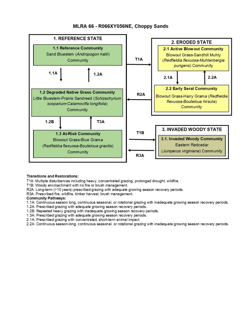
The State and Transition Model (STM) is depicted below and includes a Reference State (1), an Eroded State (2), and an Invaded Woody State (3). Each state represents the crossing of a major ecological threshold due to the alteration of the functional dynamic properties of the ecosystem. The primary properties observed to determine this change are soil stability, vegetative communities, and the hydrologic cycle. Each state may have one or more plant communities that fluctuate in species composition and abundance within the normal parameters of the state. Within each state, communities may degrade or recover in response to natural and man caused disturbances such as variation in the degree and timing of herbivory, presence or absence of fire, and climatic and local fluctuations in the precipitation regime. The processes that cause the movement between the states and communities are discussed in more detail in the state and community descriptions following the diagram.
Interpretations are primarily based on the Reference Plant Community (1.1). The descriptions and population dynamics of all of the communities been determined by study of rangeland relic areas, areas protected from excessive disturbance, and areas under long-term rotational grazing regimes. Additional information from areas exposed to the gamut of grazing regimes, and historical accounts also have been used.
State and transition model

Figure 9. State and Transition Model Diagram. MLRA 66, Choppy Sands Ecological Site.
More interactive model formats are also available.
View Interactive Models
More interactive model formats are also available.
View Interactive Models
Click on state and transition labels to scroll to the respective text
Ecosystem states
T1A | - | Multiple disturbances including heavy, concentrated grazing, prolonged drought, wildfire. |
---|---|---|
T1B | - | Woody encroachment with no fire or brush management. |
R2A | - | Long-term (>10 years) prescribed grazing with adequate growing season recovery periods. |
R3A | - | Prescribed fire, wildfire, timber harvest, brush management. |
State 1 submodel, plant communities
1.1A | - | Continuous, season-long, continuous seasonal, or rotational grazing with inadequate growing season recovery periods. |
---|---|---|
1.2A | - | Prescribed grazing with adequate growing season recovery periods. |
1.2B | - | Repeated heavy grazing with inadequate growing season recovery periods. |
1.3A | - | Prescribed grazing with adequate growing season recovery periods. |
State 2 submodel, plant communities
2.1A | - | Continuous season-long, continuous seasonal, or rotational grazing with inadequate growing season recovery periods. |
---|---|---|
2.2A | - | Prescribed grazing with concentrated, short-term animal impact. |
State 3 submodel, plant communities
State 1
Reference State

Figure 10. Choppy Sands Ecological Site, Reference State (1).
The Reference State (1) describes the range of vegetative community that occur on the Choppy Sands ecological site where the range of natural variability under historic conditions and disturbance regimes is mostly intact. The Reference State developed under the combined influences of climatic conditions, periodic fire activity, grazing by large herbivores, and impacts from small mammals and insects. High perennial grass cover and production allows for increased soil moisture retention, vegetative production and overall soil quality. The Reference State includes the Reference Community (1.1), the Degraded Native Grass Community (1.2), and the At-Risk Community (1.3). The Reference Community serves as a description of the native plant community that naturally occurs on the site when the natural disturbance regimes are intact or closely mimicked by management practices. The Degraded Native Grass and At-Risk Communities result from management actions that are unfavorable for a healthy Reference Community. All community phases are susceptible to eastern redcedar invasion and subject to crossing a threshold into the Invaded Woody State (3).
Dominant plant species
-
sand bluestem (Andropogon hallii), grass
-
prairie sandreed (Calamovilfa longifolia), grass
-
little bluestem (Schizachyrium scoparium), grass
-
blowout grass (Redfieldia flexuosa), grass
-
hairy grama (Bouteloua hirsuta), grass
-
blue grama (Bouteloua gracilis), grass
Community 1.1
Reference Community
Interpretations are primarily based on the Reference or Sand Bluestem (Andropogon hallii) Community (1.1). This plant community serves as a description of the native community that occurs on the site when the natural disturbance regimes are intact or are closely mimicked by management practices. This phase is dynamic, with fluid relative abundance and spatial boundaries between the dominant structural vegetative groups. These fluctuations are primarily driven by different responses of the species to changes in precipitation timing and abundance, and to fire and grazing events. The dominant species are sand bluestem, little bluestem, and prairie sandreed. Grasses of secondary importance include needle and thread, switchgrass, sand lovegrass, hairy grama, and blue grama. Sedges occur in the understory. Forbs and shrubs such as blazing star, stiff sunflower, leadplant, rose, and western sandcherry are significant. This plant community is 80 to 90 percent grasses, 5 to 10 percent forbs, and 5 to 10 percent shrubs by weight. Natural fire played a significant role in the succession of this site by limiting the extent of eastern redcedar. Wildfires have been actively controlled in recent times, allowing eastern redcedar encroachment. This plant community can be found on areas that are managed with prescribed grazing, prescribed burning. It may also be found on areas receiving occasional periods of short-term rest. Management strategies to sustain this community include proper stocking rates, adequate growing season recovery times, monitoring key forage species, and prescribed fire every 6 to 8 years (R. P. Guyette and others, 2012). This resilient community is well adapted to the Northern Great Plains climatic conditions. Plant diversity promotes strong tolerance to drought, site and soil stability, a functional hydrologic cycle, and a high degree of biological integrity. These factors create a suitable environment for a healthy and sustainable plant community.
Dominant plant species
-
sand bluestem (Andropogon hallii), grass
-
prairie sandreed (Calamovilfa longifolia), grass
-
little bluestem (Schizachyrium scoparium), grass
Figure 11. Annual production by plant type (representative values) or group (midpoint values)
Table 5. Annual production by plant type
Plant type | Low (lb/acre) |
Representative value (lb/acre) |
High (lb/acre) |
---|---|---|---|
Grass/Grasslike | 1665 | 2088 | 2500 |
Forb | 115 | 180 | 250 |
Shrub/Vine | 20 | 132 | 250 |
Total | 1800 | 2400 | 3000 |
Figure 12. Plant community growth curve (percent production by month). NE6637, Eroded Tableland, warm-season dominant, cool-season subdominant.
