
Natural Resources
Conservation Service
Ecological site R026XY049NV
MOUNTAIN BASIN
Last updated: 4/10/2024
Accessed: 10/22/2025
General information
Provisional. A provisional ecological site description has undergone quality control and quality assurance review. It contains a working state and transition model and enough information to identify the ecological site.
MLRA notes
Major Land Resource Area (MLRA): 026X–Carson Basin and Mountains
The area lies within western Nevada and eastern California, with about 69 percent being within Nevada, and 31 percent being within California. Almost all this area is in the Great Basin Section of the Basin and Range Province of the Intermontane Plateaus. Isolated north-south trending mountain ranges are separated by aggraded desert plains. The mountains are uplifted fault blocks with steep side slopes. Most of the valleys are drained by three major rivers flowing east across this MLRA. A narrow strip along the western border of the area is in the Sierra Nevada Section of the Cascade-Sierra Mountains Province of the Pacific Mountain System. The Sierra Nevada Mountains are primarily a large fault block that has been uplifted with a dominant tilt to the west. This structure leaves an impressive wall of mountains directly west of this area. This helps create a rain shadow affect to MLRA 26. Parts of this eastern face, but mostly just the foothills, mark the western boundary of this area. Elevations range from about 3,806 feet (1,160 meters) on the west shore of Pyramid Lake to 11,653 feet (3,552 meters) on the summit of Mount Patterson in the Sweetwater Mountains.
Valley areas are dominantly composed of Quaternary alluvial deposits with Quaternary playa or alluvial flat deposits often occupying the lowest valley bottoms in the internally drained valleys, and river deposited alluvium being dominant in externally drained valleys. Hills and mountains are dominantly Tertiary andesitic flows, breccias, ash flow tuffs, rhyolite tuffs or granodioritic rocks. Quaternary basalt flows are present in lesser amounts, and Jurassic and Triassic limestone and shale, and Precambrian limestone and dolomite are also present in very limited amounts. Also of limited extent are glacial till deposits along the east flank of the Sierra Nevada Mountains, the result of alpine glaciation.
The average annual precipitation in this area is 5 to 36 inches (125 to 915 millimeters), increasing with elevation. Most of the rainfall occurs as high-intensity, convective storms in spring and autumn. Precipitation is mostly snow in winter. Summers are dry. The average annual temperature is 37 to 54 degrees F (3 to 12 degrees C). The freeze-free period averages 115 days and ranges from 40 to 195 days, decreasing in length with elevation.
The dominant soil orders in this MLRA are Aridisols and Mollisols. The soils in the area dominantly have a mesic soil temperature regime, an aridic or xeric soil moisture regime, and mixed or smectitic mineralogy. They generally are well drained, are clayey or loamy and commonly skeletal, and are very shallow to moderately deep.
This area supports shrub-grass vegetation characterized by big sagebrush. Low sagebrush and Lahontan sagebrush occur on some soils. Antelope bitterbrush, squirreltail, desert needlegrass, Thurber needlegrass, and Indian ricegrass are important associated plants. Green ephedra, Sandberg bluegrass, Anderson peachbrush, and several forb species also are common. Juniper-pinyon woodland is typical on mountain slopes. Jeffrey pine, lodgepole pine, white fir, and manzanita grow on the highest mountain slopes. Shadscale is the typical plant in the drier parts of the area. Sedges, rushes, and moisture-loving grasses grow on the wettest parts of the wet flood plains and terraces. Basin wildrye, alkali sacaton, saltgrass, buffaloberry, black greasewood, and rubber rabbitbrush grow on the drier sites that have a high concentration of salts.
Some of the major wildlife species in this area are mule deer, coyote, beaver, muskrat, jackrabbit, cottontail, raptors, pheasant, chukar, blue grouse, mountain quail, and mourning dove. The species of fish in the area include trout and catfish. The Lahontan cutthroat trout in the Truckee River is a threatened and endangered species.
LRU notes
The Bodie Hills LRU straddles the California-Nevada state boundary, just north of Mono Lake. The area is underlain by late Miocene age volcanic fields with upper Miocene and Pliocene sedimentary deposits over top. The youngest faults in the area are north and north-east striking. Extensive zones of hydrothermally altered rocks and large mineral deposits, including gold and silver rich veins, formed during hydrothermally active periods of the Miocene (John et al. 2015). A primary distinguishing factor between the Bodie Hills and other hills in MLRA 26 is the dominance of volcanic parent material. Elevations range from 2170 to 2650 meters and slopes typically range from 5 to 35 percent. FFD range from 75-105.
