
Natural Resources
Conservation Service
Ecological site R026XY052NV
SHALLOW LOAM 16+ P.Z.
Last updated: 4/10/2024
Accessed: 10/19/2025
General information
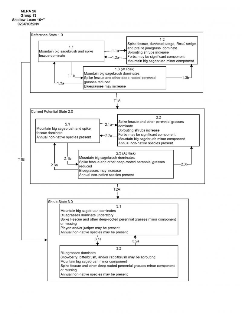
Provisional. A provisional ecological site description has undergone quality control and quality assurance review. It contains a working state and transition model and enough information to identify the ecological site.
MLRA notes
Major Land Resource Area (MLRA): 026X–Carson Basin and Mountains
The area lies within western Nevada and eastern California, with about 69 percent being within Nevada, and 31 percent being within California. Almost all this area is in the Great Basin Section of the Basin and Range Province of the Intermontane Plateaus. Isolated north-south trending mountain ranges are separated by aggraded desert plains. The mountains are uplifted fault blocks with steep side slopes. Most of the valleys are drained by three major rivers flowing east across this MLRA. A narrow strip along the western border of the area is in the Sierra Nevada Section of the Cascade-Sierra Mountains Province of the Pacific Mountain System. The Sierra Nevada Mountains are primarily a large fault block that has been uplifted with a dominant tilt to the west. This structure leaves an impressive wall of mountains directly west of this area. This helps create a rain shadow affect to MLRA 26. Parts of this eastern face, but mostly just the foothills, mark the western boundary of this area. Elevations range from about 3,806 feet (1,160 meters) on the west shore of Pyramid Lake to 11,653 feet (3,552 meters) on the summit of Mount Patterson in the Sweetwater Mountains.
Valley areas are dominantly composed of Quaternary alluvial deposits with Quaternary playa or alluvial flat deposits often occupying the lowest valley bottoms in the internally drained valleys, and river deposited alluvium being dominant in externally drained valleys. Hills and mountains are dominantly Tertiary andesitic flows, breccias, ash flow tuffs, rhyolite tuffs or granodioritic rocks. Quaternary basalt flows are present in lesser amounts, and Jurassic and Triassic limestone and shale, and Precambrian limestone and dolomite are also present in very limited amounts. Also of limited extent are glacial till deposits along the east flank of the Sierra Nevada Mountains, the result of alpine glaciation.
The average annual precipitation in this area is 5 to 36 inches (125 to 915 millimeters), increasing with elevation. Most of the rainfall occurs as high-intensity, convective storms in spring and autumn. Precipitation is mostly snow in winter. Summers are dry. The average annual temperature is 37 to 54 degrees F (3 to 12 degrees C). The freeze-free period averages 115 days and ranges from 40 to 195 days, decreasing in length with elevation.
The dominant soil orders in this MLRA are Aridisols and Mollisols. The soils in the area dominantly have a mesic soil temperature regime, an aridic or xeric soil moisture regime, and mixed or smectitic mineralogy. They generally are well drained, are clayey or loamy and commonly skeletal, and are very shallow to moderately deep.
This area supports shrub-grass vegetation characterized by big sagebrush. Low sagebrush and Lahontan sagebrush occur on some soils. Antelope bitterbrush, squirreltail, desert needlegrass, Thurber needlegrass, and Indian ricegrass are important associated plants. Green ephedra, Sandberg bluegrass, Anderson peachbrush, and several forb species also are common. Juniper-pinyon woodland is typical on mountain slopes. Jeffrey pine, lodgepole pine, white fir, and manzanita grow on the highest mountain slopes. Shadscale is the typical plant in the drier parts of the area. Sedges, rushes, and moisture-loving grasses grow on the wettest parts of the wet flood plains and terraces. Basin wildrye, alkali sacaton, saltgrass, buffaloberry, black greasewood, and rubber rabbitbrush grow on the drier sites that have a high concentration of salts.