Jan | Feb | Mar | Apr | May | Jun | Jul | Aug | Sep | Oct | Nov | Dec |
---|---|---|---|---|---|---|---|---|---|---|---|
J | F | M | A | M | J | J | A | S | O | N | D |
5 | 8 | 15 | 24 | 23 | 15 | 5 | 5 |
Community 1.2
Degraded Native Grass Community
The presence of the Degraded Native Grass or Little Bluestem-Prairie Sandreed (Schizachyrium scoparium-Calamovilfa longifolia) Community (1.2) signals a significant loss of production due to continuous season-long grazing, continuous seasonal grazing, or rotational grazing with inadequate recovery periods. As the more palatable warm-season tallgrasses decline, the warm-season mid- and shortgrasses and cool-season grasses become more prevalent. The composition of the forb component remains diverse, but the potential for encroachment by invasive woody species becomes more likely, due to fewer deep-rooted species and a reduced fuel load to carry fire. Vegetation consists of primarily warm-season grasses with prairie sandreed and little bluestem dominant. Other grasses include sand bluestem, hairy grama, needle and thread, and sand lovegrass. Significant forbs include field sagewort, scaly blazing star, lemon scurfpea, stiff sunflower, hairy false goldenaster, flax-flowered ipomopsis, and Cuman ragweed. Rose, soapweed yucca, poison ivy, and brittle pricklypear are common shrubs. The potential vegetation is 80 to 90 percent grasses or grass-like plants, 5 to 10 percent forbs, and 5 to10 percent shrubs. Compared to the Reference Community (1.1), sand bluestem has decreased significantly and production has dropped accordingly. Little bluestem, prairie sandreed, and hairy grama production has declined but these species have increased as a proportion of the plant community. Palatable forbs and shrubs, including leadplant, western sandcherry, and chokecherry, have decreased. More surface area is exposed, increasing the susceptibility of the site to wind erosion. While this plant community is less productive and less diverse than the Reference Plant Community, it remains sustainable in regard to site and soil stability, hydrologic function, and biotic integrity. As species diversity remains high, this plant community is still resilient, and short-term disturbance will not result in a shift to another plant community. Soil erosion remains low unless plant cover is further reduced by fire, hail, or heavy grazing. Runoff can occur during high rainfall events, resulting in soil erosion in concentrated flow areas.
Dominant plant species
-
prairie sandreed (Calamovilfa longifolia), grass
-
little bluestem (Schizachyrium scoparium), grass
-
hairy grama (Bouteloua hirsuta), grass
Figure 13. Annual production by plant type (representative values) or group (midpoint values)
Table 6. Annual production by plant type
Plant type | Low (lb/acre) |
Representative value (lb/acre) |
High (lb/acre) |
---|---|---|---|
Grass/Grasslike | 110 | 1392 | 1670 |
Forb | 75 | 120 | 165 |
Shrub/Vine | 15 | 88 | 165 |
Total | 200 | 1600 | 2000 |
Figure 14. Plant community growth curve (percent production by month). NE6637, Eroded Tableland, warm-season dominant, cool-season subdominant.
Jan | Feb | Mar | Apr | May | Jun | Jul | Aug | Sep | Oct | Nov | Dec |
---|---|---|---|---|---|---|---|---|---|---|---|
J | F | M | A | M | J | J | A | S | O | N | D |
5 | 8 | 15 | 24 | 23 | 15 | 5 | 5 |
Community 1.3
At-Risk Community
In the At-Risk, or Blowout Grass-Blue Grama (Redfieldia flexuosa-Bouteloua gracilis) Community (1.3), the more palatable warm-season tallgrasses are reduced through continued heavy defoliation during their critical growth periods. Warm-season shortgrasses and cool-season grasses have increased significantly. Total annual vegetative production has declined significantly. Plants are sparse and bare ground has increased. Soil health is affected by reduced efficiency in the nutrient, mineral, and hydrologic cycles as a result of decreases in plant litter and rooting depths. Blowout grass and blue grama are the dominant grasses. The dominant forbs include lemon scurfpea, prairie sunflower, Cuman ragweed, and field sagewort. Soapweed yucca routinely occurs on this plant community. The potential vegetation is 55 to 65 percent grasses or grass-like plants, 5 to 10 percent forbs, and 30 to 40 percent shrubs. This plant community is not resistant to change and a short-term disturbance can move this community to a blowout. Without a management change, this community will degrade to the Eroded State (2). With the expanding loss of the ground cover, the site also becomes more susceptible to wind erosion. It also is highly susceptible to, in the presence of a seed source, encroachment by eastern redcedar.
Dominant plant species
-
soapweed yucca (Yucca glauca), shrub
-
blowout grass (Redfieldia flexuosa), grass
-
blue grama (Bouteloua gracilis), grass
-
lemon scurfpea (Psoralidium lanceolatum), other herbaceous
Figure 15. Annual production by plant type (representative values) or group (midpoint values)
Table 7. Annual production by plant type
Plant type | Low (lb/acre) |
Representative value (lb/acre) |
High (lb/acre) |
---|---|---|---|
Grass/Grasslike | 335 | 357 | 410 |
Shrub/Vine | 115 | 210 | 325 |
Forb | 0 | 33 | 65 |
Total | 450 | 600 | 800 |
Figure 16. Plant community growth curve (percent production by month). NE6637, Eroded Tableland, warm-season dominant, cool-season subdominant.
Jan | Feb | Mar | Apr | May | Jun | Jul | Aug | Sep | Oct | Nov | Dec |
---|---|---|---|---|---|---|---|---|---|---|---|
J | F | M | A | M | J | J | A | S | O | N | D |
5 | 8 | 15 | 24 | 23 | 15 | 5 | 5 |
Pathway 1.1A
Community 1.1 to 1.2
Continuous season-long, continuous seasonal, or rotational grazing with inadequate growing season recovery periods will convert the Reference Community (1.1) to the Degraded Native Grass Community (1.2). Heavy grazing tends to accelerate this movement.
Pathway 1.2A
Community 1.2 to 1.1
With prescribed grazing, the Degraded Native Grass Community (1.2) will move rapidly toward the Reference Community (1.1). Continuous winter use will reduce soapweed yucca and will also move this plant community toward the Reference Community. Risks involved with winter use are trailing along slopes, soil erosion of south facing slopes when livestock seek protection from prevailing northwesterly winds, and poor distribution resulting in heavy use on associated bottom lands.