Ecological site concept
The Mountain Basin ecological site is located in depressions on mountains, flood plains, and stream terraces. The Mountain Basin is found on slopes less than 4 percent at elevations between 7,200 and 9,200 feet. The dominant vegetation is silver sagebrush (Artemisia cana), needlegrass (Achnatherum), and mat muhly (Muhlenbergia richardsonis).
Associated sites
R026XY005NV |
LOAMY 12-14 P.Z. |
---|---|
R026XY006NV |
GRANITIC LOAM 14+ P.Z. |
R026XY055NV |
DRY MEADOW |
Similar sites
R026XY037NV |
CLAY BASIN PONE3-LETR5 codominant grasses; soils are clayey. This site occurs on intermountain basins with slopes from 0 to 2 percent and at elevations of 5,000 to 7,000 feet. Like the modal site, silver sagebrush is the dominant shrub but the dominant grasses are Nevada bluegrass (Poa nevadensis) and creeping wildrye (Leymus triticoides). Production is greater than the modal site with 800 lbs/acre in a normal year. The soils on this site are moderately well to somewhat poorly drained. |
---|---|
R026XY036NV |
WET CLAY BASIN JUBA-MURI codominant plants; soils are clayey |
Table 1. Dominant plant species
Tree |
Not specified |
---|---|
Shrub |
(1) Artemisia cana |
Herbaceous |
(1) Achnatherum |
Physiographic features
This site occurs on depressional areas within intermountain valleys on mountains, flood plains, and stream terraces. Slopes range from 0 to 4 percent. Elevations are 7200 to 9200 feet.
Table 2. Representative physiographic features
Landforms |
(1)
Mountain
(2) Flood plain (3) Stream terrace |
---|---|
Elevation | 7,200 – 9,200 ft |
Slope | 4% |
Aspect | Aspect is not a significant factor |
Climatic features
The climate is dry, with warm summers and moist, cold winters. Average annual precipitation is 12 to 16 inches. Mean annual air temperature is 43 to 46 degrees F. The average growing season is about 60 to 80 days.
Nevada’s climate is predominantly arid, with large daily ranges of temperature, infrequent severe storms, heavy snowfall in the higher mountains, and great location variations with elevation. Three basic geographical factors largely influence Nevada’s climate: continentality, latitude, and elevation. Continentality is the most important factor. The strong continental effect is expressed in the form of both dryness and large temperature variations. Nevada lies on the eastern, lee side of the Sierra Nevada Range, a massive mountain barrier that markedly influences the climate of the State. The prevailing winds are from the west, and as the warm moist air from the Pacific Ocean ascend the western slopes of the Sierra Range, the air cools, condensation occurs and most of the moisture falls as precipitation. As the air descends the eastern slope, it is warmed by compression, and very little precipitation occurs. The effects of this mountain barrier are felt not only in the West but throughout the state, with the result that the lowlands of Nevada are largely desert or steppes. The temperature regime is also affected by the blocking of the inland-moving maritime air. Nevada sheltered from maritime winds, has a continental climate with well-developed seasons and the terrain responds quickly to changes in solar heating.
Nevada lies within the mid-latitude belt of prevailing westerly winds which occur most of the year. These winds bring frequent changes in weather during the late fall, winter and spring months, when most of the precipitation occurs. To the south of the mid-latitude westerlies, lies a zone of high pressure in subtropical latitudes, with a center over the Pacific Ocean. In the summer, this high-pressure belt shifts northward over the latitudes of Nevada, blocking storms from the ocean. The resulting weather is mostly clear and dry during the summer and early fall, with scattered thundershowers. The eastern portion of the state receives significant summer thunderstorms generated from monsoonal moisture pushed up from the Gulf of California, known as the North American monsoon. The monsoon system peaks in August and by October the monsoon high over the Western U.S. begins to weaken and the precipitation retreats southward towards the tropics (NOAA 2004).
Table 3. Representative climatic features
Frost-free period (characteristic range) | |
---|---|
Freeze-free period (characteristic range) | |
Precipitation total (characteristic range) | 12-16 in |
Frost-free period (average) | 70 days |
Freeze-free period (average) | |
Precipitation total (average) | 14 in |
Figure 1. Monthly precipitation range
Figure 2. Monthly average minimum and maximum temperature
Figure 3. Annual precipitation pattern
Figure 4. Annual average temperature pattern
Influencing water features
There are no influencing water features associated with this site.
