

Natural Resources
Conservation Service
Ecological site R066XY032NE
Sandy 18-22" P.Z.
Last updated: 11/18/2024
Accessed: 10/18/2025
General information
Approved. An approved ecological site description has undergone quality control and quality assurance review. It contains a working state and transition model, enough information to identify the ecological site, and full documentation for all ecosystem states contained in the state and transition model.

Figure 1. Mapped extent
Areas shown in blue indicate the maximum mapped extent of this ecological site. Other ecological sites likely occur within the highlighted areas. It is also possible for this ecological site to occur outside of highlighted areas if detailed soil survey has not been completed or recently updated.
MLRA notes
Major Land Resource Area (MLRA): 066X–Dakota-Nebraska Eroded Tableland
The Dakota-Nebraska Eroded Tableland (MLRA 66) occurs in north-central Nebraska (56 percent) and south-central South Dakota (44 percent). MLRA 66 is approximately 3.6 million acres and covers all or parts of twelve counties between the two states. The northern border of the MRLA bisects Tripp County, South Dakota, just south of the town of Winner. Valentine is in the northeastern corner of Cherry County, Nebraska and is located on the MLRA’s southwestern border. From there, the MLRA stretches southeast to the northwestern corner of Antelope County, Nebraska and the town of O’Neil, Nebraska in Holt County its southeastern border.
The MLRA occupies a smooth fluvial plain primarily consisting of broad intervalley areas with terraces, river breaks, and local badlands along the well-defined major drainages. The slopes range from nearly level tablelands to steep ridges and drainages. The elevation ranges from 1,970 to 2,950 feet. The Keya Paha, Elkhorn, and the Niobrara Rivers flow through the MLRA. The Niobrara is a designated National Scenic River.
Layers of shaly chalk and limestone marine sediments overlaying the Cretaceous Niobrara Formation make up the bulk of the MLRA, though the western and southwestern portions exhibit surface eolian deposits. The floors of the major drainages are underlain by deposits of alluvial sand and gravel. The dominant soil orders in this MLRA are mesic, ustic or aridic Mollisols and Entisols. Loamy and sandy are the primary soil textures in this landscape.
Twenty-seven percent of the land in this MLRA has been broken out of native prairie and farmed, while 66 percent of the grasslands remain intact. The remaining acres are divided between forest, urban development, and other uses. Livestock grazing, primarily by cattle, is a major industry. Corn, winter wheat, and grain sorghum are the primary commodity crops but a significant number of acres are planted to forage sorghum and alfalfa for harvest as hay. With limited irrigation available, and annual precipitation averaging from 18 inches in the west to 25 inches in the east, crop production is marginal across most of the MLRA.
The historical matrix vegetation type is mixed-grass prairie. Bluestems, prairie sandreed, sideoats grama, and blue grama make up the bulk of the warm-season species. Western wheatgrass, green needlegrass, and needle and thread are the dominant cool-season grasses. Large- and small-patch vegetative communities are found primarily along the riparian zones, on lowland sites, and in closed depressions. Woodlands make up about 3 percent of MLRA 66 and consist primarily of green ash, bur oak, and hackberry. Ponderosa pines can be found on steeper sites in the western portion of the landscape.
Wildlife flourishes in this combination of crop and grassland environments. In a landscape historically occupied by bison herds, white-tailed and mule deer are now the most abundant wild ungulates. Pronghorns also number among the remaining native grazers. A variety of smaller species, including coyote, raccoon, opossum, porcupines, muskrat, beaver, squirrel, prairie dogs, and mink, thrive in the region. Grassland birds, including several upland game birds, are common across the MLRA.
This landscape serves as a backdrop for a disturbance-driven ecosystem, evolving under the influences of herbivory, fire, and variable climate. Historically, these processes created a heterogeneous mosaic of plant communities and structure heights across the region. Any given site in this landscape burned every six to ten years, with most of the MLRA experiencing a six to eight year fire regime. The fires were caused by lightning strikes and were also set by Native Americans, who used fire for warfare, signaling, and to refresh the native grasses. Indigenous inhabitants understood the value of fire as a tool, and that the highly palatable growth following a fire provided excellent forage for their horses and attracted grazing game animals such as bison and elk.
Land use patterns by post-European settlers have greatly altered the historical fire regime, allowing the expansion of woody species. Fragmentation of the native grasslands by conversion to cropland, transportation corridors, and other developments has contributed to disruption of the natural fire regime of this ecosystem. The most common encroaching woody species is eastern redcedar. While eastern redcedar is native to the landscape, the historic population in MLRA 66 was limited to isolated pockets in rugged river drainageways that were protected from wildfire. Widespread plantings of windbreaks with eastern redcedar as a primary component provide a seed source for the aggressive woody plant which further facilitates woody encroachment. Encroachment of native and introduced shrubs and trees into the native grasslands degrades wildlife habit and causes significant forage loss for domestic livestock. Aggressive fire suppression policies have exacerbated this process to the point that shrub and tree encroachment is a major ecological threat to grasslands throughout most of the MLRA.
Classification relationships
►EPA◄
Level IV Ecoregions of the Conterminous United States
43—Northwestern Great Plains:
43i—Keya Paha Tablelands.
►USDA◄
Land Resource Regions and Major Land Resource Areas (USDA-NRCS, 2006)
Land Resource Region: G—Western Great Plains Range and Irrigated Region:
Major Land Resource Area (MLRA): 66 Dakota-Nebraska Eroded Tableland.
Ecological site concept
There is a significant decline in precipitation from east to west across MLRA 66 which impacts plant community composition and annual production. For the purpose of ecological site development, the Sandy site is divided into two ecological sites to address this precipitation gradient and its impacts to the site. The Sandy 18-22" precipitation zone (PZ) typically occurs west of a line that extends from Johnstown, Nebraska to Witten, South Dakota.
The Sandy 18-22" PZ ecological site occurs on upland landscapes and does not receive additional moisture from run-off or overflow. The site can occupy either dune or interdune positions. When located on dunes, slopes range from 3 to 30 percent. When located on interdunes, slopes are less than 3 percent. The soils are moderately deep to very deep and formed in eolian deposits and residuum. The surface layer is at least 7 inches thick and surface textures are typically fine sandy loam and loamy fine sand while the texture of the subsurface layer ranges from sand to very fine sandy loam.
The historical native vegetation is Mixed Grass Prairie. Vegetation in the Reference Plant Community (1.1) consists of a mixture of warm-season tall- and midgrasses and cool-season grasses. Dominant grasses sand bluestem, prairie sandreed, little bluestem, and needle and thread. The plant community includes a diverse population of forbs and shrubs typically found include leadplant, rose, and pricklypears. The site is susceptible to invasion of non-native, cool-season grasses, especially Kentucky bluegrass and smooth brome.
Associated sites
R066XY033NE |
Sands 18-22" P.Z. The Sands 18-22 PZ ecological site is often found adjacent to but typically on a higher landscape position than the Sandy 18-22 PZ ecological site. |
---|---|
R066XY046NE |
Subirrigated The Subirrigated ecological site is often found adjacent to but downslope from the Sandy 18-22 PZ ecological site. |
R066XY051NE |
Sandy Lowland The Sandy Lowland site is often found adjacent to but on a lower landscape position from the Sandy 18-22 PZ ecological site. |
R066XY053NE |
Interdunal Lowland The Interdunal Lowland site often found adjacent to but on a lower landscape position than the Sandy 18-22 PZ ecological site. |
Similar sites
R066XY033NE |
Sands 18-22" P.Z. The Sands 18-22 PZ ecological site typically has surface textures coarser than the Sandy 18-22 PZ ecological site. The surface layer on Sandy 18-22 PZ sites is thicker than 7 inches while the surface layer on Sands 18-22 PZ sites is 7 inches or less. |
---|

Figure 2. Block diagram for of the Sandy 18-22” P.Z. ecological site in MLRA 66.
Table 1. Dominant plant species
Tree |
Not specified |
---|---|
Shrub |
(1) Amorpha canescens |
Herbaceous |
(1) Andropogon hallii |
Physiographic features
The Sandy 18-22" PZ ecological site is typically located on sandsheets, swales and plains and can occupy either dunes or interdunes positions.
Table 2. Representative physiographic features
Landforms |
(1)
Sand sheet
(2) Swale (3) Plain |
---|---|
Runoff class | Very low to medium |
Flooding frequency | None |
Ponding frequency | None |
Elevation | 1,900 – 3,280 ft |
Slope | 30% |
Water table depth | 80 in |
Aspect | Aspect is not a significant factor |
Climatic features
MLRA 66 has a continental climate with cold winters, hot summers, low humidity, light rainfall, and ample sunshine. Extremes in temperature are common. The climate results from MLRA 66 being near the geographic center of North America. There are few natural barriers on the Northern Great Plains. The winds move freely across the plains and account for rapid changes in temperature.
Average annual precipitation ranges from 20 to 25 inches per year. The normal average annual temperature is about 48°F. January is the coldest month with average temperatures ranging from about 19 °F (Bonesteel, SD) to about 23 °F (Ainsworth, NE). July is the warmest month with temperatures averaging from about 73 °F (Harrington, SD) to about 75°F (Gregory, SD). The range of normal average monthly temperatures between the coldest and warmest months is about 54 °F. This large annual range attests to the continental nature of the climate this area. Winds speed averages about 10 miles per hour annually, ranging from about 11 miles per hour during the spring to about 9 miles per hour during the summer. The wind is generally stronger during the day than at night. Occasionally, strong storms bring brief periods of high winds with gusts of more than 50 miles per hour.
Growth of native cool-season plants begins mid to late March and continues to late June. Growth of native warm-season plants begins in early May and continues to late August. Green-up of cool-season plants may occur in September and October if adequate soil moisture is present.
Table 3. Representative climatic features
Frost-free period (characteristic range) | 106-114 days |
---|---|
Freeze-free period (characteristic range) | 127-135 days |
Precipitation total (characteristic range) | 20-21 in |
Frost-free period (actual range) | 93-117 days |
Freeze-free period (actual range) | 119-137 days |
Precipitation total (actual range) | 20-21 in |
Frost-free period (average) | 108 days |
Freeze-free period (average) | 129 days |
Precipitation total (average) | 21 in |
Figure 3. Monthly precipitation range
Figure 4. Monthly minimum temperature range
Figure 5. Monthly maximum temperature range
Figure 6. Monthly average minimum and maximum temperature
Figure 7. Annual precipitation pattern
Figure 8. Annual average temperature pattern
Climate stations used
-
(1) AINSWORTH [USC00250050], Ainsworth, NE
-
(2) SPRINGVIEW [USC00258090], Springview, NE
-
(3) VALENTINE MILLER FLD [USW00024032], Valentine, NE
-
(4) MISSION 14 S [USC00395638], Mission, SD
-
(5) MISSION [USC00395620], Mission, SD
-
(6) HARRINGTON [USC00393574], Tuthill, SD
Influencing water features
No significant water features influence this soil.
Soil features
The Sandy 18-22" PZ ecological site occurs on moderately deep to deep and well drained to somewhat excessively drained soils formed in eolian deposits or residuum. Soils typically have a dark colored surface horizon which is 7 to 20 inches thick; this mollic epipedon can extend into the B horizon. Slopes range from 0 to 30 percent. Soil surface textures are typically fine sandy loam or loamy fine sand. Permeability typically ranges from moderate to moderately rapid.