Pathway 1.2B
Community 1.2 to 1.3
Repeated heavy grazing with inadequate growing season recovery periods or growing season-long grazing can convert the Degraded Native Grass Community (1.2) to the At-Risk Community (1.3). This shift results in a decrease of forage production, plant diversity, and ground cover.
Pathway 1.3A
Community 1.3 to 1.2
Prescribed grazing with adequate growing season recovery periods will move the At-Risk Community (1.3) toward the Degraded Native Grass Community (1.2). Initially, sand dropseed and prairie sandreed increase followed by an increase in other warm-season, tall- and midgrasses. Careful management is required to protect this plant community from excessive wind erosion until the vigor of individual plants improves and plant density increases.
State 2
Eroded State
The Eroded State (2) can occur when any community in the Reference State (1) is subjected to multiple heavy disturbances including heavy grazing, livestock concentration, wildfire, and multi-year drought. The disturbances remove plant and litter cover, causing large bare areas to develop. The resulting wind erosion produces large areas of blowing sand. The Eroded State includes the Active Blowout Community (2.1) and the Early Seral Community (2.2).
Community 2.1
Active Blowout Community
The Active Blowout or Blowout Grass-Sand Hill Muhly (Redfieldia flexuosa-Muhlenbergia pungens) Community (2.1) can be reached from any community in the Reference State (1) or from the Early Seral Community (2.2). Wind erosion causes large areas of blowing sand which transports the sand and enlarges the blowout. Evaporation is extremely high, and transpiration of the few existing plants is also high due to the low herbaceous canopy and lack of litter which results in large areas of bare ground. This plant community is in a low successional stage. Sandhill muhly and blowout grass are present due to their drought tolerance and ability to withstand burial by blowing sand. Total annual production during an average year varies significantly, depending on the production level prior to encroachment, plant density, and amount of canopy cover.
Dominant plant species
-
blowout grass (Redfieldia flexuosa), grass
-
sandhill muhly (Muhlenbergia pungens), grass
Figure 17. Plant community growth curve (percent production by month). NE6636, Eroded Tableland, cool-season/warm-season codominant.
Jan | Feb | Mar | Apr | May | Jun | Jul | Aug | Sep | Oct | Nov | Dec |
---|---|---|---|---|---|---|---|---|---|---|---|
J | F | M | A | M | J | J | A | S | O | N | D |
5 | 10 | 20 | 25 | 20 | 10 | 5 | 5 |
Community 2.2
Early Seral Community
The Early Seral or Blowout Grass-Hairy Grama (Redfieldia flexuosa-Bouteloua hirsuta) Community (2.2) typically occurs in areas previously occupied by active blowout areas. Sandbur, lemon scurfpea, Texas croton, and annual sunflower are early colonizers. As the blowout heals and succession progresses, sandhill muhly, blowout grass, and hairy grama colonize the site. Prairie sandreed, sand bluestem, and rose will slowly enter the plant community.
Dominant plant species
-
blowout grass (Redfieldia flexuosa), grass
-
sandhill muhly (Muhlenbergia pungens), grass
-
hairy grama (Bouteloua hirsuta), grass
-
lemon scurfpea (Psoralidium lanceolatum), other herbaceous
-
Texas croton (Croton texensis), other herbaceous
-
prairie sunflower (Helianthus petiolaris), other herbaceous
Pathway 2.1A
Community 2.1 to 2.2
With prescribed grazing and concentrated short-term animal impact (such as feeding hay on the blowout), the Blowout Community (2.1) can move to the Early Seral Community (2.2).
Pathway 2.2A
Community 2.2 to 2.1
Continuous season long, continuous seasonal, or rotational grazing with inadequate growing season recovery periods can move the Early Seral Community (2.2) to the Active Blowout Community (2.1).
State 3
Invaded Woody State
The Invaded Woody State (3) is the result of woody encroachment. Once the tree canopy cover reaches 15 percent with an average tree height exceeding five feet, the threshold to the Invaded Woody State has been crossed. Woody species are increasing due to the lack of prescribed fire, brush management, or other woody tree removal. Typical ecological impacts are a loss of native grasses, reduced diversity of functional and structural groups, reduced forage production, and reduced soil quality. Prescribed burning, wildfire, timber harvest and brush management will move the Invaded Woody State toward a grass dominated state. The Invaded Woody State includes one community, the Invaded Woody Community (3.1).
Dominant plant species
-
eastern redcedar (Juniperus virginiana), tree
-
blue grama (Bouteloua gracilis), grass
-
needle and thread (Hesperostipa comata ssp. comata), grass
Community 3.1
Invaded Woody Community
The Invaded Woody or Eastern Redcedar (Juniperus virginiana) Community (3.1) has at least 15 percent woody canopy cover consisting of trees generally 5 feet or taller. Encroaching trees are primarily eastern redcedar. Additional woody cover from deciduous trees and shrubs may be present. In the absence of fire and brush management, this ecological site is very susceptible to eastern redcedar seedling invasion, especially when adjacent to a seed source. Eastern redcedar can eventually dominate the site resulting in a closed canopy monoculture which drastically reduces forage production and which has limited value for either livestock grazing or wildlife habitat. With long-term fire suppression, this plant community will develop extensive ladder fuels which can lead to a removal of most tree species with a wildfire. With properly managed intensive grazing, encroachment of deciduous trees will be minimal; however, this will not impact encroachment of conifer species. The herbaceous component decreases proportionately in relation to the percent canopy cover, with the reduction being greater under a coniferous overstory. Eastern redcedar control can usually be accomplished with prescribed burning while the trees are six feet tall or less and fine fuel production is greater than 1,500 pounds per acres. Larger red cedars can also be controlled with prescribed burning, but successful application requires the use of specifically designed ignition and holding techniques (https://www.loesscanyonsburngroup.com). Resprouting brush must be chemically treated immediately after mechanical removal to achieve effective treatment. The forb component will initially increase following tree removal. To prevent return to a woody dominated community, ongoing brush management such as hand cutting, chemical spot treatments, or periodic prescribed burning is required . This plant community is resistant to change and resilient given normal disturbances. In higher canopy cover situations, the soil erosion will increase in relation to most of the plant communities from which this plant community originated. The water cycle is also significantly altered under higher canopy cover. Infiltration is reduced and runoff is typically increased because of a lack of herbaceous cover and the rooting structure provided by the herbaceous species. Total annual production during an average year varies significantly, depending on the production level prior to encroachment and the percentage of canopy cover.