Soil features
The soils associated with this site are deep and formed in colluvium derived from andesite or tuff breccia with additions of volcanic ash. They have a very low available water capacity. Flooding commonly occurs in areas along intermittent drainages. Overland flow is common as run-off from higher landforms. Runoff is high to very high and the potential for sheet and rill erosion is moderate. Degraded vegetative conditions lead to active gully erosion in drainages. The soil series associated with this site include Oldgrade, Baldy variant, and Bodiecreek.
Table 4. Representative soil features
Parent material |
(1)
Colluvium
–
andesite
(2) Colluvium – tuff breccia (3) Alluvium |
---|---|
Surface texture |
(1) Ashy sandy loam (2) Silt loam |
Family particle size |
(1) Ashy (2) Fine-silty |
Drainage class | Moderately well drained to well drained |
Permeability class | Moderate |
Surface fragment cover <=3" | 10% |
Surface fragment cover >3" | Not specified |
Available water capacity (0-40in) |
5.9 – 6.9 in |
Calcium carbonate equivalent (0-40in) |
1% |
Electrical conductivity (0-40in) |
2 mmhos/cm |
Sodium adsorption ratio (0-40in) |
Not specified |
Soil reaction (1:1 water) (0-40in) |
6.1 – 7.3 |
Subsurface fragment volume <=3" (Depth not specified) |
10 – 29% |
Subsurface fragment volume >3" (Depth not specified) |
8% |
Ecological dynamics
Ecological Dynamics and Disturbance Response:
An ecological site is the product of all the environmental factors responsible for its development, and it has a set of key characteristics that influence a site’s resilience to disturbance and resistance to invasive species. Key characteristics include 1) climate (precipitation, temperature), 2) topography (aspect, slope, elevation, and landform), 3) hydrology (infiltration, runoff), 4) soils (depth, texture, structure, organic matter), 5) plant communities (functional groups, productivity), and 6) natural disturbance regime (fire, herbivory, etc.) (Caudle et al. 2013). Biotic factors that that influence resilience include site productivity, species composition and structure, and population regulation and regeneration (Chambers et al. 2013).
The sites in this group are driven primarily by hydrology (sites included in this group are R026XY037NV and R026XF062CA). Sites included in this group will have the same or similar response to disturbances and have very similar state and transition models. Various states or phases may exist at once, if some areas are ponded and some remain dry depending on annual precipitation. Within a state, these patterns should be considered natural and not necessarily a product of degradation.
Periodic drought regularly influences sagebrush ecosystems and drought duration and severity has increased throughout the 20th century in much of the Intermountain West. Major shifts away from historical precipitation patterns have the greatest potential to alter ecosystem function and productivity (Snyder et al. 2019). Species composition and productivity can be altered by the timing of precipitation and water availability with the soil profile (Bates et al. 2006).
The Great Basin sagebrush communities have high spatial and temporal variability in precipitation, both among years and within growing seasons. The Mountain Basin ecological site is subject to both periodic drought and flooding, which influence the vegetative community from year to year. Many of these sites have been altered since settlement times through changes in the hydrologic function of the basin. Ditches or flow path development within the site can lower water table, potentially decreasing the silver sagebrush community and transitioning the site to a drier, Wyoming big sagebrush plant community.
Silver sagebrush is often found on deep, poorly drained, often flooded, alluvial soils high in clay with a seasonally high water table. Silver sagebrush is an evergreen shrub that often forms colonies from a system of extensive rhizomes (Stubbendieck et al. 1992). The root system of silver sagebrush consists of a taproot with lateral roots and rhizomes, usually located within a few inches of the soil surface. Silver sagebrush is the most vigorous sprouter of all sagebrush (Wright et al. 1979); it is able to sprout from roots, rhizomes, and the root crown after disturbance (Ellison and Woolfolk 1937, Whitson et al. 1999, Blaisdell et al. 1982). It has been known to readily layer, meaning it can generate adventitious roots from branches touching soil (Blaisdell et al. 1982). Silver sagebrush is also capable of reproducing by seeds (Whitson 1999).