This site should show slight to no evidence of rills, wind scoured areas or pedestalled plants. Water flow paths are broken, irregular in appearance or discontinuous with numerous debris dams or vegetative barriers. The soil surface is stable and intact. Sub-surface soil layers are not restrictive to water movement and root penetration. These soils are susceptible to wind erosion and water erosion is also a concern on slopes exceeding 10 percent.
The primary soil series correlated to this site are Anselmo and Holt. Other soils correlated to this site include Doger, Duda, Dunday, Hennings, Sandose, Valentine, and Vetal. Additional information can be found in the various soil survey reports. Contact the local USDA Service Center for soil survey reports that include more details specific to your location or visit Web Soil Survey (https://websoilsurvey.sc.egov.usda.gov).

Figure 9. A profile of a soil in the Anselmo series.
Table 4. Representative soil features
Parent material |
(1)
Eolian deposits
(2) Residuum |
---|---|
Surface texture |
(1) Fine sandy loam (2) Loamy fine sand (3) Fine sand |
Drainage class | Well drained to somewhat excessively drained |
Permeability class | Moderately rapid to rapid |
Depth to restrictive layer | 80 in |
Soil depth | 20 – 80 in |
Surface fragment cover <=3" | Not specified |
Surface fragment cover >3" | Not specified |
Available water capacity (Depth not specified) |
2.1 – 5.4 in |
Calcium carbonate equivalent (Depth not specified) |
3% |
Electrical conductivity (Depth not specified) |
2 mmhos/cm |
Sodium adsorption ratio (Depth not specified) |
5 |
Soil reaction (1:1 water) (Depth not specified) |
5.6 – 8.4 |
Subsurface fragment volume <=3" (Depth not specified) |
2% |
Subsurface fragment volume >3" (Depth not specified) |
Not specified |
Ecological dynamics
The Sandy 18-22” P.Z. ecological site developed under Northern Great Plains climatic conditions, grazing by bison and other large herbivores, sporadic natural or human-caused wildfire, and other biotic and abiotic factors that typically influence soil and site development. This continues to be a disturbance-driven site: by herbivory, fire, and variable climate. Changes occur in the plant communities due to short-term weather variations, impacts of native and/or exotic plant and animal species, and management actions. The site is resilient and well adapted to the Northern Great Plains climatic conditions. The diversity in plant species allows for high resistance to drought.
The introduction of domestic livestock by European settlers along with season-long, continuous grazing had a profound impact on the vegetation of the Sandy ecological site. Season-long, continuous grazing causes a repeated removal of the growing point and excessive defoliation of the leaf area of individual warm-season tallgrasses. The resulting reduction in the ability of the plants to harvest sunlight depletes root reserves, subsequently decreasing root mass. The ability of the plants to compete for nutrients is impaired, resulting in decreased vigor and eventual mortality. Species that evade negative grazing impacts through mechanisms such as a growing season adaptation (i.e., cool-season), growing points located near the soil surface, a shorter structure, or reduced palatability will increase. As this site deteriorates, sand and big bluestem, switchgrass, and Indiangrass will decrease in frequency and production. As this management continues, prairie sandreed and little bluestem will also decrease.
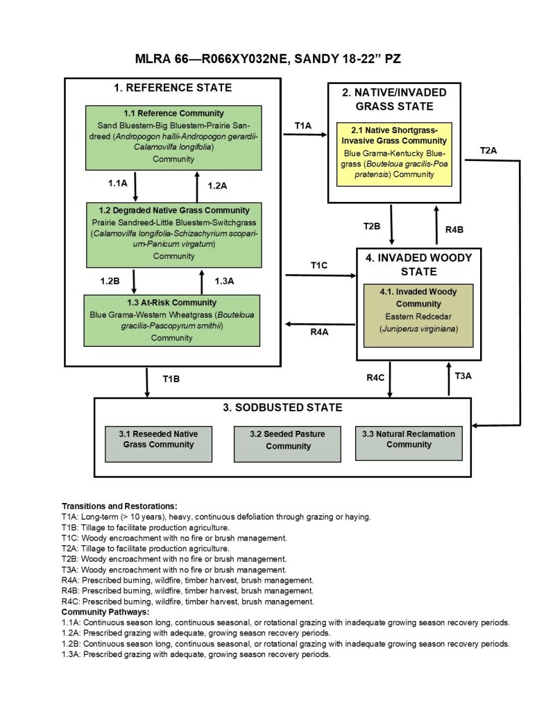
The State and Transition Model (STM) is depicted below and includes a Reference State (1), a Native/Invaded Grass State (2), a Sodbusted State (3), and an Invaded Woody State (4). Each state represents the crossing of a major ecological threshold due to the alteration of the functional dynamic properties of the ecosystem. The primary properties observed to determine this change are soil stability, vegetative communities, and the hydrologic cycle. Each state may have one or more plant communities that fluctuate in species composition and abundance within the normal parameters of the state. Within each state, communities may degrade or recover in response to natural and man caused disturbances such as variation in the degree and timing of herbivory, presence or absence of fire, and climatic and local fluctuations in the precipitation regime. The processes that cause the movement between the states and communities are discussed in more detail in the state and community description following the diagram.
Interpretations are primarily based on the Reference Community (1.1). It has been determined by study of rangeland relic areas, areas protected from excessive disturbance, and areas under long-term rotational grazing regimes. Trends in plant community dynamics ranging from heavily grazed to lightly grazed areas, seasonal use pastures, and historical accounts have been used as well. Plant communities, states, transitional pathways, and thresholds have been determined through similar studies and experience.
State and transition model

Figure 10. State and Transition Model Diagram, MLRA 66, Sandy 18-22 PZ ecological site.
More interactive model formats are also available.
View Interactive Models
More interactive model formats are also available.
View Interactive Models
Click on state and transition labels to scroll to the respective text
Ecosystem states
T1A | - | Long-term (>10 years), heavy, continuous defoliation through grazing or haying. |
---|---|---|
T1B | - | Tillage to facilitate production agriculture. |
T1C | - | Woody encroachment with no fire or brush management. |
T2A | - | Tillage to facilitate production agriculture. |
T2B | - | Woody encroachment with no fire or brush management. |
T3A | - | Woody encroachment with no fire or brush management. |
R4A | - | Prescribed burning, wildfire, timber harvest, brush management. |
R4B | - | Prescribed burning, wildfire, timber harvest, brush management. |
R4C | - | Prescribed burning, wildfire, timber harvest, brush management. |
State 1 submodel, plant communities
1.1A | - | Continuous season long, continuous seasonal, or rotational grazing with inadequate growing season recovery periods. |
---|---|---|
1.2A | - | Prescribed grazing with adequate growing season recovery periods. |
1.2B | - | Continuous season long, continuous seasonal, or rotational grazing with inadequate growing season recovery periods. Annual haying. |
1.3A | - | Prescribed grazing with adequate growing season recovery periods. |
State 2 submodel, plant communities
State 3 submodel, plant communities
State 4 submodel, plant communities
State 1
Reference State
The Reference State (1) describes the range of vegetative communities that occur on the Sandy 18-22" PZ ecological site where the range of natural variability under historic conditions and disturbance regimes is mostly intact. The Reference State developed under the combined influences of climatic conditions, periodic fire activity, grazing by large herbivores, and impacts from small mammals and insects. High perennial grass cover and production allows for increased soil moisture retention, vegetative production and overall soil quality. The Reference State includes the Reference Community (1.1), the Degraded Native Grass Community (1.2), and the At-Risk Community (1.3). The Reference Community (1.1) serves as a description of the native plant community that naturally occurs on the site when the natural disturbance regimes are intact or closely mimicked by management practices. The Degraded Native Grass and At-Risk Communities results from management actions that are unfavorable for a healthy Reference Community. In the absence of fire, all community phases are susceptible to eastern redcedar invasion and subject to crossing a threshold into the Invaded Woody State (4).
Dominant plant species
-
sand bluestem (Andropogon hallii), grass
-
prairie sandreed (Calamovilfa longifolia), grass
-
little bluestem (Schizachyrium scoparium), grass
-
big bluestem (Andropogon gerardii), grass
-
switchgrass (Panicum virgatum), grass
-
needle and thread (Hesperostipa comata ssp. comata), grass
-
blue grama (Bouteloua gracilis), grass
Community 1.1
Reference Community
Interpretations are primarily based on Reference or the Sand Bluestem-Big Bluestem-Prairie Sandreed (Andropogon hallii-Andropogon gerardii-Calamovilfa longifolia) Community (1.1). This plant community serves as a description of the native plant community that occurs on the site when the natural disturbance regimes are intact or are closely mimicked by management practices. This phase is dynamic, with fluid relative abundance and spatial boundaries between the dominant structural vegetative groups. These fluctuations are primarily driven by different responses of the species to changes in precipitation timing and abundance, and to fire and grazing events. This site developed with grazing by large herbivores and is well suited for grazing by domestic livestock. This plant community is dominated by warm-season, tall- and midgrasses. The dominant grasses are sand bluestem, big bluestem, prairie sandreed, and little bluestem. Grasses of secondary importance include needle and thread, prairie Junegrass, and western wheatgrass. Blue grama, hairy grama, and sedge species are present as an understory. Forbs are common and diverse while shrubs are not abundant. The potential vegetation ranges from 80 to 85 percent grasses or grass-like plants, 5 to 10 percent forbs, and 5 to 10 percent shrubs by weight. Natural fire played a significant role in the succession of this site by preventing the establishment of eastern redcedar on the site. Wildfires have been actively controlled in recent times, allowing eastern redcedar encroachment. This plant community can be found on areas that are managed with prescribed grazing, prescribed burning, and may be found on areas receiving occasional periods of short-term rest. Management strategies to sustain this community include proper stocking rates, adequate growing season recovery times, monitoring key forage species, and late-spring prescribed fire every 6 to 8 years (R. P. Guyette and others, 2012). This resilient community is well adapted to the Northern Great Plains climatic conditions. Plant diversity promotes strong tolerance to drought, site and soil stability, a functional hydrologic cycle, and a high degree of biotic integrity. These factors create a suitable environment for a healthy and sustainable plant community.
Dominant plant species
-
prairie sandreed (Calamovilfa longifolia), grass
-
sand bluestem (Andropogon hallii), grass
-
big bluestem (Andropogon gerardii), grass
-
little bluestem (Schizachyrium scoparium), grass
-
needle and thread (Hesperostipa comata ssp. comata), grass
-
western wheatgrass (Pascopyrum smithii), grass
Figure 11. Annual production by plant type (representative values) or group (midpoint values)
Table 5. Annual production by plant type
Plant type | Low (lb/acre) |
Representative value (lb/acre) |
High (lb/acre) |
---|---|---|---|
Grass/Grasslike | 1665 | 2148 | 2625 |
Forb | 115 | 180 | 250 |
Shrub/Vine | 20 | 72 | 125 |
Total | 1800 | 2400 | 3000 |
Figure 12. Plant community growth curve (percent production by month). NE6637, Eroded Tableland, warm-season dominant, cool-season subdominant.
