
Natural Resources
Conservation Service
Ecological site R047XA454UT
Mountain Stony Clay (slender wheatgrass)
Last updated: 2/05/2025
Accessed: 10/20/2025
General information
Provisional. A provisional ecological site description has undergone quality control and quality assurance review. It contains a working state and transition model and enough information to identify the ecological site.

Figure 1. Mapped extent
Areas shown in blue indicate the maximum mapped extent of this ecological site. Other ecological sites likely occur within the highlighted areas. It is also possible for this ecological site to occur outside of highlighted areas if detailed soil survey has not been completed or recently updated.
MLRA notes
Major Land Resource Area (MLRA): 047X–Wasatch and Uinta Mountains
MLRA 47 occurs in Utah (86 percent), Wyoming (8 percent), Colorado (4 percent), and Idaho (2 percent). It encompasses approximately 23,825 square miles (61,740 square kilometers). The northern half of this area is in the Middle Rocky Mountains Province of the Rocky Mountain System. The southern half is in the High Plateaus of the Utah Section of the Colorado Plateaus Province of the Intermontane Plateaus. Parts of the western edge of this MLRA are in the Great Basin Section of the Basin and Range Province of the Intermontane Plateaus. The MLRA includes the Wasatch Mountains, which trend north and south, and the Uinta Mountains, which trend east and west. The steeply sloping, precipitous Wasatch Mountains have narrow crests and deep valleys. Active faulting and erosion are a dominant force in controlling the geomorphology of the area. The Uinta Mountains have a broad, gently arching, elongated shape. Structurally, they consist of a broadly folded anticline that has an erosion-resistant quartzite core. The Wasatch and Uinta Mountains have an elevation of 4,900 to about 13,500 feet (1,495 to 4,115 meters).
The mountains in this area are primarily fault blocks that have been tilted up. Alluvial fans at the base of the mountains are recharge zones for the basin fill aquifers. An ancient shoreline of historic Bonneville Lake is evident on the footslopes along the western edge of the area. Rocks exposed in the mountains are mostly Mesozoic and Paleozoic sediments, but Precambrian rocks are exposed in the Uinta Mountains. The Uinta Mountains are one of the few ranges in the United States that are oriented west to east. The southern Wasatch Mountains consist of Tertiary volcanic rocks occurring as extrusive lava and intrusive crystalline rocks.
The average precipitation is from 8 to 16 inches (203 to 406 mm) in the valleys and can range up to 73 inches (1854 mm) in the mountains. In the northern and western portions of the MLRA, peak precipitation occurs in the winter months. The southern and eastern portions have a greater incidence of high-intensity summer thunderstorms; hence, a significant amount of precipitation occurs during the summer months. The average annual temperature is 30 to 50 degrees Fahrenheit (-1 to 15 C). The freeze-free period averages 140 days and ranges from 60 to 220 days, generally decreasing in length with elevation.
The dominant soil orders in this MLRA are Aridisols, Entisols, Inceptisols, and Mollisols. The lower elevations are dominated by a frigid temperature regime, while the higher elevations experience cryic temperature regimes. Mesic temperature regimes come in on the lower elevations and south facing slopes in the southern portion of this MLRA. The soil moisture regime is typically xeric in the northern part of the MLRA, but grades to ustic in the extreme eastern and southern parts. The mineralogy is generally mixed and the soils are very shallow to very deep, generally well drained, and loamy or loamy-skeletal.
LRU notes
Major Land Resource Unit 47A is located in the northern half of the Middle Rocky Mountains Province of the Rocky Mountain System. This MLRA includes the Wasatch Mountains which tend to run north and south. These steeply sloping, precipitous mountains have narrow crests and deep valleys. They are primarily fault blocks that have been tilted up. The alluvial fans located at the base of these mountains are important recharge zones for valley aquifers.
Classification relationships
Modal Soil: Yeates Hollow ST-SiCL, 3-30% — clayey-skeletal, montmorillonitic, frigid Typic Argixerolls
Ecological site concept
The soils of this site formed in alluvium, colluvium, and residuum derived from sandstone and quartzite parent materials. The soil is deep and well drained with slow permeability in the upper 10 inches. The upper 12 to 20 inches of soil is a dark, clay loam or silty clay loam. Gravel or cobbles are present throughout the soil profile and a layer of clay accumulation is characteristic of the subsoil. The soil moisture regime is xeric and the soil temperature regime is frigid, but may occasionally be on the cool side of mesic. Available water capacity is about 3 to 4.2 inches. The soil pH is neutral to somewhat acidic.
Associated sites
R047XA430UT |
Mountain Loam (mountain big sagebrush) |
---|---|
R047XA461UT |
Mountain Stony Loam (mountain big sagebrush) |
Similar sites
R047XA402UT |
Mountain Clay (slender wheatgrass) This site has less than 35% rock fragments by volume throughout the soil profile. It has a higher shrub component and total annual production is lower at about 1750 lbs/acre on average. |
---|---|
R047XA504UT |
High Mountain Clay (slender wheatgrass) This site typically occurs at higher elevations and always recieves greater annual precipitation. There are less than 35% rock fragments by volume throughout the soil profile. Total annual production is extremely reduced. |
Table 1. Dominant plant species
Tree |
Not specified |
---|---|
Shrub |
Not specified |
Herbaceous |
(1) Elymus trachycaulus |
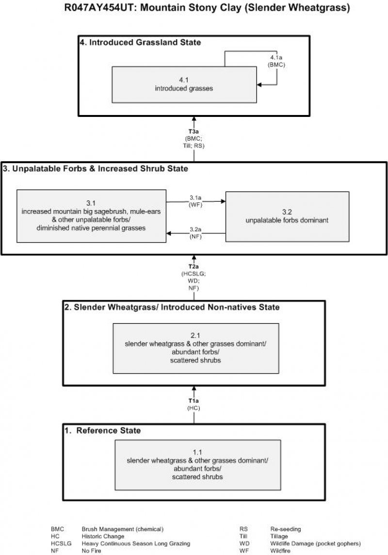
Click on box and path labels to scroll to the respective text.
Ecosystem states
T1A | - | introduction of exotic species |
---|---|---|
T2A | - | Sustained heavy grazing and fire exclusion |
T3A | - | Brush management with the use of chemicals (e.g. 2, 4-D) followed by tillage and re-seeding |
State 1 submodel, plant communities
State 2 submodel, plant communities
State 3 submodel, plant communities
3.1a | - | Wildfire |
---|---|---|
3.2a | - | Lack of fire |