Silver sagebrush is susceptible to the herbicides 2, 4-D and 2,4,5-T, which have been used to reduce silver sagebrush cover in order to increase native grass production (Cornelius and Graham 1958, Hormay et al. 1962, Kachergis et al. 2014). Kachergis et al. (2014) found silver sagebrush returned to pre-spray levels within 50 years after spraying. They also found an initial increase in palatable native perennial grasses shortly after herbicide spraying combined with reduced stocking rates.
Silver sagebrush is a host species for the sagebrush defoliator, Aroga moth (Aroga websteri) (Henry 1961, Gates 1964, Hall 1965), but it remains unclear whether the moth causes significant damage or mortality to individual or entire stands of plants. Severe drought has been known to kill the crowns of entire stands of silver sagebrush, however after release from drought it can rapidly regrow due to its vigorous sprouting ability (Ellison and Woolfolk 1937).
Letterman needlegrass is an erect, densely-tufted perennial bunchgrass that forms large clumps. It is found on dry to moist soils in a variety of vegetation communities, including high elevation meadows, subalpine grasslands, the understory of aspen stands, and in sagebrush communities. It grows best on loamy soils with greater than 20 cm depth (Dittberner and Olson 1983).
Western wheatgrass is a rhizomatous grass that is capable of spreading vegetatively and thrives in disturbed soil (Cronquist et al. 1994). Mat muhly, a warm-season strongly rhizomatous perennial grass is also highly resistant to disturbance and usually grows in loose clumps or mats (USDA 1988, Penskar and Higman 1999, Schultz 2002). Mat muhly reproduces by seed or rhizomes. Mat muhly can be found on dry to moist sites and often persists in an area for many years after hydrological modifications lower the water table (USDA 1988).
This ecological site has moderate resilience to disturbance and resistance to invasion. Significant year-to-year variation in ponding and depth to water table are primary drivers for above-ground biomass production. Surface alteration, prolonged drought, or prolonged flooding decreases resilience and increases the probability of annual or perennial weed invasion. Three possible stable states have been identified for this DRG.
Fire Ecology:
Silver sagebrush is an evergreen shrub that often forms colonies from a system of extensive rhizomes (Stubbendieck et al. 1992). Silver sagebrush has been found to be less sensitive to fire than other sagebrush species due to its ability to sprout. The root system of silver sagebrush consists of a taproot with lateral roots and rhizomes, usually located within a few inches of the soil surface. Rhizome length of plains silver sagebrush in Montana averaged 1.1 m (3.4 ft). Silver sagebrush is the most vigorous sprouter of all sagebrush (Britton and Wright 1979). It is able to sprout from roots, rhizomes, and the root crown after disturbance (Ellison and Woolfolk 1937, Whitson 1999, (Blaisdell et al. 1982). Silver sagebrush has spreading rhizomes underground and sprouts after fire (Cronquist et al. 1994, Blaisdell 1982). Silver sagebrush is also capable of reproducing by seed (Whitson 1999). Seedling establishment can occur in the years after fire if the growing season is favorably wet (Wambolt et al. 1989). Survival and resprouting ability of silver sagebrush is considerably greater in the spring versus the fall (White and Currie 1983). As burn intensity increases, regrowth of silver sagebrush plants decreases (White and Currie 1983). Fall burning resulted in mortality of 40 to >70% of the silver sagebrush plants, suggesting summer wildfires could cause substantial stand death. Post-fire recovery and resilience is primarily influenced by pre-fire site conditions, fire severity, and post-fire weather and land use that relate to vegetation recovery. Sites with low abundances of native perennial grasses and forbs typically have reduced resiliency following disturbance and are less resistant to invasion or increases in cheatgrass or other weedy species (Miller et al. 2013).
Fire return intervals for silver sagebrush largely depend on the fire intervals of surrounding vegetation communities. Usually this silver sagebrush ecological site is a smaller pocket in a large landscape of Wyoming big sagebrush. Thus, fire return intervals for Ashy Mountain Basin are probably similar to those estimated for Wyoming big sagebrush. Wyoming big sagebrush communities historically had low fuel loads, and patchy fires that burned in a mosaic pattern were common at 10-70 year return intervals (Young and Evans 1978, West and Hassan 1985, Bunting et al. 1987). Davies et al. (2006) suggest fire return intervals in Wyoming big sagebrush communities were around 50-100 years.