Jan | Feb | Mar | Apr | May | Jun | Jul | Aug | Sep | Oct | Nov | Dec |
---|---|---|---|---|---|---|---|---|---|---|---|
J | F | M | A | M | J | J | A | S | O | N | D |
5 | 8 | 15 | 24 | 23 | 15 | 5 | 5 |
Community 1.2
Degraded Native Grass Community
The Degraded Native Grass or Prairie Sandreed-Little Bluestem-Switchgrass (Calamovilfa longifolia-Schizachyrium scoparium-Panicum virgatum) Community (1.2) develops under grazing by domestic livestock with continuous, season-long grazing, continuous seasonal grazing, or rotational grazing with inadequate growing-season recovery periods. It also develops under repetitive haying with inadequate growing season recovery or annual haying during the same plant growth stage. As compared to the Reference Community (1.1) there is a reduction in the most palatable plants, especially big bluestem and sand bluestem while there is an increase in little bluestem and prairie sandreed. Warm-season grasses, primarily little bluestem and prairie sandreed, still dominate the plant community. Switchgrass, needle and thread, porcupinegrass, and sand bluestem are common in this plant community. The composition of the forb component remains diverse and shrubs such as rose and leadplant show a moderate increase in abundance. While slightly less productive and diverse than the Reference Community, root systems are still healthy allowing production to increase with favorable precipitation. This plant community is drought resistant due to its mid- and tallgrass diversity. This plant community has slightly less litter than the Reference Community (1.1). This plant community is somewhat resistant to change; however, either improved management or increased disturbance can move the plant community to either the Reference Community or the At-Risk Community (1.3). The resiliency of this plant community depends upon the type of management system implemented and the intensity and duration of disturbances.
Dominant plant species
-
prairie sandreed (Calamovilfa longifolia), grass
-
little bluestem (Schizachyrium scoparium), grass
-
switchgrass (Panicum virgatum), grass
-
needle and thread (Hesperostipa comata ssp. comata), grass
-
blue grama (Bouteloua gracilis), grass
Figure 13. Annual production by plant type (representative values) or group (midpoint values)
Table 6. Annual production by plant type
Plant type | Low (lb/acre) |
Representative value (lb/acre) |
High (lb/acre) |
---|---|---|---|
Grass/Grasslike | 1290 | 1720 | 2145 |
Forb | 95 | 150 | 205 |
Shrub/Vine | 15 | 110 | 205 |
Tree | 0 | 20 | 45 |
Total | 1400 | 2000 | 2600 |
Figure 14. Plant community growth curve (percent production by month). NE6637, Eroded Tableland, warm-season dominant, cool-season subdominant.
Jan | Feb | Mar | Apr | May | Jun | Jul | Aug | Sep | Oct | Nov | Dec |
---|---|---|---|---|---|---|---|---|---|---|---|
J | F | M | A | M | J | J | A | S | O | N | D |
5 | 8 | 15 | 24 | 23 | 15 | 5 | 5 |
Community 1.3
At-Risk Community

Figure 15. Sandy 18-22" PZ Ecological Site, At-Risk Community (1.3), MLRA 66.
The At-Risk or Blue Grama-Western Wheatgrass (Bouteloua gracilis-Pascopyrum smithii) Community (1.3) occurs when heavy grazing is combined with continued seasonal grazing, continuous season-long grazing, or rotational grazing with inadequate growing season recovery time. The tallgrass population is reduced compared to other communities of the Reference State (1) due to continued defoliation of warm-season tall- and midgrasses during their critical growth periods. Blue grama and western wheatgrass have significantly increased in abundance. Sand bluestem, big bluestem, prairie sandreed, switchgrass, and Indiangrass are present but in significantly reduced amounts as compared to the Reference Community (1.1). Dominant grasses include blue grama, western wheatgrass, Scribner's rosette grass, and sand dropseed. Grasses or grass-like plants of secondary importance include prairie sandreed, needle and thread, and sedges. Blue grama has increased due to its ability to withstand heavy grazing. Less palatable forbs, including field sagewort, annual sunflower, white sagebrush, and Cuman ragweed are abundant and may appear to dominate the site. Rose, leadplant, and western sandcherry diminish in extent as small soapweed, pricklypear, and other less palatable shrubs increase. The potential vegetation ranges from 80 to 90 percent grasses or grass-like plants, 5 to 15 percent forbs, 5 to 15 percent shrubs, and 0 to 5 percent trees by weight. With continuation of this management, the warm-season tall- and midgrasses and cool-season bunch grasses will be further reduced while warm-season shortgrasses increase causing the community to be at risk of crossing an ecological threshold and transitioning to the Native/Invaded Grass State (2).
Dominant plant species
-
blue grama (Bouteloua gracilis), grass
-
sand dropseed (Sporobolus cryptandrus), grass
-
needle and thread (Hesperostipa comata), grass
-
western wheatgrass (Pascopyrum smithii), grass
Figure 16. Annual production by plant type (representative values) or group (midpoint values)
Table 7. Annual production by plant type
Plant type | Low (lb/acre) |
Representative value (lb/acre) |
High (lb/acre) |
---|---|---|---|
Grass/Grasslike | 1025 | 1204 | 1380 |
Forb | 65 | 105 | 145 |
Shrub/Vine | 10 | 77 | 145 |
Tree | 0 | 14 | 30 |
Total | 1100 | 1400 | 1700 |
Figure 17. Plant community growth curve (percent production by month). NE6636, Eroded Tableland, cool-season/warm-season codominant.
Jan | Feb | Mar | Apr | May | Jun | Jul | Aug | Sep | Oct | Nov | Dec |
---|---|---|---|---|---|---|---|---|---|---|---|
J | F | M | A | M | J | J | A | S | O | N | D |
5 | 10 | 20 | 25 | 20 | 10 | 5 | 5 |
Pathway 1.1A
Community 1.1 to 1.2
Reference Community (1.1) shifts to the Degraded Native Grass Community. (1.2) in response to continuous season long, continuous seasonal, or rotational grazing with inadequate growing season recovery periods. This shift can also occur with annual haying.
Pathway 1.2A
Community 1.2 to 1.1
The Degraded Native Grass Community. (1.2) can return to the Reference Community (1.1) with the implementation of prescribed grazing incorporating proper stocking rates, adequate growing season recovery periods, and timing that favors big bluestem, sand bluestem, and prairie sandreed. Prescribed fire in late spring every 6 to 8 years may accelerate this recovery (R. P. Guyette and others, 2012). When the land is utilized as hayland, haying every other year will facilitate the return to the Reference Community.
Pathway 1.2B
Community 1.2 to 1.3
Continuation of grazing management that includes continuous, season long grazing, continuous seasonal grazing, or rotational grazing with inadequate growing season recovery time will move the Degraded Native Grass Community (1.2) to the At-Risk Community (1.3). Continued annual haying will also cause this shift.
Pathway 1.3A
Community 1.3 to 1.2
At-Risk Community (1.3) can return to the Degraded Native Grass Community (1.2) with implementation of prescribed grazing with adequate growing season recovery periods. Grazing in the spring or fall with deferment during the rapid growth period of warm-season tallgrasses will accelerate this change in plant community. When the land is utilized as hayland, haying every other year will facilitate the return to the Degraded Native Grass Community.
State 2
Native/Invaded Grass State
The Native/Invaded Grass State (2) has transitioned from the Reference State (1) and much of the native warm-season tall- and midgrass community has been replaced by warm-season shortgrasses or non-native cool-season grasses. This State develops with continuous season-long grazing or heavy rotational grazing with inadequate growing season recovery periods. It can also develop with extended periods (more than ten years) of non-use with no fire. The loss of warm-season tall- and midgrasses has negatively impacted energy flow and nutrient cycling. Water infiltration is reduced due to the shallow root system and rapid runoff characteristics of the grazing-evasive plant communities. The Native/Invaded Grass State includes the Shortgrass Sod/Invasive Grass (2.1) Community.
Dominant plant species
-
blue grama (Bouteloua gracilis), grass
-
Kentucky bluegrass (Poa pratensis), grass
Community 2.1
Native Shortgrass-Invasive Grass Community
The Native Shortgrass/Invaded Grass Community or Blue Grama-Kentucky Bluegrass (Bouteloua gracilis-Poa pratensis) Community (2.1) represents a transition from the Reference State (1) across an ecologic threshold. This community develops under long-term heavy grazing with inadequate growing season recovery periods. It may also develop with rotational grazing when plants have not recovered before pastures are re-entered, in large pastures where animals graze individual plants repeatedly, or under continuous season-long grazing during the growing season. With continued grazing pressure, native shortgrasses and non-native, cool-season invasive grasses become dominant with only trace remnants of the more palatable grasses. This community may be a native, shortgrass community, a community dominated by non-native grass (Kentucky bluegrass), or a community which includes a combination of native and introduced sod-forming grasses. A Kentucky bluegrass dominated community may occur in situations where herbivory and fire are absent. Continuous and heavy grazing pressure will maintain this community in a sod-bound condition. Dominant grasses include blue grama, Scribner's rosette grass, needle and thread, sand dropseed, Kentucky bluegrass, cheatgrass, and field brome. Field sagewort, Cuman ragweed, white sagebrush, Rocky Mountain beeplant, and thistles are common forbs. Invasive forbs, including leafy spurge and Canada thistle, and annual forbs increase in abundance along with grazing resistant shrubs, such as pricklypear and small soapweed. The potential vegetation of this community is 75 to 85 percent grasses and grass-like plants, 10 to 20 percent forbs, 5 to 10 percent shrubs, and 0 to 5 percent trees by weight. This plant community is resistant to change due to a low percentage of bare ground and the density of the shortgrass sod. Under disturbance, this plant community is also highly resilient. Soil erosion is low. Plant diversity is low in terms of individual species and in terms of functional or structural groups and biotic integrity is reduced as compared to the Reference Community (1.1). The hydrologic cycle is impaired by the high density of shallow rooted grasses which decreases infiltration.
Dominant plant species
-
blue grama (Bouteloua gracilis), grass
-
sand dropseed (Sporobolus cryptandrus), grass
-
Kentucky bluegrass (Poa pratensis), grass
Figure 18. Annual production by plant type (representative values) or group (midpoint values)
Table 8. Annual production by plant type
Plant type | Low (lb/acre) |
Representative value (lb/acre) |
High (lb/acre) |
---|---|---|---|
Grass/Grasslike | 555 | 728 | 900 |
Forb | 40 | 113 | 185 |
Shrub/Vine | 5 | 50 | 95 |
Tree | 0 | 9 | 20 |
Total | 600 | 900 | 1200 |
Figure 19. Plant community growth curve (percent production by month). NE6635, Eroded Tableland, cool-season dominant, warm-season subdominant.
Jan | Feb | Mar | Apr | May | Jun | Jul | Aug | Sep | Oct | Nov | Dec |
---|---|---|---|---|---|---|---|---|---|---|---|
J | F | M | A | M | J | J | A | S | O | N | D |
5 | 10 | 25 | 30 | 15 | 5 | 5 | 5 |
State 3
Sodbusted State
The threshold to the Sodbusted State (3) is crossed as a result of mechanical disturbance to facilitate production agriculture. When the land is no longer cropped, the resulting state is the Sodbusted State. When farming operations are suspended, the site can seeded to native grasses and forms resulting in the Reseeded Native Grass Community (3.1), be seeded to a tame pasture forage mixture resulting in the Seeded Pasture Community (3.2), or be abandoned with no seeding which will result in the Natural Reclamation Community (3.3). Permanent alterations of the soil community and the hydrologic cycle make restoration to the Reference (1) or Native/Invaded Grass (2) State extremely difficult, if not impossible. Formation of a compacted plowpan in the soil profile is likely.