Dominant plant species
-
eastern redcedar (Juniperus virginiana), tree
-
blue grama (Bouteloua gracilis), grass
-
needle and thread (Hesperostipa comata ssp. comata), grass
Transition T1A
State 1 to 2
This threshold from the Reference State (1) to the Eroded State (2) is crossed as a result of multiple heavy disturbances such as heavy grazing with wildfire, multi-year drought, or other disturbance. These multiple disturbances create large areas of bare ground resulting in wind erosion that will create areas of blowing sand (blowouts) with very little plant cover. Concentration of livestock in areas such as fence corners, mineral feeders, water tanks, and trailing can all be factors in starting a blowout.
Transition T1B
State 1 to 3
Disruption of the natural fire regime and the encroachment of invasive exotic and native woody species can cause the Reference State (1) to transition to the Invaded Woody State (3).
Restoration pathway R2A
State 2 to 1
Long-term (more than ten years) prescribed grazing which includes short periods of concentrated short-term animal impact (such as feeding hay on the blowout) and adequate, growing season recovery periods will return the Eroded State (2) to the Reference State (1). This restoration is a long-term process and will typically take more than ten years to return the plant community to the Reference State.
Restoration pathway R3A
State 3 to 1
Prescribed burning, wildfire, harvest, and brush management will move the Invaded Woody State (3) to the Reference State (1). The forb component may initially increase following tree removal. Ongoing brush management such as hand cutting, chemical spot treatments, or periodic prescribed burning is required to prevent a return to the Invaded Woody State. The heavier the existing canopy cover, the greater the energy input required to return to the Reference State by management practices. The amount of time required for this restoration to occur depends on the severity and duration of the encroachment.
Additional community tables
Table 8. Community 1.1 plant community composition
Group | Common name | Symbol | Scientific name | Annual production (lb/acre) | Foliar cover (%) | |
---|---|---|---|---|---|---|
Grass/Grasslike
|
||||||
1 | Warm-Season Tallgrass | 1080–1560 | ||||
sand bluestem | ANHA | Andropogon hallii | 480–960 | – | ||
prairie sandreed | CALO | Calamovilfa longifolia | 360–600 | – | ||
switchgrass | PAVI2 | Panicum virgatum | 240–480 | – | ||
Indiangrass | SONU2 | Sorghastrum nutans | 120–240 | – | ||
blowout grass | REFL | Redfieldia flexuosa | 0–120 | – | ||
2 | Warm-Season Midgrass | 480–840 | ||||
little bluestem | SCSC | Schizachyrium scoparium | 360–600 | – | ||
sand lovegrass | ERTR3 | Eragrostis trichodes | 120–480 | – | ||
sand dropseed | SPCR | Sporobolus cryptandrus | 0–120 | – | ||
3 | Cool-Season Bunchgrass | 240–480 | ||||
needle and thread | HECOC8 | Hesperostipa comata ssp. comata | 120–240 | – | ||
porcupinegrass | HESP11 | Hesperostipa spartea | 0–240 | – | ||
fall rosette grass | DIWI5 | Dichanthelium wilcoxianum | 0–120 | – | ||
prairie Junegrass | KOMA | Koeleria macrantha | 0–120 | – | ||
Scribner's rosette grass | DIOLS | Dichanthelium oligosanthes var. scribnerianum | 0–120 | – | ||
Grass, perennial | 2GP | Grass, perennial | 0–48 | – | ||
4 | Warm-Season Shortgrass | 24–120 | ||||
sandhill muhly | MUPU2 | Muhlenbergia pungens | 0–120 | – | ||
hairy grama | BOHI2 | Bouteloua hirsuta | 24–120 | – | ||
blue grama | BOGR2 | Bouteloua gracilis | 0–120 | – | ||
thin paspalum | PASE5 | Paspalum setaceum | 0–72 | – | ||
Grass, perennial | 2GP | Grass, perennial | 0–24 | – | ||
5 | Grass-Like | 0–120 | ||||
sedge | CAREX | Carex | 0–120 | – | ||
Forb
|
||||||
6 | Forb | 120–240 | ||||
stiff sunflower | HEPA19 | Helianthus pauciflorus | 0–48 | – | ||
Cuman ragweed | AMPS | Ambrosia psilostachya | 0–48 | – | ||
Forb, perennial | 2FP | Forb, perennial | 0–48 | – | ||
Forb, annual | 2FA | Forb, annual | 0–48 | – | ||
scaly blazing star | LISQ | Liatris squarrosa | 0–48 | – | ||
field sagewort | ARCA12 | Artemisia campestris | 0–24 | – | ||
hairy false goldenaster | HEVI4 | Heterotheca villosa | 0–24 | – | ||
beardtongue | PENST | Penstemon | 0–24 | – | ||
lemon scurfpea | PSLA3 | Psoralidium lanceolatum | 0–24 | – | ||
Shrub/Vine
|
||||||
7 | Shrub | 24–240 | ||||
leadplant | AMCA6 | Amorpha canescens | 0–120 | – | ||
western poison ivy | TORY | Toxicodendron rydbergii | 0–120 | – | ||
rose | ROSA5 | Rosa | 0–120 | – | ||
soapweed yucca | YUGL | Yucca glauca | 0–120 | – | ||
western sandcherry | PRPUB | Prunus pumila var. besseyi | 0–120 | – | ||
American plum | PRAM | Prunus americana | 0–120 | – | ||
Shrub (>.5m) | 2SHRUB | Shrub (>.5m) | 0–72 | – |
Table 9. Community 1.2 plant community composition
Group | Common name | Symbol | Scientific name | Annual production (lb/acre) | Foliar cover (%) | |
---|---|---|---|---|---|---|
Grass/Grasslike
|
||||||
1 | Warm-Season Tallgrass | 560–880 | ||||
prairie sandreed | CALO | Calamovilfa longifolia | 320–560 | – | ||
sand bluestem | ANHA | Andropogon hallii | 80–240 | – | ||