The non-modal site, Ashy Mountain Basin (R026XF062CA), is typically found in a larger setting of mountain big sagebrush (Artemisia tridentata var. vaseyana). Mountain big sagebrush systems are estimated to have burned more often than lower-elevation Wyoming big sagebrush sites. Pre-settlement fire return intervals in mountain big sagebrush communities varied from 15 to 25 years (Burkhardt and Tisdale 1969, Houston 1973, Miller and Tausch 2000).
The effect of fire on bunchgrasses relates to culm density, culm-leaf morphology, and the size of the plant. The initial condition of bunchgrasses within the site along with seasonality and intensity of the fire all factor into the individual species response. For most forbs and grasses the growing points are located at or below the soil surface providing relative protection from disturbances which decrease above ground biomass, such as grazing or fire. Thus, fire mortality is more correlated to duration and intensity of heat which is related to culm density, culm-leaf morphology, size of plant and abundance of old growth (Wright 1971, Young 1983).
The rhizomatous growth form of western wheatgrass makes it capable of surviving fire and may increase vegetative growth afterward (Bushey 1987, Wasser 1982). Mat muhly is resistant to damage from fire because the rhizome buds are insulated by soil (Benedict 1984). A few studies have observed that fire in the spring has stimulated flowering (Anderson and Bailey 1980, Pemble et al. 1981), however there is little other documentation of this plant’s fire response.
Livestock/Wildlife Grazing Interpretations:
Silver sagebrush, as with other sagebrush species, has been known to increase with grazing (Kachergis et al. 2014). The reduction of the herbaceous understory allows this shrub to increase and dominate these sites. Silver sagebrush can provide an important source of browse and is used by livestock and big game when other food sources are scarce (Kufeld et al. 1973, Wasser 1982, Cronquist et al. 1994). In fall and winter feeding trials, silver sagebrush was among the most preferred sagebrush species for mule deer and sheep (Sheehy and Winward 1981). However, silver sagebrush is an aggressive colonizer and can occupy areas at high densities, due to its ability to resprout from the crown and to spread by rhizomes (Monsen et al. 2004). Therefore, silver sagebrush can increase significantly under inappropriate grazing management on this site.
Needlegrasses are widely distributed throughout the U.S. but are most common in the Great Basin and Southwest. They have a high forage value specifically in the western ranges. When mature the foliage can become coarse and reduce the palatability of these grasses, however they remain green longer than other grasses and mature well, making them valuable forage for late fall and winter. The seeds of these grasses are mechanically injurious to grazing animals and can sometimes work into the tissues of the mouth, tongue, ears and nose of livestock and game animals (USDA 1988). Letterman’s needlegrass increases under grazing by sheep and decreases with cattle grazing (Ellison 1954, Ellison and Aldous 1952, Bowns and Bagley 1986).
Letterman’s needlegrass provides valuable forage for both livestock and wildlife (Taylor 2000). It begins growth early in the year and is available to be utilized when other grasses are not yet palatable, and is especially important fall forage for big game. (Monsen et al. 2004). Letterman’s needlegrass has been shown to increase under grazing by sheep and decreases under light grazing by cattle and horses (Bowns and Bagley 1986). It also declines when grazing is excluded for a long time (Turner 1969).
Western wheatgrass is a preferred feed for livestock and wildlife, but is not a very productive plant (Enevoldsen and Lewis 1978, Hafenrichter et al. 1968). It is short in stature and has sparse growth in low-water conditions. Compared to native bunchgrasses, western wheatgrass is not as palatable (Hafenrichter et al. 1968).
Mat muhly withstands heavy grazing because of its sod-forming growth form (USDA 1988). It is a short-statured plant with stems typically 3 to 8 inches long and many basal and stem leaves between one-half and two or more inches long (USDA 1988).
In general, inappropriate grazing by domestic livestock or feral horses can cause needlegrasses to decrease and mat muhly or western wheatgrass to initially increase. Continued deterioration may lead to a decrease in all deep-rooted grasses and an increase silver sagebrush.