Community 3.1
Reseeded Native Grass Community
The Reseeded Native Grass Community (3.1) does not contain native remnants, and varies considerably depending upon the seed mixture, the degree of soil erosion, the age of the stand, fertility management, and past grazing management. Native range and grasslands seeded to native species are ecologically different and should be managed separately. Factors such as functional group, species, stand density, and improved varieties all impact the production level and palatability of the seedings. Species diversity is often limited, and when grazed in conjunction with native rangelands, uneven forage utilization may occur. Total annual production during an average year varies significantly depending upon precipitation, management, and grass species seeded. Prescribed grazing including appropriate utilization levels, adequate growing-season recovery periods, and timing of grazing that favor the productivity, health, and vigor of the seeded species is required to maintain this community. Periodic prescribed burning and brush management may also be needed.
Community 3.2
Seeded Pasture Community
The Seeded Pasture Community (3.2) does not contain native remnants and varies considerably depending upon the extent of soil erosion, the species seeded, the quality of the stand that was established, the age of the stand, and management of the stand since establishment. There are several factors that make seeded tame pasture a different grazing resource than native rangeland and land seeded to a native grass mixture. Factors such as species selected, stand density, improved varieties, and harvest efficiency all impact production levels and palatability. Species diversity on seeded tame pasture is often limited to a few species. When seeded pasture and native rangelands or seeded pasture and seeded rangeland are in the same grazing unit, uneven forage utilization will occur. Improve forage utilization and stand longevity by managing this community separately from native rangelands or land seeded to native grass species. Total annual production during an average year varies significantly depending on the level of management and species seeded. Improved varieties of warm-season or cool-season grasses are recommended for optimum forage production. Fertilization, weed management, and prescribed grazing including appropriate utilization levels, adequate growing-season recovery periods, and timing of grazing that favor the productivity, health, and vigor of the seeded species are required to maintain this community. Periodic prescribed burning and brush management may also be needed.
Community 3.3
Natural Reclamation Community
The Natural Reclamation Community (3.3) consists of annual and perennial weeds and less desirable grasses. These sites have been farmed and abandoned without being reseeded. Soil organic matter and carbon reserves are reduced, soil structure is changed, and a plow pan or compacted layer can be formed, decreasing water infiltration. Residual synthetic chemicals may remain from farming operations. In early successional stages, this community is not stable. The hazard of erosion is a concern. Total annual production during an average year varies significantly depending upon the succession stage of the plant community and any management applied to the system.
State 4
Invaded Woody State
The Invaded Woody State (4) is the result of woody encroachment. Once the tree canopy cover reaches 15 percent with an average tree height exceeding five feet, the threshold to the Invaded Woody State has been crossed. Woody species are increasing due to the lack of prescribed fire, brush management, or other woody tree removal. Typical ecological impacts are a loss of native grasses, reduced diversity of functional and structural groups, reduced forage production, and reduced soil quality. Prescribed burning, wildfire, timber harvest and brush management will move the Invaded Woody State toward a grass dominated state. If the Invaded Woody State transitioned from Native/Invaded Grass State (2) or the Sodbusted State (3), the land cannot return to the Reference State (1) as the native plant community, soils, and hydrologic function had been too severely impacted prior to the woody encroachment to allow the return to the Reference State through woody species removal alone. The Invaded Woody State includes one community, the Invaded Woody Community (4.1).
Dominant plant species
-
eastern redcedar (Juniperus virginiana), tree
-
little bluestem (Schizachyrium scoparium), grass
-
sand dropseed (Sporobolus cryptandrus), grass
-
needle and thread (Hesperostipa comata ssp. comata), grass
-
Kentucky bluegrass (Poa pratensis), grass
Community 4.1
Invaded Woody Community
The Invaded Woody Community or Eastern Redcedar (Juniperus virginiana) Community (4.1) has at least 15 percent canopy cover consisting of trees generally 5 feet or taller. Encroaching trees are primarily eastern redcedar. Additional woody cover from deciduous trees and shrubs may be present. In the absence of fire and brush management, this ecological site is very susceptible to eastern redcedar seedling invasion, especially when adjacent to a seed source. Eastern redcedar can eventually dominate the site resulting in a closed canopy monoculture which drastically reduces forage production and which has limited value for either livestock grazing or wildlife habitat. With long-term fire suppression, this plant community will develop extensive ladder fuels which can lead to a removal of most tree species with a wildfire. With properly managed intensive grazing, encroachment of deciduous trees will typically be minimal; however, this will not impact encroachment of coniferous species. The herbaceous component decreases proportionately in relation to the percent canopy cover, with the reduction being greater under a coniferous overstory. Eastern redcedar control can usually be accomplished with prescribed burning while the trees are six feet tall or less and fine fuel production is greater than 1,500 pounds per acres. Larger red cedars can also be controlled with prescribed burning, but successful application requires the use of specifically designed ignition and holding techniques (https://www.loesscanyonsburning group.com). Resprouting brush must be chemically treated immediately after mechanical removal to achieve effective treatment. The forb component will initially increase following tree removal. To prevent return to a woody dominated community, ongoing brush management such as hand cutting, chemical spot treatments, or periodic prescribed burning is required. This plant community is resistant to change and resilient given normal disturbances. In higher canopy cover situations, the soil erosion will increase in relation the plant community from which this plant community originated. The hydrologic function is also significantly altered under higher canopy cover. Infiltration is reduced and runoff is typically increased because of a lack of herbaceous cover and the rooting structure provided by the herbaceous species. Total annual production during an average year varies significantly, depending on the production level prior to encroachment and the percentage of canopy cover.
Dominant plant species
-
eastern redcedar (Juniperus virginiana), tree
-
needle and thread (Hesperostipa comata ssp. comata), grass
-
little bluestem (Schizachyrium scoparium), grass
-
sand dropseed (Sporobolus cryptandrus), grass
-
Kentucky bluegrass (Poa pratensis), grass
Figure 20. Annual production by plant type (representative values) or group (midpoint values)
Table 9. Annual production by plant type
Plant type | Low (lb/acre) |
Representative value (lb/acre) |
High (lb/acre) |
---|---|---|---|
Grass/Grasslike | 415 | 525 | 690 |
Tree | 95 | 300 | 550 |
Shrub/Vine | 45 | 100 | 155 |
Forb | 45 | 75 | 105 |
Total | 600 | 1000 | 1500 |
Figure 21. Plant community growth curve (percent production by month). NE6644, Eroded Tableland, heavy conifer canopy.
Jan | Feb | Mar | Apr | May | Jun | Jul | Aug | Sep | Oct | Nov | Dec |
---|---|---|---|---|---|---|---|---|---|---|---|
J | F | M | A | M | J | J | A | S | O | N | D |
1 | 3 | 7 | 10 | 20 | 28 | 15 | 5 | 4 | 4 | 2 | 1 |
Transition T1A
State 1 to 2
The Reference State (1) transitions to the Native/Invaded Grass State (2) in response to long-term (greater than ten years), heavy, repeated defoliation of the key forage species (big bluestem and prairie sandreed) by grazing or haying. The Reference State loses a significant proportion of warm-season tall- and midgrasses and crosses a threshold to the Native/Invaded Grass State. As species that have deeper-penetrating root systems are replaced by root-matting, sod-forming grasses, water infiltration is reduced. Without the deep root-mass and soil interaction associated with the warm-season tallgrasses, a compaction layer may form and the deep soil structure and biological integrity may be degraded to the point that restoration is difficult. Once this occurs, grazing management alone is highly unlikely to return the community to the Reference State.
Transition T1B
State 1 to 3
The Reference State (1) has been significantly altered by tillage to facilitate production agriculture. When the land is no longer cropped, the resulting state is the Sodbusted State (2). The disruption to the plant community, the soil, and the hydrology of the system make restoration to a true Reference State unlikely.
Transition T1C
State 1 to 4
Long-term (greater than ten years) disruption of the natural fire regime and the encroachment of invasive exotic and native woody species with no woody species management can cause the Reference State (1) to transition to the Invaded Woody State (4).
Transition T2A
State 2 to 3
The Native/Invaded Grass State (2) has been significantly altered by tillage to facilitate production agriculture. When the land is no longer cropped, the resulting state is the Sodbusted State (3).
Transition T2B
State 2 to 4
Long-term (more than ten years) disruption of the natural fire regime and the encroachment of invasive exotic and native woody species with no woody species management can cause the Native/Invaded Grass State (2) to transition to the Invaded Woody State (4).
Transition T3A
State 3 to 4
Long-term (more than ten years) disruption of the natural fire regime and the encroachment of invasive exotic and native woody species with no woody species management can cause the Sodbusted State (3) to transition to the Invaded Woody State (4).
Restoration pathway R4A
State 4 to 1
The Invaded Woody State (4) can be restored to the Reference State (1) through prescribed burning, wildfire, timber harvest, or brush management. The forb component may initially increase following tree removal. Ongoing brush management such as hand cutting, chemical spot treatments, or periodic prescribed burning is required to prevent a return to the Invaded Woody State. The heavier the existing canopy cover, the greater the energy input required to return to the Reference State by management practices. The amount of time required for this restoration to occur depends on the severity and duration of the encroachment. Land that transitioned to the Invaded Woody State from the Native/Invaded Grass State (2) or the Sodbusted State (3) cannot be restored to the Reference State through the removal of woody species as the native plant community, soils, and hydrologic function have been too severely impacted for that restoration to occur.
Restoration pathway R4B
State 4 to 2
The Invaded Woody State (4) can be restored to the Native/Invaded Grass State (2) through prescribed burning, wildfire, timber harvest, or brush management. The forb component may initially increase following tree removal. Ongoing brush management such as hand cutting, chemical spot treatments, or periodic prescribed burning is required to prevent a return to the Invaded Woody State. The heavier the existing canopy cover, the greater the energy input required to return to the Native/Invaded Grass State by management practices. The amount of time required for this restoration to occur depends on the severity and duration of the encroachment. Land that transitioned to the Invaded Woody State from the Native/Invaded Grass State or the Sodbusted State (3) cannot be restored to the Reference State (1) through the removal of woody species as the native plant community, soils, and hydrologic function have been too severely impacted for that restoration to occur.
Restoration pathway R4C
State 4 to 3
The Invaded Woody State (4) can be restored to the Sodbusted State (3) through prescribed burning, wildfire, mechanical harvest, or brush management. The forb component may initially increase following tree removal. Ongoing brush management such as hand cutting, chemical spot treatments, or periodic prescribed burning is required to prevent a return to the Invaded Woody State. The heavier the existing canopy cover, the greater the energy input required to return to the Sodbusted State by management practices. The amount of time required for this restoration to occur depends on the severity and duration of the encroachment. Land that transitioned to the Invaded Woody State from the Native/Invaded Grass State (2) or the Sodbusted State cannot be restored to the Reference State (1) through the removal of woody species as the native plant community, soils, and hydrologic function have been too severely impacted for that restoration to occur.
