
Natural Resources
Conservation Service
Ecological site R034BY130UT
Desert Shallow Sandy Loam (Shadscale)
Last updated: 3/05/2022
Accessed: 10/21/2025
General information
Provisional. A provisional ecological site description has undergone quality control and quality assurance review. It contains a working state and transition model and enough information to identify the ecological site.
MLRA notes
Major Land Resource Area (MLRA): 034B–Warm Central Desertic Basins and Plateaus
MLRA 34B occurs in is in Utah (70 percent) and Colorado (30 percent). It makes up about 12,850 square miles (33,290 square kilometers). A small part of the area is in the High Plateaus of Utah Section of the Colorado Plateaus Province of the Intermontane Plateaus. The northern part of the MLRA occurs in the Uinta Basin Section, which is bounded by the Uinta Mountains to the north, the Wasatch Range to the west, the Roan Plateau to the south, and the Rabbit Hills to the east. The southern part of the MLRA occurs in the northern third of the Canyon Lands Section. This section is bounded by the Roan Plateau to the north, the Wasatch Plateau to the west, the southern end of the San Rafael Swell to the south, and the western slope of the Rocky Mountains to the east. Elevation ranges from 4,100 feet (1,250 meters) near Green River, Utah, to 7,500 feet (2,285 meters) at the base of the Wasatch Range and the Roan Plateau.
Most of this area is covered by residual basin-floor materials and materials washed in from the surrounding mountains and plateaus. Shale and sandstone are the dominant rock types. The Tertiary-age Green River, Uinta, and Duchesne Formations dominate the northern part of the MLRA. The southern part is dominated by Cretaceous-age materials with lesser amounts of Jurassic and Triassic materials. The dominant Cretaceous formations are Mancos Shale, Dakota Sandstone, and the members of the Mesa Verde Group. The dominant Jurassic formations are the Morrison, Entrada, and Navajo. The dominant Triassic formations are the Chinle and Moenkopi. Quaternary alluvial, eolian, and glacial deposits occur in both parts of the MLRA.
The average annual precipitation in most of this area ranges from 6 to 10 inches (150 to 255 millimeters). A small part of this area receives as much as 24 inches of annual precipitation.
Much of the precipitation occurs as high-intensity, convective thunderstorms during the period July through September. May and June are usually the drier months. Precipitation is more evenly distributed throughout the year in the northern part of the MLRA than in the southern part, where there is a significant peak in late summer. The northern part of the MLRA receives more precipitation as snow during winter than the southern part. The average annual temperature ranges from 41 to 54 degrees F (5 to 12 degrees C). The freeze-free period averages 170 days and ranges from 110 to 235 days.
The dominant soil orders in this MLRA are Aridisols and Entisols. Mollisols occur at the higher elevations, particularly in the northern part of the MLRA. The dominant soil temperature regime is mesic, and the dominant soil moisture regime is aridic. The soils receiving less than 8 inches (205 millimeters) of precipitation annually have an aridic soil moisture regime. The soils receiving 8 to 12 inches (205 to 305 millimeters) have an aridic soil moisture regime that borders on ustic. The soils receiving 12 to 16 inches (305 to 405 millimeters) generally have an ustic soil moisture regime that borders on aridic. The dominant soil mineralogy is mixed and soils are formed in slope alluvium or residuum derived from shale or sandstone. Many of the soils are shallow or moderately deep to shale or sandstone bedrock. The soils at the lower elevations generally have significant amounts of calcium carbonate, salts, and gypsum.
Ecological site concept
The soils of this site formed mostly in slope alluvium over residuum weathered from calcareous sandstone. Surface soils are very cobbly fine sandy loam, channery fine sandy loam to gravelly fine sandy loam in texture. Rock fragments may be present on the soil surface and throughout the profile, but generally make up less than 50 percent of the soil volume. These soils are shallow, well to somewhat excessively drained, and have a moderate to moderately rapid permeability. pH is slightly to strongly alkaline. Available water-holding capacity ranges from 0.5 to 1 inches of water in the upper 20 inches of soil. The soil moisture regime is typic aridic and the soil temperature regime is mesic. Precipitation ranges from 5-8 inches annually.
Table 1. Dominant plant species
Tree |
Not specified |
---|---|
Shrub |
(1) Atriplex confertifolia |
Herbaceous |
Not specified |
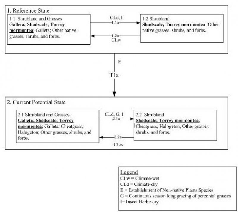
Click on box and path labels to scroll to the respective text.