switchgrass | PAVI2 | Panicum virgatum | 0–160 | – | ||
blowout grass | REFL | Redfieldia flexuosa | 0–80 | – | ||
Indiangrass | SONU2 | Sorghastrum nutans | 0–80 | – | ||
2 | Warm Season Midgrass | 320–560 | ||||
little bluestem | SCSC | Schizachyrium scoparium | 320–560 | – | ||
sand dropseed | SPCR | Sporobolus cryptandrus | 0–128 | – | ||
sand lovegrass | ERTR3 | Eragrostis trichodes | 0–80 | – | ||
3 | Cool-Season Bunchgrass | 32–240 | ||||
needle and thread | HECOC8 | Hesperostipa comata ssp. comata | 16–160 | – | ||
prairie Junegrass | KOMA | Koeleria macrantha | 0–80 | – | ||
fall rosette grass | DIWI5 | Dichanthelium wilcoxianum | 0–48 | – | ||
Scribner's rosette grass | DIOLS | Dichanthelium oligosanthes var. scribnerianum | 0–32 | – | ||
porcupinegrass | HESP11 | Hesperostipa spartea | 0–32 | – | ||
4 | Warm Season Shortgrass | 32–160 | ||||
hairy grama | BOHI2 | Bouteloua hirsuta | 16–160 | – | ||
blue grama | BOGR2 | Bouteloua gracilis | 0–80 | – | ||
sandhill muhly | MUPU2 | Muhlenbergia pungens | 0–80 | – | ||
thin paspalum | PASE5 | Paspalum setaceum | 0–32 | – | ||
6 | Grass-Like | 0–32 | ||||
sedge | CAREX | Carex | 0–32 | – | ||
7 | Non-Native Cool-Season Grass | 0–16 | ||||
cheatgrass | BRTE | Bromus tectorum | 0–16 | – | ||
Forb
|
||||||
9 | Forb | 80–160 | ||||
Cuman ragweed | AMPS | Ambrosia psilostachya | 0–48 | – | ||
field sagewort | ARCA12 | Artemisia campestris | 0–32 | – | ||
Forb, annual | 2FA | Forb, annual | 0–32 | – | ||
hairy false goldenaster | HEVI4 | Heterotheca villosa | 0–16 | – | ||
beardtongue | PENST | Penstemon | 0–16 | – | ||
lemon scurfpea | PSLA3 | Psoralidium lanceolatum | 0–16 | – | ||
stiff sunflower | HEPA19 | Helianthus pauciflorus | 0–16 | – | ||
Forb, perennial | 2FP | Forb, perennial | 0–16 | – | ||
scaly blazing star | LISQ | Liatris squarrosa | 0–16 | – | ||
flaxflowered ipomopsis | IPLOL | Ipomopsis longiflora ssp. longiflora | 0–16 | – | ||
Shrub/Vine
|
||||||
8 | Shrub | 16–160 | ||||
rose | ROSA5 | Rosa | 0–80 | – | ||
soapweed yucca | YUGL | Yucca glauca | 0–80 | – | ||
brittle pricklypear | OPFR | Opuntia fragilis | 0–48 | – | ||
Shrub (>.5m) | 2SHRUB | Shrub (>.5m) | 0–48 | – | ||
leadplant | AMCA6 | Amorpha canescens | 0–32 | – | ||
western sandcherry | PRPUB | Prunus pumila var. besseyi | 0–32 | – | ||
American plum | PRAM | Prunus americana | 0–16 | – |
Table 10. Community 1.3 plant community composition
Group | Common name | Symbol | Scientific name | Annual production (lb/acre) | Foliar cover (%) | |
---|---|---|---|---|---|---|
Grass/Grasslike
|
||||||
1 | Warm-Season Tallgrass | 180–420 | ||||
blowout grass | REFL | Redfieldia flexuosa | 180–420 | – | ||
prairie sandreed | CALO | Calamovilfa longifolia | 0–60 | – | ||
sand bluestem | ANHA | Andropogon hallii | 0–60 | – | ||
2 | Warm-Season Midgrass | 0–30 | ||||
little bluestem | SCSC | Schizachyrium scoparium | 0–30 | – | ||
sand dropseed | SPCR | Sporobolus cryptandrus | 0–30 | – | ||
4 | Warm-Season Shortgrass | 30–240 | ||||
blue grama | BOGR2 | Bouteloua gracilis | 30–240 | – | ||
hairy grama | BOHI2 | Bouteloua hirsuta | 0–120 | – | ||
sandhill muhly | MUPU2 | Muhlenbergia pungens | 0–12 | – | ||
7 | Non-Native Cool-Season Grass | 0–30 | ||||
cheatgrass | BRTE | Bromus tectorum | 0–30 | – | ||
Forb
|
||||||
8 | Forb | 6–60 | ||||
common sunflower | HEAN3 | Helianthus annuus | 0–30 | – | ||
Forb, annual | 2FA | Forb, annual | 0–30 | – | ||
Forb, perennial | 2FP | Forb, perennial | 0–18 | – | ||
field sagewort | ARCA12 | Artemisia campestris | 0–18 | – | ||
Cuman ragweed | AMPS | Ambrosia psilostachya | 0–12 | – | ||
lemon scurfpea | PSLA3 | Psoralidium lanceolatum | 0–12 | – | ||
Shrub/Vine
|
||||||
9 | Shrub | 120–300 | ||||
soapweed yucca | YUGL | Yucca glauca | 120–300 | – | ||
Shrub (>.5m) | 2SHRUB | Shrub (>.5m) | 0–30 | – | ||
rose | ROSA5 | Rosa | 0–6 | – |
Interpretations
Animal community
LIVESTOCK - GRAZING INTERPRETATIONS:
Grazing by domestic livestock is one of the major income-producing industries in the area. Rangeland in this area may provide year-long forage for cattle, sheep, or horses. During the dormant period, the protein levels of the forage may be lower than the minimum needed to meet livestock (primarily cattle and sheep)requirements. The following table lists suggested stocking rates for cattle under continuous season-long grazing under normal growing conditions. These are conservative estimates that should be used only as guidelines in the initial stages of the conservation planning process. Often, the current plant composition does not entirely match any particular plant community (as described in this ecological site description). Because of this, a field visit is recommended, in all cases, to document plant composition and production. More precise carrying capacity estimates should eventually be calculated using this information along with animal preference data, particularly when grazers other than cattle are involved. With consultation of the land manager, more intensive grazing management may result in improved harvest efficiencies and increased carrying capacity.