Additional community tables
Table 10. Community 1.1 plant community composition
Group | Common name | Symbol | Scientific name | Annual production (lb/acre) | Foliar cover (%) | |
---|---|---|---|---|---|---|
Grass/Grasslike
|
||||||
1 | Warm-Season Tallgrass | 840–1200 | ||||
sand bluestem | ANHA | Andropogon hallii | 240–720 | – | ||
big bluestem | ANGE | Andropogon gerardii | 240–720 | – | ||
prairie sandreed | CALO | Calamovilfa longifolia | 360–720 | – | ||
switchgrass | PAVI2 | Panicum virgatum | 0–240 | – | ||
Indiangrass | SONU2 | Sorghastrum nutans | 0–120 | – | ||
2 | Warm-Season Midgrass | 240–720 | ||||
little bluestem | SCSC | Schizachyrium scoparium | 240–480 | – | ||
sideoats grama | BOCU | Bouteloua curtipendula | 0–120 | – | ||
sand dropseed | SPCR | Sporobolus cryptandrus | 24–120 | – | ||
sand lovegrass | ERTR3 | Eragrostis trichodes | 0–120 | – | ||
purple lovegrass | ERSP | Eragrostis spectabilis | 0–120 | – | ||
3 | Cool-Season Bunchgrass | 240–480 | ||||
needle and thread | HECOC8 | Hesperostipa comata ssp. comata | 120–480 | – | ||
porcupinegrass | HESP11 | Hesperostipa spartea | 120–240 | – | ||
Scribner's rosette grass | DIOLS | Dichanthelium oligosanthes var. scribnerianum | 0–120 | – | ||
Indian ricegrass | ACHY | Achnatherum hymenoides | 0–120 | – | ||
prairie Junegrass | KOMA | Koeleria macrantha | 0–72 | – | ||
fall rosette grass | DIWI5 | Dichanthelium wilcoxianum | 0–48 | – | ||
Grass, perennial | 2GP | Grass, perennial | 0–48 | – | ||
4 | Warm-Season Shortgrass | 120–240 | ||||
blue grama | BOGR2 | Bouteloua gracilis | 120–240 | – | ||
hairy grama | BOHI2 | Bouteloua hirsuta | 0–120 | – | ||
thin paspalum | PASE5 | Paspalum setaceum | 0–120 | – | ||
Grass, perennial | 2GP | Grass, perennial | 0–48 | – | ||
Fendler threeawn | ARPUL | Aristida purpurea var. longiseta | 0–24 | – | ||
5 | Grass-Likes | 120–240 | ||||
sedge | CAREX | Carex | 120–240 | – | ||
6 | Cool-Season Rhizomatous Grass | 0–120 | ||||
western wheatgrass | PASM | Pascopyrum smithii | 0–120 | – | ||
Forb
|
||||||
7 | Forb | 120–240 | ||||
Cuman ragweed | AMPS | Ambrosia psilostachya | 24–48 | – | ||
scurfpea | PSORA2 | Psoralidium | 24–48 | – | ||
white sagebrush | ARLU | Artemisia ludoviciana | 24–48 | – | ||
upright prairie coneflower | RACO3 | Ratibida columnifera | 24–48 | – | ||
Forb, perennial | 2FP | Forb, perennial | 24–48 | – | ||
Forb, annual | 2FA | Forb, annual | 0–24 | – | ||
blazing star | LIATR | Liatris | 0–24 | – | ||
white heath aster | SYER | Symphyotrichum ericoides | 0–24 | – | ||
Missouri goldenrod | SOMI2 | Solidago missouriensis | 0–24 | – | ||
beardtongue | PENST | Penstemon | 0–24 | – | ||
spiderwort | TRADE | Tradescantia | 0–24 | – | ||
stiff sunflower | HEPA19 | Helianthus pauciflorus | 0–24 | – | ||
thistle | CIRSI | Cirsium | 0–24 | – | ||
rush skeletonplant | LYJU | Lygodesmia juncea | 0–24 | – | ||
Shrub/Vine
|
||||||
8 | Shrub | 24–120 | ||||
leadplant | AMCA6 | Amorpha canescens | 0–48 | – | ||
rose | ROSA5 | Rosa | 0–48 | – | ||
Shrub (>.5m) | 2SHRUB | Shrub (>.5m) | 0–48 | – | ||
brittle pricklypear | OPFR | Opuntia fragilis | 0–24 | – | ||
soapweed yucca | YUGL | Yucca glauca | 0–24 | – | ||
western sandcherry | PRPUB | Prunus pumila var. besseyi | 0–24 | – | ||
twistspine pricklypear | OPMA2 | Opuntia macrorhiza | 0–24 | – |
Table 11. Community 1.2 plant community composition
Group | Common name | Symbol | Scientific name | Annual production (lb/acre) | Foliar cover (%) | |
---|---|---|---|---|---|---|
Grass/Grasslike
|
||||||
1 | Warm-Season Tallgrass | 700–1200 | ||||
prairie sandreed | CALO | Calamovilfa longifolia | 400–700 | – | ||
switchgrass | PAVI2 | Panicum virgatum | 100–400 | – | ||
sand bluestem | ANHA | Andropogon hallii | 200–400 | – | ||
big bluestem | ANGE | Andropogon gerardii | 200–400 | – | ||
Indiangrass | SONU2 | Sorghastrum nutans | 0–100 | – | ||
2 | Warm-Season Midgrass | 200–700 | ||||
little bluestem | SCSC | Schizachyrium scoparium | 200–600 | – | ||
sand dropseed | SPCR | Sporobolus cryptandrus | 0–200 | – | ||
purple lovegrass | ERSP | Eragrostis spectabilis | 0–100 | – | ||
sideoats grama | BOCU | Bouteloua curtipendula | 0–60 | – | ||
3 | Cool-Season Bunchgrass | 100–300 | ||||
needle and thread | HECOC8 | Hesperostipa comata ssp. comata | 100–300 | – | ||
porcupinegrass | HESP11 | Hesperostipa spartea | 0–200 | – | ||
prairie Junegrass | KOMA | Koeleria macrantha | 0–100 | – | ||
Scribner's rosette grass | DIOLS | Dichanthelium oligosanthes var. scribnerianum | 0–100 | – | ||
fall rosette grass | DIWI5 | Dichanthelium wilcoxianum | 0–40 | – | ||
Grass, perennial | 2GP | Grass, perennial | 0–40 | – | ||
4 | Warm-Season Shortgrass | 100–300 | ||||
blue grama | BOGR2 | Bouteloua gracilis | 100–300 | – | ||
hairy grama | BOHI2 | Bouteloua hirsuta | 0–100 | – | ||
thin paspalum | PASE5 | Paspalum setaceum | 0–100 | – | ||
Grass, perennial | 2GP | Grass, perennial | 0–40 | – | ||
5 | Cool-Season Rhizomatous Grass | 0–300 | ||||
western wheatgrass | PASM | Pascopyrum smithii | 0–300 | – | ||
6 | Grasslike | 0–200 | ||||
sedge | CAREX | Carex | 0–200 | – | ||
7 | Non-Native Cool-Season Grass | 0–100 | ||||
cheatgrass | BRTE | Bromus tectorum | 0–100 | – | ||
Kentucky bluegrass | POPR | Poa pratensis | 0–100 | – | ||
Forb
|
||||||
8 | Forb | 100–200 | ||||
Forb, perennial | 2FP | Forb, perennial | 0–40 | – | ||
white heath aster | SYER | Symphyotrichum ericoides | 0–40 | – | ||
Cuman ragweed | AMPS | Ambrosia psilostachya | 0–40 | – | ||
Missouri goldenrod | SOMI2 | Solidago missouriensis | 0–20 | – | ||
beardtongue | PENST | Penstemon | 0–20 | – | ||
upright prairie coneflower | RACO3 | Ratibida columnifera | 0–20 | – | ||
rush skeletonplant | LYJU | Lygodesmia juncea | 0–20 | – | ||
scurfpea | PSORA2 | Psoralidium | 0–20 | – | ||
spiderwort | TRADE | Tradescantia | 0–20 | – | ||
stiff sunflower | HEPA19 | Helianthus pauciflorus | 0–20 | – | ||
thistle | CIRSI | Cirsium | 0–20 | – | ||
hoary verbena | VEST | Verbena stricta | 0–20 | – | ||
common sunflower | HEAN3 | Helianthus annuus | 0–20 | – | ||
white sagebrush | ARLU | Artemisia ludoviciana | 0–20 | – | ||
blazing star | LIATR | Liatris | 0–20 | – | ||
field sagewort | ARCA12 | Artemisia campestris | 0–20 | – | ||
Forb, annual | 2FA | Forb, annual | 0–20 | – | ||
Shrub/Vine
|
||||||
9 | Shrub | 20–200 | ||||
leadplant | AMCA6 | Amorpha canescens | 0–100 | – | ||
rose | ROSA5 | Rosa | 0–60 | – | ||
soapweed yucca | YUGL | Yucca glauca | 0–40 | – | ||
Shrub (>.5m) | 2SHRUB | Shrub (>.5m) | 0–40 | – | ||
prairie sagewort | ARFR4 | Artemisia frigida | 0–20 | – | ||
brittle pricklypear | OPFR | Opuntia fragilis | 0–20 | – | ||
western sandcherry | PRPUB | Prunus pumila var. besseyi | 0–20 | – | ||
twistspine pricklypear | OPMA2 | Opuntia macrorhiza | 0–20 | – | ||
Tree
|
||||||
10 | Tree | 0–40 | ||||
eastern redcedar | JUVI | Juniperus virginiana | 0–40 | – | ||
boxelder | ACNE2 | Acer negundo | 0–40 | – | ||
ponderosa pine | PIPO | Pinus ponderosa | 0–40 | – | ||
green ash | FRPE | Fraxinus pennsylvanica | 0–40 | – |
Table 12. Community 1.3 plant community composition
Group | Common name | Symbol | Scientific name | Annual production (lb/acre) | Foliar cover (%) | |
---|---|---|---|---|---|---|
Grass/Grasslike
|
||||||
4 | Warm-Season Shortgrass | 280–490 | ||||
blue grama | BOGR2 | Bouteloua gracilis | 280–490 | – | ||
hairy grama | BOHI2 | Bouteloua hirsuta | 0–70 | – | ||
thin paspalum | PASE5 | Paspalum setaceum | 0–70 | – | ||
Grass, perennial | 2GP | Grass, perennial | 0–28 | – | ||
3 | Cool-Season Bunchgrass | 140–350 | ||||
needle and thread | HECOC8 | Hesperostipa comata ssp. comata | 70–210 | – | ||
Scribner's rosette grass | DIOLS | Dichanthelium oligosanthes var. scribnerianum | 70–140 | – | ||
prairie Junegrass | KOMA | Koeleria macrantha | 0–70 | – | ||
porcupinegrass | HESP11 | Hesperostipa spartea | 0–70 | – | ||
fall rosette grass | DIWI5 | Dichanthelium wilcoxianum | 0–28 | – | ||
Grass, perennial | 2GP | Grass, perennial | 0–28 | – | ||
5 | Cool-Season Rhizomatous Grass | 70–280 | ||||
western wheatgrass | PASM | Pascopyrum smithii | 70–280 | – | ||
1 | Warm-Season Tallgrass | 70–210 | ||||
prairie sandreed | CALO | Calamovilfa longifolia | 70–210 | – | ||
switchgrass | PAVI2 | Panicum virgatum | 0–70 | – | ||
sand bluestem | ANHA | Andropogon hallii | 0–70 | – | ||
big bluestem | ANGE | Andropogon gerardii | 0–70 | – | ||
2 | Warm-Season Midgrass | 70–210 | ||||
sand dropseed | SPCR | Sporobolus cryptandrus | 70–210 | – | ||
purple lovegrass | ERSP | Eragrostis spectabilis | 0–210 | – | ||
little bluestem | SCSC | Schizachyrium scoparium | 0–140 | – | ||
7 | Grass-like | 70–210 | ||||
sedge | CAREX | Carex | 70–210 | – | ||
8 | Non-Native Cool-Season Grass | 0–140 | ||||
Kentucky bluegrass | POPR | Poa pratensis | 0–140 | – | ||
cheatgrass | BRTE | Bromus tectorum | 0–140 | – | ||
6 | Native Annual Grass | 0–70 | ||||
mat sandbur | CELO3 | Cenchrus longispinus | 0–70 | – | ||
Forb
|
||||||
9 | Forb | 70–140 | ||||
Cuman ragweed | AMPS | Ambrosia psilostachya | 0–42 | – | ||
field sagewort | ARCA12 | Artemisia campestris | 0–28 | – | ||