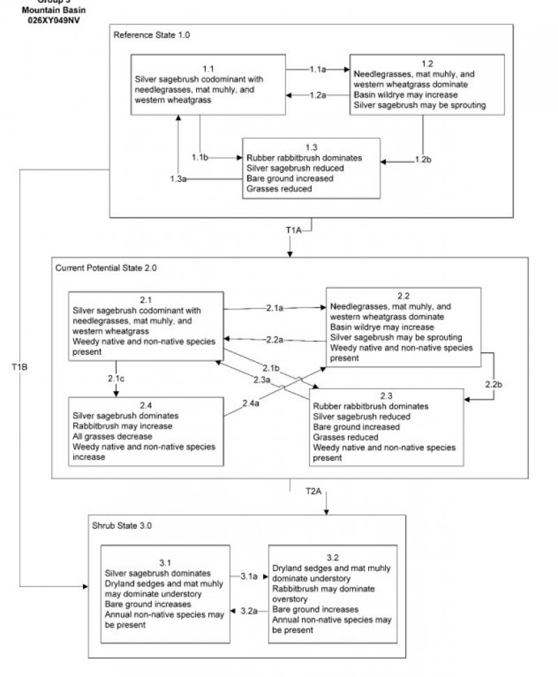
State and Transition Model Narrative Group 5
This is a text description of the states, phases, transitions, and community pathways possible in the State and Transition model for the MLRA 26 Disturbance Response Group 5.
Reference State 1.0:
The reference state 1.0 is a representative of the natural range of variability under pristine conditions. The reference state has three general community phases: a shrub-grass dominant phase, a perennial grass dominant phase and a shrub dominant phase. State dynamics are maintained by interactions between climatic patterns, hydrology and disturbance regimes. Negative feedbacks enhance ecosystem resilience and contribute to the stability of the state. These include the presence of all structural and functional groups, low fine fuel loads, and retention of organic matter and nutrients. Plant community phase changes are primarily driven by fire, periodic drought and/or insect or disease attack.
Community Phase 1.1:
This community is dominated by silver sagebrush and needlegrasses. Mat muhly and western wheatgrass can be significant components. Forbs and other grasses make up smaller components.
Community Phase Pathway 1.1a, from Phase 1.1 to 1.2:
Fire will top-kill silver sagebrush and allow for the perennial bunchgrasses and mat-forming grasses to increase. Fire severity is dependent on amount of fine fuels in the understory.
Community Phase Pathway 1.1b, from Phase 1.1 to 1.3:
Ponding reduces plant productivity and may allow rabbitbrush to dominate.
Community Phase 1.2:
This community phase is characteristic of a post-disturbance, early- to mid-seral community. Needlegrasses and other perennial grasses dominate. Silver sagebrush is reduced within the community after fire, but will be sprouting. Rabbitbrush and other sprouting shrubs may increase. Perennial forbs may be a significant component for a number of years following fire. If coming from a Phase 1.3 (post-flood), silver sagebrush will reestablish by seed.
Community Phase Pathway 1.2a, from Phase 1.2 to 1.1:
Time and lack of disturbance will allow sagebrush to increase.
Community Phase Pathway 1.2b, from Phase 1.2 to 1.3:
Prolonged ponding reduces plant productivity, causes silver sagebrush stress, and may allow rabbitbrush to dominate once the site dries.
Community Phase 1.3:
Rubber rabbitbrush becomes dominant after a wet year or years that result in ponded conditions. Bare ground increases and may dominate the visual aspect. Silver sagebrush and grasses are reduced.
Community Phase Pathway 1.3a, from Phase 1.3 to 1.1:
Release from ponded conditions allows silver sagebrush to dominate.
T1A: Transition from the Reference State 1.0 to Current Potential State 2.0
Trigger: This transition is caused by the introduction of non-native annual plants.
Slow variables: Over time the annual non-native species will increase within the community.
Threshold: Any amount of introduced non-native species causes an immediate decrease in the resilience of the site. Annual non-native species cannot be easily removed from the system and have the potential to significantly alter disturbance regimes from their historic range of variation.
T1B: Transition from the Reference State 1.0 to Sagebrush State 3.0
Trigger: Long term drought, incision, or other significant hydrological change that lowers the water table. May be coupled with lack of fire and inappropriate grazing management. Transition not associated with introduction of annual non-native species.
Slow Variables: Silver sagebrush is not capable of surviving with a low water table. Over time, plants die off and are not capable of reproducing in the drier soil conditions. Wyoming big sagebrush is able to populate the area. If coupled with inappropriate grazing management, needlegrasses are lost from excessive long-term use.
Threshold: Permanent lowering of the water table beyond the reach of silver sagebrush that results in mortality of adult plants.