Production and Carrying Capacity*
Community 1.1, Reference Community: 2,400 lbs/acre, 0.65 AUM/acre
Community 1.2, Degraded Native Grass Community: 1,600 lbs/ac, 0.44 AUM/acre
Community 1.3, At-Risk Community: 600 lbs/acre, 0.16 AUM/acre
*Based upon the following conditions: continuous season-long grazing by cattle under average growing conditions, 25 percent harvest efficiency. Air dry forage requirements based on 3 percent of animal body weight, or 912 lbs/AU/month.
WILDLIFE INTERPRETATIONS:
Major Land Resource Area (MLRA) 66 lies primarily within the Mixed-grass prairie ecosystem. Though European settlers have converted about a quarter of this landscape to farmland, the majority of the prairie is still intact. This area still consists of diverse grassland habitats interspersed with varying densities of depressional wetlands and limited woody riparian corridors. These habitats historically provided critical life cycle components for the grassland birds, prairie dogs, and herds of roaming bison, elk, and pronghorn. Bobcats, wolves, and mountain lions occupied the apex predator niche. Diverse populations of small mammals and insects still provide a bountiful prey base for raptors and omnivores such as coyotes, foxes, raccoons, and opossums. In addition, a wide variety of reptiles and amphibians thrive in this landscape.
The Mixed-grass prairie was a disturbance-driven ecosystem with fire, herbivory, and climate functioning as the primary disturbances. Following European settlement, elimination of fire, overgrazing, and some habitat fragmentation significantly altered the appearance and functionality of the entire ecosystem. Bison and prairie dogs were historically keystone species, but free-roaming bison herds have been extirpated in this region. The loss of bison and fire as ecological drivers greatly influenced the character of the remaining native grasslands and the habitats that they provide. Fragmentation has reduced habitat quality for numerous area-sensitive species, as highlighted by the decline of the greater prairie chicken.
Historically, an ecological mosaic of the sites provided habitat for species requiring unfragmented grasslands. Most of these important habitat features and components are intact, providing upland nesting habitat for grassland birds and game birds; nesting and escape cover for waterfowl; forbs and insects for brood-rearing habitat; and a forage source for small and large herbivores.
Disruption of the natural fire regime and lack of appropriate grazing management are the greatest threats to the ecosystem dynamics today. Tree and shrub encroachment from lack of fire creates habitat that favors generalist species such as American robin and mourning dove, and provides perches for raptors, increasing the predation mortality on native bird populations. Introduced species such as smooth bromegrass, Kentucky bluegrass, nodding plumeless thistle (musk thistle), and Canada thistle further degrade the biological integrity of many areas of the prairie.
Hydrological functions
Water is the principal factor limiting forage production on the Choppy Sands site. Valentine soils on this site are in Hydrologic Soil Group A (low runoff and high infiltration even when thoroughly wetted). Water transmission through Group A soils is normally greater than 0.30 inches per hour. Runoff is expected to occur only during intense storms (refer to Section 4, NRCS National Engineering Handbook for runoff quantities and hydrologic curves).
For the interpretive plant community, rills and gullies typically should not be present. Water flow patterns should be barely distinguishable, if at all present. Pedestals are only slightly present in association with bunchgrasses such as little bluestem. Litter typically falls in place, and signs of movement are not common. Chemical and physical crusts are rare to non-existent. Cryptogamic crusts are present but only cover 1-2 percent of the soil surface. Overall, this site has the appearance of being very stable and productive.
Recreational uses
This site provides hunting opportunities for upland game species. The wide variety of plants which bloom from spring until fall have an aesthetic value that appeals to visitors.
Wood products
No appreciable wood products are present on the site.
Other information
Field Offices (Counties)
Nebraska:
Ainsworth, (Brown, Keya Paha, and Rock)
Neligh, (Antelope)
O'Neill, (Holt )
Valentine, (Cherry)
South Dakota:
Burke, (Gregory)
Martin, (Bennett and Shannon)
White River, (Mellette and Todd)
Winner, (Tripp)
Supporting information
Inventory data references
Information presented here has been derived from NRCS clipping data and other inventory data. Field observations from range-trained personnel were also used. Those involved in developing this site include Wayne Bachman, Soil Scientist, NRCS; Stan Boltz, Range Management Specialist, NRCS; Anna Ferguson, Soil Conservationist, NRCS; Roger Hammer, Soil Scientist, NRCS; Dana Larsen, Range Management Specialist, NRCS; Dave Schmidt, Rangeland Management Specialist, NRCS; and Kim Stine, Rangeland Management Specialist, NRCS.
Other references
High Plains Regional Climate Center, University of Nebraska.(http://www.hprcc.unl.edu/)
U.S. Department of Agriculture, Natural Resources Conservation Service. 2003. National Range and Pasture Handbook. (https://www.nrcs.usda.gov/national-range-and-pasture-handbook)
U.S. Department of Agriculture, Natural Resources Conservation Service. National Water and Climate Center. (http://www.wcc.nrcs.usda.gov/climate).
U.S. Department of Agriculture, Natural Resources Conservation Service. 2021b. National Soil Information System. (https://www.nrcs.usda.gov/resources/education-and-teaching-materials/national-soil-information-system-nasis).
U.S. Department of Agriculture, Natural Resources Conservation Service. 2021c. National soil survey handbook, title 430-VI. (http://soils.usda.gov/technical/handbook/).
Soil Survey Staff. 2021. Web soil survey. U.S. Department of Agriculture, Natural Resources Conservation Service. (https://websoilsurvey.sc.egov.usda.gov/)
USDA, NRCS. 2001. The PLANTS Database, Version 3.1 (http://plants.usda.gov). National Plant Data Center, Baton Rouge, LA USA.
USDA, NRCS, various published Soil Surveys
Contributors
Doug Whisenhunt
Dana Larsen
Nadine Bishop
Approval
Suzanne Mayne-Kinney, 11/18/2024
Acknowledgments
Many thanks to the members of the soils, local practitioners and technical teams who assisted with the revision and review of this document, as well as to the editor.
This Ecological Site was approved for publication in March of 2021.