white heath aster | SYER | Symphyotrichum ericoides | 0–28 | – | ||
Forb, annual | 2FA | Forb, annual | 0–28 | – | ||
Forb, perennial | 2FP | Forb, perennial | 0–28 | – | ||
Missouri goldenrod | SOMI2 | Solidago missouriensis | 0–14 | – | ||
beardtongue | PENST | Penstemon | 0–14 | – | ||
upright prairie coneflower | RACO3 | Ratibida columnifera | 0–14 | – | ||
common sunflower | HEAN3 | Helianthus annuus | 0–14 | – | ||
white sagebrush | ARLU | Artemisia ludoviciana | 0–14 | – | ||
blazing star | LIATR | Liatris | 0–14 | – | ||
thistle | CIRSI | Cirsium | 0–14 | – | ||
vervain | VERBE | Verbena | 0–14 | – | ||
Rocky Mountain beeplant | CLSE | Cleome serrulata | 0–14 | – | ||
rush skeletonplant | LYJU | Lygodesmia juncea | 0–14 | – | ||
scurfpea | PSORA2 | Psoralidium | 0–14 | – | ||
spiderwort | TRADE | Tradescantia | 0–14 | – | ||
Shrub/Vine
|
||||||
10 | Shrub | 14–140 | ||||
Shrub (>.5m) | 2SHRUB | Shrub (>.5m) | 0–70 | – | ||
rose | ROSA5 | Rosa | 0–42 | – | ||
prairie sagewort | ARFR4 | Artemisia frigida | 0–42 | – | ||
soapweed yucca | YUGL | Yucca glauca | 0–28 | – | ||
twistspine pricklypear | OPMA2 | Opuntia macrorhiza | 0–28 | – | ||
brittle pricklypear | OPFR | Opuntia fragilis | – | – | ||
Tree
|
||||||
11 | Tree | 0–28 | ||||
Tree | 2TREE | Tree | 0–28 | – | ||
eastern redcedar | JUVI | Juniperus virginiana | 0–28 | – | ||
ponderosa pine | PIPO | Pinus ponderosa | 0–28 | – | ||
green ash | FRPE | Fraxinus pennsylvanica | 0–28 | – | ||
boxelder | ACNE2 | Acer negundo | 0–28 | – |
Table 13. Community 2.1 plant community composition
Group | Common name | Symbol | Scientific name | Annual production (lb/acre) | Foliar cover (%) | |
---|---|---|---|---|---|---|
Grass/Grasslike
|
||||||
1 | Warm-Season Tallgrass | 0–45 | ||||
prairie sandreed | CALO | Calamovilfa longifolia | 0–45 | – | ||
2 | Warm-Season Midgrass | 90–180 | ||||
sand dropseed | SPCR | Sporobolus cryptandrus | 90–180 | – | ||
purple lovegrass | ERSP | Eragrostis spectabilis | 0–45 | – | ||
3 | Cool-Season Bunchgrass | 90–225 | ||||
needle and thread | HECOC8 | Hesperostipa comata ssp. comata | 45–135 | – | ||
Scribner's rosette grass | DIOLS | Dichanthelium oligosanthes var. scribnerianum | 45–135 | – | ||
prairie Junegrass | KOMA | Koeleria macrantha | 0–45 | – | ||
fall rosette grass | DIWI5 | Dichanthelium wilcoxianum | 0–18 | – | ||
4 | Warm-Season Shortgrass | 90–225 | ||||
blue grama | BOGR2 | Bouteloua gracilis | 90–225 | – | ||
hairy grama | BOHI2 | Bouteloua hirsuta | 0–90 | – | ||
5 | Cool-Season Rhizomatous Grass | 0–90 | ||||
western wheatgrass | PASM | Pascopyrum smithii | 0–90 | – | ||
6 | Native Annual Grass | 0–45 | ||||
mat sandbur | CELO3 | Cenchrus longispinus | 0–45 | – | ||
7 | Grass-like | 45–135 | ||||
sedge | CAREX | Carex | 45–135 | – | ||
8 | Non-Native Cool-Season Grass | 45–360 | ||||
Kentucky bluegrass | POPR | Poa pratensis | 45–360 | – | ||
cheatgrass | BRTE | Bromus tectorum | 0–135 | – | ||
Forb
|
||||||
9 | Forb | 45–180 | ||||
Cuman ragweed | AMPS | Ambrosia psilostachya | 45–180 | – | ||
field sagewort | ARCA12 | Artemisia campestris | 0–45 | – | ||
white heath aster | SYER | Symphyotrichum ericoides | 0–27 | – | ||
thistle | CIRSI | Cirsium | 0–27 | – | ||
vervain | VERBE | Verbena | 0–27 | – | ||
common sunflower | HEAN3 | Helianthus annuus | 0–27 | – | ||
Rocky Mountain beeplant | CLSE | Cleome serrulata | 0–27 | – | ||
Forb, perennial | 2FP | Forb, perennial | 0–18 | – | ||
Forb, annual | 2FA | Forb, annual | 0–18 | – | ||
Missouri goldenrod | SOMI2 | Solidago missouriensis | 0–9 | – | ||
beardtongue | PENST | Penstemon | 0–9 | – | ||
rush skeletonplant | LYJU | Lygodesmia juncea | 0–9 | – | ||
scurfpea | PSORA2 | Psoralidium | 0–9 | – | ||
white sagebrush | ARLU | Artemisia ludoviciana | 0–9 | – | ||
Shrub/Vine
|
||||||
10 | Shrub | 9–90 | ||||
Shrub (>.5m) | 2SHRUB | Shrub (>.5m) | 0–45 | – | ||
rose | ROSA5 | Rosa | 0–27 | – | ||
soapweed yucca | YUGL | Yucca glauca | 0–27 | – | ||
pricklypear | OPUNT | Opuntia | 0–18 | – | ||
Tree
|
||||||
11 | Tree | 0–18 | ||||
Tree | 2TREE | Tree | 0–18 | – | ||
eastern redcedar | JUVI | Juniperus virginiana | 0–18 | – | ||
ponderosa pine | PIPO | Pinus ponderosa | 0–18 | – | ||
green ash | FRPE | Fraxinus pennsylvanica | 0–18 | – | ||
boxelder | ACNE2 | Acer negundo | 0–18 | – |
Table 14. Community 4.1 plant community composition
Group | Common name | Symbol | Scientific name | Annual production (lb/acre) | Foliar cover (%) | |
---|---|---|---|---|---|---|
Grass/Grasslike
|
||||||
1 | Warm-Season Tallgrass | 0–100 | ||||
big bluestem | ANGE | Andropogon gerardii | 0–50 | – | ||
sand bluestem | ANHA | Andropogon hallii | 0–50 | – | ||
switchgrass | PAVI2 | Panicum virgatum | 0–50 | – | ||
prairie sandreed | CALO | Calamovilfa longifolia | 0–20 | – | ||
2 | Warm-Season Midgrass | 50–200 | ||||
little bluestem | SCSC | Schizachyrium scoparium | 50–100 | – | ||
sand dropseed | SPCR | Sporobolus cryptandrus | 20–100 | – | ||
sideoats grama | BOCU | Bouteloua curtipendula | 10–50 | – | ||
purple lovegrass | ERSP | Eragrostis spectabilis | 0–30 | – | ||
sand lovegrass | ERTR3 | Eragrostis trichodes | 0–20 | – | ||
3 | Cool-Season Bunchgrass | 50–100 | ||||
needle and thread | HECOC8 | Hesperostipa comata ssp. comata | 50–100 | – | ||
prairie Junegrass | KOMA | Koeleria macrantha | 10–50 | – | ||
Scribner's rosette grass | DIOLS | Dichanthelium oligosanthes var. scribnerianum | 0–10 | – | ||
fall rosette grass | DIWI5 | Dichanthelium wilcoxianum | 0–10 | – | ||
4 | Warm-Season Shortgrass | 20–50 | ||||
blue grama | BOGR2 | Bouteloua gracilis | 20–50 | – | ||
hairy grama | BOHI2 | Bouteloua hirsuta | 0–50 | – | ||
Fendler threeawn | ARPUL | Aristida purpurea var. longiseta | 0–50 | – | ||
thin paspalum | PASE5 | Paspalum setaceum | 0–20 | – | ||
5 | Cool-Season Rhizomatous Grass | 10–50 | ||||
western wheatgrass | PASM | Pascopyrum smithii | 10–50 | – | ||
6 | Grass-like | 20–80 | ||||
sedge | CAREX | Carex | 20–80 | – | ||
7 | Non-Native Grass | 20–100 | ||||
Kentucky bluegrass | POPR | Poa pratensis | 20–100 | – | ||
cheatgrass | BRTE | Bromus tectorum | 0–50 | – | ||
11 | Native Annual Grass | 20–100 | ||||
mat sandbur | CELO3 | Cenchrus longispinus | 0–50 | – | ||
Grass, annual | 2GA | Grass, annual | 0–50 | – | ||
Forb
|
||||||
8 | Forb | 50–100 | ||||
Forb, annual | 2FA | Forb, annual | 0–50 | – | ||
Forb, perennial | 2FP | Forb, perennial | 0–30 | – | ||
tarragon | ARDR4 | Artemisia dracunculus | 10–30 | – | ||
Missouri goldenrod | SOMI2 | Solidago missouriensis | 10–30 | – | ||
vervain | VERBE | Verbena | 10–30 | – | ||
upright prairie coneflower | RACO3 | Ratibida columnifera | 10–20 | – | ||
white heath aster | SYER | Symphyotrichum ericoides | 10–20 | – | ||
spiderwort | TRADE | Tradescantia | 0–20 | – | ||
Cuman ragweed | AMPS | Ambrosia psilostachya | 0–20 | – | ||
thistle | CIRSI | Cirsium | 0–20 | – | ||
blazing star | LIATR | Liatris | 0–10 | – | ||
rush skeletonplant | LYJU | Lygodesmia juncea | 0–10 | – | ||
beardtongue | PENST | Penstemon | 0–10 | – | ||
scurfpea | PSORA2 | Psoralidium | 0–10 | – | ||
white sagebrush | ARLU | Artemisia ludoviciana | 0–10 | – | ||
Shrub/Vine
|
||||||
9 | Shrub | 50–150 | ||||
leadplant | AMCA6 | Amorpha canescens | 10–50 | – | ||
rose | ROSA5 | Rosa | 10–50 | – | ||
Shrub (>.5m) | 2SHRUB | Shrub (>.5m) | 0–50 | – | ||
pricklypear | OPUNT | Opuntia | 10–30 | – | ||
western sandcherry | PRPUB | Prunus pumila var. besseyi | 0–10 | – | ||
soapweed yucca | YUGL | Yucca glauca | 0–10 | – | ||
Tree
|
||||||
10 | Tree | 100–500 | ||||
ponderosa pine | PIPO | Pinus ponderosa | 50–300 | – | ||
eastern redcedar | JUVI | Juniperus virginiana | 50–300 | – | ||
boxelder | ACNE2 | Acer negundo | 0–200 | – | ||
green ash | FRPE | Fraxinus pennsylvanica | 0–200 | – | ||
Tree | 2TREE | Tree | 0–200 | – |
Interpretations
Animal community
LIVESTOCK - GRAZING INTERPRETATIONS:
Grazing by domestic livestock is one of the major income-producing industries in the area. Rangeland in this area may provide year-long forage for cattle, sheep, or horses. During the dormant period, the protein levels of the forage may be lower than the minimum needed to meet livestock (primarily cattle and sheep)requirements. The following table lists suggested stocking rates for cattle under continuous season-long grazing under normal growing conditions. These are conservative estimates that should be used only as guidelines in the initial stages of the conservation planning process. Often, the current plant composition does not entirely match any particular plant community (as described in this ecological site description). Because of this, a field visit is recommended, in all cases, to document plant composition and production. More precise carrying capacity estimates should eventually be calculated using this information along with animal preference data, particularly when grazers other than cattle are involved. With consultation of the land manager, more intensive grazing management may result in improved harvest efficiencies and increased carrying capacity.