Current Potential State 2.0:
This state is similar to the Reference State 1.0. Ecological function has not changed, however the resiliency of the state has been reduced by the presence of invasive weeds. This state has four general community phases: a shrub-grass dominant phase, a perennial grass dominant phase, a shrub dominant phase and a sprouting shrub dominant phase. These non-native species can be highly flammable and promote fire where historically fire had been infrequent. Negative feedbacks enhance ecosystem resilience and contribute to the stability of the state. These feedbacks include the presence of all structural and functional groups, low fine fuel loads, and retention of organic matter and nutrients. Positive feedbacks decrease ecosystem resilience and stability of the state. These include the non-natives’ high seed output, persistent seed bank, rapid growth rate, ability to cross pollinate, and adaptations for seed dispersal.
Community Phase 2.1:
This community phase is similar to the Reference State Community Phase 1.1, with the presence of non-native species in trace amounts. Silver sagebrush, needlegrasses and mat muhly dominate the site. Forbs and other shrubs and grasses make up smaller components of this site.
Community Phase Pathway 2.1a, from Phase 2.1 to 2.2:
Fire will top kill silver sagebrush and allow for the herbaceous community to increase. Fire severity is dependent on amount of fine fuels in the understory. Annual non-native species are likely to increase after fire.
Community Phase Pathway 2.1b, from Phase 2.1 to 2.3:
Ponding reduces plant productivity and may allow rabbitbrush to dominate.
Community Phase Pathway 2.1c, from Phase 2.1 to 2.4:
Time without disturbance such as fire. May be coupled with inappropriate grazing management.
Community Phase 2.2:
This community phase is characteristic of a post-disturbance, early/mid-seral community. Needlegrasses and other perennial bunchgrasses dominate. Silver sagebrush is reduced within the community post-fire, but will resprout. Rabbitbrush and other sprouting shrubs may increase. Perennial forbs may be a significant component for a number of years following fire. If coming from a Phase 2.3 (post-flood), silver sagebrush will reestablish by seed. Annual non-native species are stable or increasing within the community.
Community Phase Pathway 2.2a, from Phase 2.2 to 2.1:
Time and lack of disturbance and/or grazing management that favors the establishment and growth of sagebrush allows the shrub component to recover. Silver sagebrush sprouts and will be able to return to pre-burn levels quickly.
Community Phase Pathway 2.2b, from Phase 2.2 to 2.3:
Prolonged ponding reduces plant productivity, causes silver sagebrush stress, and may allow rabbitbrush to dominate once the site dries.
Community Phase 2.3:
Rubber rabbitbrush becomes dominant after a wet year or years that result in ponded conditions. Bare ground increases and may dominate the visual aspect. Silver sagebrush and bunchgrasses are reduced.
Community Phase Pathway 2.3a, from Phase 2.3 to 2.1:
Release from ponded conditions allows silver sagebrush to dominate.
Community Phase 2.4:
Sagebrush dominates the overstory and perennial bunchgrasses in the understory are reduced, either from competition with shrubs or from inappropriate grazing, or from both. Rabbitbrush may be a significant component. Mat muhly may increase. This site is susceptible to further degradation from grazing, drought, and fire.
Community Phase Pathway 2.4a, from Phase 2.4 to 2.2:
Fire will top kill silver sagebrush and allow for the herbaceous community to increase. Fire severity is dependent on amount of fine fuels in the understory.
T2A: Transition from Current Potential State 2.0 to Sagebrush State 3.0
Trigger: Long term drought, incision, or other significant hydrological change that lowers the water table. May be coupled with lack of fire and inappropriate grazing management. Transition not associated with introduction of annual non-native species.
Slow Variables: Silver sagebrush is not capable of surviving with a water table below the rooting zone during spring growing season. Over time, plants die off and are not capable of reproducing in the drier soil conditions. Big sagebrush (Artemisia tridentata) is able to populate the area. If coupled with inappropriate grazing management, needlegrasses are lost from excessive long-term use. Rhizomatous grasses or dryland sedge may become the dominant understory.
Threshold: Permanent lowering of the water table beyond the reach of silver sagebrush that results in mortality of adult plants.
Shrub State 3.0:
This state has two community phases, a silver sagebrush-dominated phase and a post-fire phase. Long-term inappropriate grazing management reduces or eliminates grazing-intolerant grasses like needlegrasses and basin wildrye. Repeated heavy utilization in the spring or season-long use is damaging to the bunchgrass community on this site. Shrubs and grazing-tolerant grasses and grass-likes become dominant. The loss of deep-rooted grasses reduces the amount and depth of organic matter that is cycled in the soil. Shrub cover exceeds site concept and may be decadent, reflecting stand maturity and lack of seedling establishment due to competition with mature plants. The shrub overstory and rhizomatous grass and/or sedge understory dominate site resources such that soil water, nutrient capture, nutrient cycling and soil organic matter are temporally and spatially redistributed.