Non-discrimination statement
In accordance with Federal civil rights law and U.S. Department of Agriculture (USDA) civil rights regulations and policies, the USDA, its Agencies, offices, and employees, and institutions participating in or administering USDA programs are prohibited from discriminating based on race, color, national origin, religion, sex, gender identity (including gender expression), sexual orientation, disability, age, marital status, family/parental status, income derived from a public assistance program, political beliefs, or reprisal or retaliation for prior civil rights activity, in any program or activity conducted or funded by USDA (not all bases apply to all programs). Remedies and complaint filing deadlines vary by program or incident.
Persons with disabilities who require alternative means of communication for program information (e.g., Braille, large print, audiotape, American Sign Language, etc.) should contact the responsible Agency or USDA's TARGET Center at (202) 720-2600 (voice and TTY) or contact USDA through the Federal Relay Service at (800) 877-8339. Additionally, program information may be made available in languages other than English.
To file a program discrimination complaint, complete the USDA Program Discrimination Complaint Form, AD-3027, found online at How to File a Program Discrimination Complaint and at any USDA office or write a letter addressed to USDA and provide in the letter all of the information requested in the form. To request a copy of the complaint form, call (866) 632-9992. Submit your completed form or letter to USDA by: (1) mail: U.S. Department of Agriculture, Office of the Assistant Secretary for Civil Rights, 1400 Independence Avenue, SW, Washington, D.C. 20250-9410; (2) fax: (202) 690-7442; or (3) email:
program.intake@usda.gov.
Rangeland health reference sheet
Interpreting Indicators of Rangeland Health is a qualitative assessment protocol used to determine ecosystem condition based on benchmark characteristics described in the Reference Sheet. A suite of 17 (or more) indicators are typically considered in an assessment. The ecological site(s) representative of an assessment location must be known prior to applying the protocol and must be verified based on soils and climate. Current plant community cannot be used to identify the ecological site.
Author(s)/participant(s) | Original Author: Stan Boltz Version V participants: Emily Helms, Nadine Bishop, Jeff Nichols |
---|---|
Contact for lead author | jeffrey.nichols@usda.gov |
Date | 11/18/2024 |
Approved by | Suzanne Mayne-Kinney |
Approval date | |
Composition (Indicators 10 and 12) based on | Annual Production |
Indicators
-
Number and extent of rills:
None. Rills are not expected on this site. -
Presence of water flow patterns:
Typically, none. Water flow patterns may occur during extreme precipitation events and will be less than 12 (30.5 cm) inches long, less than 6 inches (15.25 cm) wide, discontinuous, and usually found between catsteps. -
Number and height of erosional pedestals or terracettes:
Bunchgrasses may be slightly pedestalled (0.5 inch / 1.25 cm) with no exposed roots; occurrence of pedestalled plants will be rare with 5 percent of fewer plants being pedestalled. Drought or wildfire can contribute to increased incidences of pedestalled plants. -
Bare ground from Ecological Site Description or other studies (rock, litter, lichen, moss, plant canopy are not bare ground):
Bare ground is typically 15 percent or less. Bare patches should be disconnected and less than 12 inches (30 cm) across. Multi-year drought and/or wildfire can increase bare ground to 25 percent for up to two years following the disturbance.
Bare ground is exposed mineral soil that is not covered by vegetation (basal and/or foliar canopy), standing dead vegetation, gravel/rock, and visible biological crust (e.g., lichen, mosses, algae). -
Number of gullies and erosion associated with gullies:
None. Gullies are not expected on this site. -
Extent of wind scoured, blowouts and/or depositional areas:
Occasional small blowouts may occur immediately adjacent to areas receiving repeated disturbance, such as increased animal activity (e.g. rodent burrow, animal trailing). Wind-scoured areas are typically less than 10 feet (3 meters) wide and comprise less than 5 percent of acres of the site. -
Amount of litter movement (describe size and distance expected to travel):
Litter should fall into place. Fine litter movement should be less than 12 inches (30 cm). Coarse litter is not expected to move. -
Soil surface (top few mm) resistance to erosion (stability values are averages - most sites will show a range of values):
This site has low organic matter in the surface horizon and the structure is single grain sand. Soil stability will be difficult to measure on these soils. Soil stability ratings of less than 2 are expected.
Surface erosion by water rarely occurs due to rapid infiltration, but surface is susceptible to wind erosion when vegetative cover is reduced due to multi-year drought, wildfire, or multi-year heavy grazing. Biological crusts may be present (up to 10 percent of the surface) and serve to provide resistance to erosion. -
Soil surface structure and SOM content (include type of structure and A-horizon color and thickness):
The A-horizon is usually 1 inch or less thick. Soils have little organic matter in the A-horizon. Soil colors are light brownish gray when dry and dark brown when moist (values of 4 to 6, dry and 3 to 5, moist). Structure is single grained in the upper A-horizon and weak medium granular in the lower A-horizon.
Valentine is the only soil series correlated to this ecological site. -
Effect of community phase composition (relative proportion of different functional groups) and spatial distribution on infiltration and runoff:
The functional/structural groups provide a combination of rooting depths and structure which positively influences infiltration. Combination of shallow and deep rooted species (mid & tall rhizomatous and tufted perennial cool season grasses) with fine and coarse roots positively influences infiltration. oody encroachment may negatively influence infiltration.
The expected composition of the plant community is 80 to 90 percent perennial grasses and grass-likes, 5 to 10 percent forbs, and 5 to 10 percent shrubs. The perennial grass and grass-like component is made up of native, perennial, C4, tallgrasses (45-65%); C4, midgrasses (20-35%), C3, bunchgrasses (10-20%); C4, shortgrasses (1-5%); and grass-likes (0-5%). -
Presence and thickness of compaction layer (usually none; describe soil profile features which may be mistaken for compaction on this site):
None. A compaction layer should not be present. -
Functional/Structural Groups (list in order of descending dominance by above-ground annual-production or live foliar cover using symbols: >>, >, = to indicate much greater than, greater than, and equal to):
Dominant:
Phase 1.1
1. Native, perennial, C4, tallgrass, 1080-1560 #/ac, 45-65% (4 species minimum): blowout grass, Indiangrass, prairie sandreed, switchgrass, sand bluestem.
2. Native, perennial, C4, midgrass, 480-840 #/ac, 20-35% (2 species minimum): little bluestem, sand dropseed, sand lovegrass.