Some of the major wildlife species in this area are mule deer, coyote, beaver, muskrat, jackrabbit, cottontail, raptors, pheasant, chukar, blue grouse, mountain quail, and mourning dove. The species of fish in the area include trout and catfish. The Lahontan cutthroat trout in the Truckee River is a threatened and endangered species.
LRU notes
The Sierra Influenced Ranges LRU is characterized by wooded great basin mountains with climatic and biotic affinities to the Sierra Nevada mountain range. The Sierra Influences Ranges LRU receives greater precipitation that the mountain ranges of central NV. Amount of precipitation varies in relation to the local strength of the Sierra NV rain shadow, characterized by pinyon and juniper trees. The White, Sweetwater, Pine Nut, Wassuk, and Virginia ranges of Nevada support varying amounts of Sierra Nevada flora, such as ponderosa pine. Elevations range from 1610 to 2420 meters and slopes range from 5 to 49 percent, with a median value of 22 percent. Frost free days (FFD) ranges from 92 to 163.
Ecological site concept
This site occurs on high mountain slopes of mostly northerly aspect. Slopes range from 15 to 50 percent. Elevations are 7800 to over 10000 feet. The soils are very deep to bedrock and well drained. Some soils are modified by high volumes of rock fragments throughout the soil profile. These soils provide a cool, moist environment for plant growth because of the elevations and steep northerly exposures where they occur. The dominant plants are mountain big sagebrush (Artemisia tridentata ssp. vaseyana), slender buckwheat (Eriognum microthecum), spike fescue (Festuca kingii), prairie Junegrass (Koeleria macrantha).
Associated sites
R026XY039NV |
CLAYPAN 14+ P.Z. |
---|---|
R026XY056NV |
SOUTH SLOPE 16+ P.Z. |
R026XY028NV |
MOUNTAIN RIDGE |
R026XY038NV |
LOAMY SLOPE 14+ P.Z. |
Similar sites
R026XY053NV |
LOAMY 16+ P.Z. BRMA4-ACHNA spp. codominant grasses: more productive site |
---|---|
R026XY008NV |
GRANITIC FAN 10-12 P.Z. HECO26-ACHY codominant |
R026XY005NV |
LOAMY 12-14 P.Z. LEKI2 rarely present; more productive site |
R026XY046NV |
GRANITIC SLOPE 12-14 P.Z. LEKI2 minor spp. if present; granitic parent material |
R026XY056NV |
SOUTH SLOPE 16+ P.Z. ACLE9-ACOCO codominant grasses with LEKI2; PUTR2 important shrub |
R026XY084NV |
DEEP LOAMY 14+ P.Z. ACOCO-PONE3 codominant |
R026XY038NV |
LOAMY SLOPE 14+ P.Z. LEKI2 minor spp. if present |
R026XY040NV |
GRAVELLY LOAM 14+ P.Z. LEKI2 minor spp. if present |
R026XY006NV |
GRANITIC LOAM 14+ P.Z. Soils derived from granitic parent materials |
R026XY082NV |
MOUNTAIN LOAM 16+ P.Z. ACPI2-KOMA codominant grasses with ACLE9 |
R026XY018NV |
GRANITIC SOUTH SLOPE 10-12 P.Z. ACTH7-ACOCO codominant |
R026XY089NV |
SOUTH SLOPE 12-14 P.Z. Less productive site |
R026XY048NV |
LOAMY SLOPE 12-14 P.Z. ACTH7-ACOCO codominant; PUTR2 codominant shrub |
R026XY076NV |
MOUNTAIN SHOULDERS 16+ P.Z. ACLE9 dominant grass; less productive site |
R026XY079NV |
GRANITIC SOUTH SLOPE 14+ P.Z. ACOCO-ACLE9 codominant |
Table 1. Dominant plant species
Tree |
Not specified |
---|---|
Shrub |
(1) Artemisia tridentata ssp. vaseyana |
Herbaceous |
(1) Festuca kingii |
Click on box and path labels to scroll to the respective text.