Production and Carrying Capacity*
Community 1.1, Reference Community: 2,400 lbs./acre, 0.66 AUM/acre
Community 1.2, Degraded Native Grass Community: 2,000 lbs./acre, 0.54 AUM/acre
Community 1.3, At-Risk Community: 1,400 lbs./acre, 0.38 AUM/acre
Community 2.1, Native Shortgrass-Invasive Grass Community: 900 lbs./acre, 0.25AUM/acre
Community 4.1, Invaded Woody Community: 1000 lbs./acre, 0.27 AUM/acre**
*Based upon the following conditions: continuous season-long grazing by cattle under average growing conditions, 25 percent harvest efficiency. Air dry forage requirements based on 3 percent of animal body weight, or 912 lbs./AU/month.
**Forage production is highly variable depending upon the extent of woody encroachment.
WILDLIFE INTERPRETATIONS:
Major Land Resource Area (MLRA) 66 lies primarily within the Mixed-grass prairie ecosystem. Though European settlers have converted about a quarter of this landscape to farmland, the majority of the prairie is still intact. This area still consists of diverse grassland habitats interspersed with varying densities of depressional wetlands and limited woody riparian corridors. These habitats historically provided critical life cycle components for the
grassland birds, prairie dogs, and herds of roaming bison, elk, and pronghorn. Bobcats, wolves, and mountain lions occupied the apex predator niche. Diverse populations of small mammals and insects still provide a bountiful prey base for raptors and omnivores such
as coyotes, foxes, raccoons, and opossums. In addition, a wide variety of reptiles and amphibians thrive in this landscape.
The Mixed-Grass Prairie was a disturbance-driven ecosystem with fire, herbivory, and climate functioning as the primary disturbances. Following European settlement, elimination of fire, overgrazing, and some habitat fragmentation significantly altered the appearance and functionality of the entire ecosystem. Bison and prairie dogs were historically keystone species, but free-roaming bison herds have been extirpated in this region. The loss of bison
and fire as ecological drivers greatly influenced the character of the remaining native grasslands and the habitats that they provide. Fragmentation has reduced habitat quality for numerous area sensitive species, as highlighted by the decline of the greater prairie chicken.
Historically, an ecological mosaic of the sites provided habitat for species requiring unfragmented grasslands. Most of these important habitat features and components are intact, providing upland nesting habitat for grassland birds and game birds; nesting and escape cover for waterfowl; forbs and insects for brood-rearing habitat; and a forage source for small and large herbivores. Disruption of the natural fire regime and lack of appropriate grazing management are the greatest threats to the ecosystem dynamics today. Tree and shrub encroachment from lack of fire creates habitat that favors generalist species such as American robin and mourning dove, and provides perches for raptors, increasing the predation mortality on native bird populations. Introduced species such as smooth brome, Kentucky bluegrass, nodding plumeless thistle (musk thistle), and Canada thistle further degrade the biological integrity of many areas of the prairie.
In the Reference State (State 1), The variety of structure height and densities provide upland nesting habitat for grassland birds and game birds; nesting and escape cover for waterfowl; forbs and insects for brood-rearing habitat; and a forage source for small and large herbivores. In the Invaded Grassland State (State 2), the warm-season tallgrasses have been replaced by shorter statured and less productive grasses. This results in a loss of the diversity of plant heights and densities required by grassland nesting birds, escape cover for all species, and forage for the herbivores. In the Invaded Woody State, (State 4), the presence of trees favors generalists such as the American robin and the mourning dove, and provides perches for raptors, allowing increased predation of ground nesting birds and small mammals.
Hydrological functions
Water is the principal factor limiting forage production in well-drained areas of this site. Normal rainfall is limited to 20 to 22 inches per year. Most of the soils on this site are in Hydrologic Soil Groups A and B. In the well drained areas, infiltration potential is high and significant runoff is expected only during intense storms. Refer to NRCS National Engineering Handbook, Section 4, for runoff quantities and hydrologic curves.
Rills and gullies should not typically be present in areas of the interpretive plant community. Water flow patterns, where present, should be barely distinguishable. Pedestals are only slightly present and only in association with bunchgrasses, such as little bluestem. Litter typically falls in place, and signs of movement are not common. Chemical and physical crusts are rare to nonexistent. Cryptogamic crusts are present but only cover 1 or 2 percent of the soil surface. Overall, this site appears very stable and productive.
Recreational uses
This site provides opportunities for hunting upland game species. The wide variety of plants that bloom from spring until fall has an aesthetic value that appeals to visitors.
Wood products
No appreciable amount of wood products is produced on this site.
Other products
Seeds of native plant species can be harvested to provide additional income on this site.
Other information
Field Office (Counties)
Nebraska:
Ainsworth, (Brown, Keya Paha, and Rock)
Bloomfield, (Knox)
Neligh, (Antelope)
O'Neill, (Holt)
Spencer, (Boyd)
Valentine, (Cherry)
South Dakota:
Burke, (Gregory)
Martin, (Bennett and Shannon)
White River, (Mellette and Todd)
Winner, (Tripp)
Supporting information
Inventory data references
Information presented here has been derived from NRCS clipping data and other inventory data. Field observations from trained range personnel were used as well. Those involved in developing this site include Wayne Bachman, soil scientist, NRCS; Stan Boltz, range management specialist, NRCS; Anna Ferguson, soil conservationist, NRCS; Roger Hammer, soil scientist, NRCS; Dana Larsen, range management specialist, NRCS; Dave Schmidt, rangeland management specialist, NRCS; and Kim Stine, rangeland management specialist, NRCS.
Other references
High Plains Regional Climate Center, University of Nebraska.(http://www.hprcc.unl.edu/)
U.S. Department of Agriculture, Natural Resources Conservation Service. 2003. National Range and Pasture Handbook. (https://www.nrcs.usda.gov/national-range-and-pasture-handbook)
U.S. Department of Agriculture, Natural Resources Conservation Service. National Water and Climate Center. (http://www.wcc.nrcs.usda.gov/climate).
U.S. Department of Agriculture, Natural Resources Conservation Service. 2021b. National Soil Information System. (https://www.nrcs.usda.gov/resources/education-and-teaching-materials/national-soil-information-system-nasis).
U.S. Department of Agriculture, Natural Resources Conservation Service. 2021c. National soil survey handbook, title 430-VI. (http://soils.usda.gov/technical/handbook/).
Soil Survey Staff. 2021. Web soil survey. U.S. Department of Agriculture, Natural Resources Conservation Service. (https://websoilsurvey.sc.egov.usda.gov/)
USDA, NRCS. 2001. The PLANTS Database, Version 3.1 (http://plants.usda.gov). National Plant Data Center, Baton Rouge, LA USA.
USDA, NRCS, various published Soil Surveys
Contributors
Dana Larsen
Doug Whisenhunt
Nadine Bishop
Approval
Suzanne Mayne-Kinney, 11/18/2024
Acknowledgments
Many thanks to the members of the soils team, local practitioners, and the technical team.
This Ecological Site was approved for publication in March of 2021.
Non-discrimination Statement
In accordance with Federal civil rights law and U.S. Department of Agriculture (USDA) civil rights regulations and policies, the USDA, its Agencies, offices, and employees, and institutions participating in or administering USDA programs are prohibited from discriminating based on race, color, national origin, religion, sex, gender identity (including gender expression), sexual orientation, disability, age, marital status, family/parental status, income derived from a public assistance program, political beliefs, or reprisal or retaliation for prior civil rights activity, in any program or activity conducted or funded by USDA (not all bases apply to all programs). Remedies and complaint filing deadlines vary by program or incident.
Persons with disabilities who require alternative means of communication for program information (e.g., Braille, large print, audiotape, American Sign Language, etc.) should contact the responsible Agency or USDA's TARGET Center at (202) 720-2600 (voice and TTY) or contact USDA through the Federal Relay Service at (800) 877-8339. Additionally, program information may be made available in languages other than English.
To file a program discrimination complaint, complete the USDA Program Discrimination Complaint Form, AD-3027, found online at How to File a Program Discrimination Complaint and at any USDA office or write a letter addressed to USDA and provide in the letter all of the information requested in the form. To request a copy of the complaint form, call (866) 632-9992. Submit your completed form or letter to USDA by: (1) mail: U.S. Department of Agriculture, Office of the Assistant Secretary for Civil Rights, 1400 Independence Avenue, SW, Washington, D.C. 20250-9410; (2) fax: (202) 690-7442; or (3) email: program.intake@usda.gov.
USDA is an equal opportunity provider, employer, and lender.
Rangeland health reference sheet
Interpreting Indicators of Rangeland Health is a qualitative assessment protocol used to determine ecosystem condition based on benchmark characteristics described in the Reference Sheet. A suite of 17 (or more) indicators are typically considered in an assessment. The ecological site(s) representative of an assessment location must be known prior to applying the protocol and must be verified based on soils and climate. Current plant community cannot be used to identify the ecological site.
Author(s)/participant(s) | Original Author: Stan Boltz Version V participants: Emily Helms, Nadine Bishop, Jeff Nichols |
---|---|
Contact for lead author | jeffrey.nichols@usda.gov |
Date | 11/18/2024 |
Approved by | Suzanne Mayne-Kinney |
Approval date | |
Composition (Indicators 10 and 12) based on | Annual Production |
Indicators
-
Number and extent of rills:
None. Rills are not expected on this site. -
Presence of water flow patterns:
Typically, none. Water flow patterns are not expected on gentle slopes. On steeper slopes (greater than 15 percent) water flow patterns may occur but will be barely visible and discontinuous. -
Number and height of erosional pedestals or terracettes:
Typically, none. Bunchgrasses may be slightly pedestalled (0.5 inch/1.25 cm) with no exposed roots on steeper slopes (greater than 15 percent), becoming more common as slopes become steeper. -
Bare ground from Ecological Site Description or other studies (rock, litter, lichen, moss, plant canopy are not bare ground):
Bare ground is typically 5 percent or less. Multi-year drought and/or wildfire can increase bare ground to 10 percent for up to two years following the disturbance.