Phase 1.2
1. Native, perennial, C4, tallgrass, 560-880 #/ac, 35-55% (2 species minimum): blowout grass, Indiangrass, prairie sandreed, switchgrass, sand bluestem.
2. Native, perennial, C4, midgrass, 320-560 #/ac, 20-35% (2 species minimum): little bluestem, sand dropseed, sand lovegrass.
Phase 1.3
1. Native, perennial, C4, tallgrass, 180-420 #/ac, 30-70% (2 species minimum): sand bluestem, blowout grass, prairie sandreed.
2. Shrub, 120-300 #/ac, 20-50% (1 species minimum): soapweed yucca, rose, and other shrubs that vary from location to location.
3. Native, perennial, C4, shortgrass, 32-240 #/ac, 2-40% (1 species minimum): blue grama, hairy grama, sandhill muhly.Sub-dominant:
Phase 1.1
1. Native, perennial, C3 bunchgrass, 240-480 #/ac, 10-20% (1 species minimum): fall rosette grass, needle and thread, porcupinegrass, prairie Junegrass, Scribner’s rosette grass.
Phase 1.2
1. Native, perennial, C3 bunchgrass, 32-240 #/ac, 2-15% (1 species minimum): fall rosette grass, needle and thread, porcupinegrass, prairie Junegrass, Scribner's rosette grass.Other:
Minor - Phase 1.1
1. Native forb, 120-240 #/ac, 5-10%: forbs vary from location to location.
2. Shrub, 24-240 #/ac, 1-10%: shrubs vary from location to location.
3. Native, perennial, C4, shortgrass, 24-120 #/ac, 1-5%: blue grama, hairy grama, sandhill muhly, thin paspalum.
4. Grass-like, 0-120 #/ac, 0-5%: sedges
Minor - Phase 1.2
1. Native forbs, 80-160#/ac, 5-10%: forbs vary from location to location.
2. Native, perennial, C4 shortgrass, 32-160 #/ac, 2-10%: blue grama, hairy grama, sandhill muhly, thin paspalum.
3. Shrub, 16-160 #/ac, 1-10%: shrubs vary from location to location.
Minor - Phase 1.3
1. Native forb, 6-60 #/ac, 1-10%: forbs vary from location to location.
2. Native, perennial, C4 midgrass, 0-30 #/ac, 0-5%: little bluestem, sand dropseed.
3. Non-native, C3 grass, 0-30 #/ac, 0-5%: cheatgrass.
Trace- Phase 1.2
1. Grass-like, 0-32 #/ac, 0-2%: sedges.
2. Non-native, C3 grass, 0-16 #/ac, 0-1%: cheatgrass.Additional:
The Reference Community (1.1) includes seven F/S groups which are, in order of relative abundance, native, perennial, C4 tallgrass; native, perennial, C4 midgrass, native, perennial, C3 bunchgrass; native forb; shrub; native, perennial, C4 shortgrass; grass-like.
The Degraded Native Grass Community (1.2) includes eight F/S groups which include native, perennial, C4 tallgrass; native, perennial, C4 midgrass, native, perennial, C3 bunchgrass; native forb; native, perennial, C4 shortgrass; shrub; grass-likes; and non-native C3 grass.
The At-Risk Community (1.3) includes six F/S groups which include native, perennial, C4 tallgrass; native, perennial, C4, shortgrass; shrub; native forb; native, perennial, C4 midgrass = non-native, C3 grass. -
Amount of plant mortality and decadence (include which functional groups are expected to show mortality or decadence):
Bunch grasses have strong, healthy centers with few (less than 3 percent) dead centers. Shrubs may show some dead branches (less than 5 percent) as plants age. -
Average percent litter cover (%) and depth ( in):
Plant litter cover is evenly distributed throughout the site and is expected to be 40 to 50 percent and at a depth of 0.25 inch (0.65 cm). Litter cover during and following drought can range from 30 to 40 percent. -
Expected annual annual-production (this is TOTAL above-ground annual-production, not just forage annual-production):
The representative value (RV) for annual production is 2,400 pounds per acre on an air dry weight basis. Low and High production years should yield 1,800 and 3,000 pounds per acre respectively. -
Potential invasive (including noxious) species (native and non-native). List species which BOTH characterize degraded states and have the potential to become a dominant or co-dominant species on the ecological site if their future establishment and growth is not actively controlled by management interventions. Species that become dominant for only one to several years (e.g., short-term response to drought or wildfire) are not invasive plants. Note that unlike other indicators, we are describing what is NOT expected in the reference state for the ecological site:
No non-native invasive species are present. Annual bromes (cheatgrass and Japanese/field brome) and eastern redcedar are known invasives that have the potential to become dominant or co-dominant on this site. Consult the state noxious weed and state watch lists for potential invasive species.
Note: species that become dominant for only one to several years (e.g., short-term response to drought or wildfire) are not invasive plants. -
Perennial plant reproductive capability:
All perennial species exhibit high vigor relative to recent weather conditions. Perennial grasses should have vigorous rhizomes or tillers; vegetative and reproductive structures are not stunted. All perennial species should be capable of reproducing annually.
Print Options
Sections
Font
Other
The Ecosystem Dynamics Interpretive Tool is an information system framework developed by the USDA-ARS Jornada Experimental Range, USDA Natural Resources Conservation Service, and New Mexico State University.
Click on box and path labels to scroll to the respective text.
Ecosystem states
T1A | - | Multiple disturbances including heavy, concentrated grazing, prolonged drought, wildfire. |
---|---|---|
T1B | - | Woody encroachment with no fire or brush management. |
R2A | - | Long-term (>10 years) prescribed grazing with adequate growing season recovery periods. |
R3A | - | Prescribed fire, wildfire, timber harvest, brush management. |
State 1 submodel, plant communities
1.1A | - | Continuous, season-long, continuous seasonal, or rotational grazing with inadequate growing season recovery periods. |
---|---|---|
1.2A | - | Prescribed grazing with adequate growing season recovery periods. |
1.2B | - | Repeated heavy grazing with inadequate growing season recovery periods. |
1.3A | - | Prescribed grazing with adequate growing season recovery periods. |
State 2 submodel, plant communities
2.1A | - | Continuous season-long, continuous seasonal, or rotational grazing with inadequate growing season recovery periods. |
---|---|---|
2.2A | - | Prescribed grazing with concentrated, short-term animal impact. |