Bare ground is exposed mineral soil that is not covered by vegetation (basal and/or foliar canopy), standing dead vegetation, gravel/rock, and visible biological crust (e.g., lichen, mosses, algae). -
Number of gullies and erosion associated with gullies:
None. Gullies are not expected on this site. -
Extent of wind scoured, blowouts and/or depositional areas:
None. Wind-scoured areas and depositional areas are not expected on this site. -
Amount of litter movement (describe size and distance expected to travel):
Litter should fall in place. Slight amount of movement of fine litter (less than 12 inches) from water is possible, but not normal. Litter movement from wind is not expected. -
Soil surface (top few mm) resistance to erosion (stability values are averages - most sites will show a range of values):
Soil stability ratings should typically be 5 to 6, normally 6. Surface organic matter adheres to the soil surface. Soil surface fragments will typically retain structure indefinitely when dipped in distilled water. -
Soil surface structure and SOM content (include type of structure and A-horizon color and thickness):
The A-horizon should be 7 to 20 inches (17.8-50-8 cm) thick, with the deeper A-horizon occurring on interdunes and nearly level landscape positions. Soil is dark grayish brown to grayish brown (values of 4 to 5) when dry and very dark brown, very dark grayish brown, to dark grayish brown (values of 2 to 4) when moist. Structure is typically weak medium and coarse subangular blocky parting to weak fine medium to fine granular or moderate medium granular structure.
The primary soil series correlated to this site are Anselmo and Holt. -
Effect of community phase composition (relative proportion of different functional groups) and spatial distribution on infiltration and runoff:
The functional/structural groups provide a combination of rooting depths and structure which positively influences infiltration. Combination of shallow and deep rooted species (mid & tall rhizomatous and tufted perennial cool-season grasses) with fine and coarse roots positively influences infiltration. Invasion of introduced cool-season grasses such as annual bromes, Kentucky bluegrass, and smooth brome may have an adverse impact on infiltration and runoff. Woody encroachment may also negatively influence infiltration.
The expected composition of the plant community is 80 to 85 percent perennial grasses and grass-likes, 5 to 10 percent forbs, and 5 to 10 percent shrubs. The perennial grass and grass-like component is made up of C4, rhizomatous, tallgrasses (35-50%); C4, midgrasses (10-30%); C3, bunchgrasses (10-20%); C4, shortgrasses (5-10%); C3, rhizomatous grasses (0-5%); and grass-likes (5-10%). -
Presence and thickness of compaction layer (usually none; describe soil profile features which may be mistaken for compaction on this site):
None. A compaction layer should not be present. -
Functional/Structural Groups (list in order of descending dominance by above-ground annual-production or live foliar cover using symbols: >>, >, = to indicate much greater than, greater than, and equal to):
Dominant:
Phase 1.1
1. Native, perennial, C4 tallgrass: 840-1200 #/ac, 35-50% (3 species minimum): big bluestem, Indiangrass, prairie sandreed, sand bluestem, switchgrass.
2. Native, perennial, C4 midgrass: 240-720 #/ac, 10-30% (2 species minimum): little bluestem, sand dropseed, sand lovegrass, sideoats grama, purple lovegrass.
Phase 1.2
1. Native, perennial, C4 tallgrass: 700-1200 #/ac, 35-60% (4 species minimum): big bluestem, Indiangrass, prairie sandreed, sand bluestem, switchgrass.
2. Native, perennial, C4 midgrass: 200-700 #/ac, 10-35% (1 species minimum): little bluestem, sand dropseed, sideoats grama, purple lovegrass.
Phase 1.3
1. Native, perennial, C4, shortgrass, 280-490 #/ac, 20-35% (1 species minimum): blue grama, hairy grama, thin paspalum.
2. Native, perennial, C3, bunchgrass, 140-350 #/ac, 10-25% (2 species minimum): fall rosette grass, needle and thread, prairie Junegrass, porcupinegrass, prairie Junegrass, Scribner’s rosettegrass.Sub-dominant:
Phase 1.1
1. Native, perennial, C3 bunchgrass, 240-480 #/ac, 10-20% (2 species minimum):fall rosette grass, Indian ricegrass, needle and thread, porcupinegrass, prairie Junegrass, Scribner’s rosette grass.
Phase 1.2
1. Native, perennial, C3 bunchgrass, 100-300 #/ac, 5-15% (1 species minimum): fall rosette grass, needle and thread, porcupinegrass, prairie Junegrass, Scribner’s rosette grass.
2. Native, perennial, C4, shortgrass, 100-300 #/ac, 5-15% (1 species minimum): blue grama, hairy grama, thin paspalum.
3. Native, perennial, C3, rhizomatous grass, 0-300 #/ac, 0-15% (1 species minimum): western wheatgrass.
Phase 1.3
1. Native, perennial, C3, rhizomatous grass, 70-280 #/ac, 5-20% (1 species minimum): western wheatgrass
2. Native, perennial, C4 midgrass, 70-210 #/ac, 5-15% (1 species minimum): little bluestem, sand dropseed, purple lovegrass.
3. Native perennial, C4, tallgrass, 70-210 #/ac, 5-15% (1 species minimum): big bluestem, prairie sandreed, sand bluestem, switchgrass.
4. Grass-like, 70-210 #/ac, 5-15% (1 species minimum): sedges.Other:
Minor - Phase 1.1
1. Grass-like, 120-240 #/ac, 5-10%: sedges.
2. Native, perennial, C4, shortgrass, 120-240 #/ac, 5-10%: blue grama, hairy grama, thin paspalum, Fendler threeawn
3. Native forb, 120-240 #/ac, 5-10%: Forbs vary from location to location.
4. Shrub, 24-120 #/AC, 1-5%: Shrubs present from location to location.
5. Native, perennial, C3, rhizomatous grass, 0-120 #/ac, 0-5%: western wheatgrass.
Minor -Phase 1.2
1. Native forbs, 100-200 #/ac, 5-10%: forbs vary from location to location.
2. Shrub, 20-200 #/ac, 1-10%: shrubs vary from location to location.
3. Grass-like, 0-200 #/ac, 0-10%: sedges.
4. Non-native, C3 grass, 0-200 #/ac, 0-10%: Kentucky bluegrass, cheatgrass.
Minor -Phase 1.3
1. Forb, 70-140 #ac, 5-10%: forbs vary from location to location.
2. Shrub, 14-140 #/ac, 1-10%: shrubs vary from location to location.
3. Non-native, C3 grass, 0-140 #/ac, 0-10%: Kentucky bluegrass, cheatgrass.
4. Native, Annual grass, 0-70 #/ac, 0-5%: mat sandbur
Trace - Phase 1.2
1. Trees, 0-40 #/ac, 0-2%: eastern redcedar, boxelder, ponderosa pine, green ash.
Trace - Phase 1.3
1. Trees, 0-28#/ac, 0-2%: eastern redcedar, ponderosa pine, green ash, boxelder.Additional:
The Reference Community (1.1) includes eight F/S groups which are, in order of relative abundance, native, perennial, C4 tallgrass; native, perennial, C4 midgrass, native, perennial, C3 bunchgrass; native, perennial, C4 shortgrass = grass-likes = native forbs; shrubs; and native C3 rhizomatous grass.
The Degraded Native Grass Community (1.2) includes ten F/S groups which include native, perennial, C4 tallgrass; native, perennial, C4 midgrass, native, perennial, C3 bunchgrass = native, perennial, C4 shortgrass; native C3 rhizomatous grass; native forbs; shrubs; grass-likes; non-native C3 grass; native trees.
The At-Risk Community (1.3) includes eleven F/S groups which include native, perennial, C4 shortgrass; native, perennial, C4, tallgrass = native, perennial, C4 midgrass; native, perennial, C3 bunchgrass; native, perennial, C3 rhizomatous grass; grass-likes; non-native, C3 grass; native forbs; shrubs; native annual grass; and tre -
Amount of plant mortality and decadence (include which functional groups are expected to show mortality or decadence):
Bunch grasses have strong, healthy centers with few (less than 3 percent) dead centers. Shrubs may show some dead branches (less than 5 percent) as plants age. -
Average percent litter cover (%) and depth ( in):
Plant litter cover is evenly distributed throughout the site and is expected to be 60 to 80 percent and at a depth of 0.25 to 0.50 inch (0.65-1.3 cm). Litter cover during and following drought can range from 50 to 60 percent. -
Expected annual annual-production (this is TOTAL above-ground annual-production, not just forage annual-production):
The representative value (RV) for annual production is 2,400 pounds per acre on an air dry weight basis. Low and High production years should yield 1,800 and 3,000 pounds per acre respectively. -
Potential invasive (including noxious) species (native and non-native). List species which BOTH characterize degraded states and have the potential to become a dominant or co-dominant species on the ecological site if their future establishment and growth is not actively controlled by management interventions. Species that become dominant for only one to several years (e.g., short-term response to drought or wildfire) are not invasive plants. Note that unlike other indicators, we are describing what is NOT expected in the reference state for the ecological site:
No non-native invasive species are present. Annual bromes (cheatgrass and Japanese/field), leafy spurge, absinth wormwood, sulphur cinquefoil, eastern redcedar, Canada thistle, common mullein, Kentucky bluegrass are known invasives that have the potential to become dominant or co-dominant on this site. Consult the state noxious weed and state watch lists for potential invasive species.
Note: species that become dominant for only one to several years (e.g., short-term response to drought or wildfire) are not invasive plants. -
Perennial plant reproductive capability:
All perennial species exhibit high vigor relative to recent weather conditions. Perennial grasses should have vigorous rhizomes or tillers; vegetative and reproductive structures are not stunted. All perennial species should be capable of reproducing annually.
Print Options
Sections
Font
Other
The Ecosystem Dynamics Interpretive Tool is an information system framework developed by the USDA-ARS Jornada Experimental Range, USDA Natural Resources Conservation Service, and New Mexico State University.
Click on box and path labels to scroll to the respective text.
Ecosystem states
T1A | - | Long-term (>10 years), heavy, continuous defoliation through grazing or haying. |
---|---|---|
T1B | - | Tillage to facilitate production agriculture. |
T1C | - | Woody encroachment with no fire or brush management. |
T2A | - | Tillage to facilitate production agriculture. |
T2B | - | Woody encroachment with no fire or brush management. |
T3A | - | Woody encroachment with no fire or brush management. |
R4A | - | Prescribed burning, wildfire, timber harvest, brush management. |
R4B | - | Prescribed burning, wildfire, timber harvest, brush management. |
R4C | - | Prescribed burning, wildfire, timber harvest, brush management. |
State 1 submodel, plant communities
1.1A | - | Continuous season long, continuous seasonal, or rotational grazing with inadequate growing season recovery periods. |
---|---|---|
1.2A | - | Prescribed grazing with adequate growing season recovery periods. |
1.2B | - | Continuous season long, continuous seasonal, or rotational grazing with inadequate growing season recovery periods. Annual haying. |
1.3A | - | Prescribed grazing with adequate growing season recovery periods. |