Community Phase 3.1:
Decadent silver sagebrush dominates the overstory. Deep-rooted perennial bunchgrasses are present in only trace amounts or are absent from the community. Mat muhly, western wheatgrass, and dryland sedges increase. Bare ground may be significant. Annual non-native species may be present.
Community Phase Pathway 3.1a, from Phase 3.1 to 3.2:
Fire reduces cover and production of silver sagebrush. Rabbitbrush sprouts after fire and becomes the dominant shrub. Mat muhly, western wheatgrass, and sedges survive fire and increase in the understory.
Community Phase 3.2:
Mat muhly, western wheatgrass, and/or Douglas sedge dominate. Rubber rabbitbrush may be a significant component. Basin wildrye and needlegrasses are missing. Silver sagebrush may be sprouting.
Community Phase Pathway 3.2a, from Phase 3.2 to 3.1:
Time without disturbance allows silver sagebrush to again become dominant.
State and transition model
More interactive model formats are also available.
View Interactive Models
Click on state and transition labels to scroll to the respective text
Ecosystem states
State 1 submodel, plant communities
State 1
Reference Plant Community
Community 1.1
Reference Plant Community
The reference plant community is dominated by Letterman's and/or California needlegrass, mat muhly and silver sagebrush. Potential vegetative composition is about 65% grasses, 10% forbs and 25% shrubs. Approximate ground cover (basal and crown) is 15 to 30 percent.
Figure 5. Annual production by plant type (representative values) or group (midpoint values)
Table 5. Annual production by plant type
Plant type | Low (lb/acre) |
Representative value (lb/acre) |
High (lb/acre) |
---|---|---|---|
Grass/Grasslike | 260 | 390 | 520 |
Shrub/Vine | 100 | 150 | 200 |
Forb | 40 | 60 | 80 |
Total | 400 | 600 | 800 |
Additional community tables
Table 6. Community 1.1 plant community composition
Group | Common name | Symbol | Scientific name | Annual production (lb/acre) | Foliar cover (%) | |
---|---|---|---|---|---|---|
Grass/Grasslike
|
||||||
1 | Primary Perennial Grasses | 240–420 | ||||
Letterman's needlegrass | ACLE9 | Achnatherum lettermanii | 60–120 | – | ||
California needlegrass | ACOCC | Achnatherum occidentale ssp. californicum | 60–120 | – | ||
mat muhly | MURI | Muhlenbergia richardsonis | 90–120 | – | ||
western wheatgrass | PASM | Pascopyrum smithii | 30–60 | – | ||
2 | Secondary Perennial Grasses/Grasslikes | 30–90 | ||||
Indian ricegrass | ACHY | Achnatherum hymenoides | 3–18 | – | ||
sedge | CAREX | Carex | 3–18 | – | ||
needle and thread | HECOC8 | Hesperostipa comata ssp. comata | 3–18 | – | ||
rush | JUNCU | Juncus | 3–18 | – | ||
basin wildrye | LECI4 | Leymus cinereus | 3–18 | – | ||
Forb
|
||||||
3 | Perennial | 30–90 | ||||
gilia | GILIA | Gilia | 3–12 | – | ||
Rocky Mountain iris | IRMI | Iris missouriensis | 3–12 | – | ||
lupine | LUPIN | Lupinus | 3–12 | – | ||
phlox | PHLOX | Phlox | 3–12 | – | ||
deathcamas | ZIGAD | Zigadenus | 3–12 | – | ||
Shrub/Vine
|
||||||
4 | Primary Shrubs | 90–150 | ||||
silver sagebrush | ARCA13 | Artemisia cana | 90–150 | – | ||
5 | Secondary Shrubs | 12–48 | ||||
rubber rabbitbrush | ERNA10 | Ericameria nauseosa | 6–12 | – | ||
snowberry | SYMPH | Symphoricarpos | 6–12 | – |
Interpretations
Animal community
Livestock Interpretations:
This site is suited to livestock grazing. Grazing management should be keyed to needlegrass species and mat muhly. Young mat muhly is readily eaten by livestock. Plants become less palatable as they mature. Letterman’s needlegrass begins growth early in the year and remains green throughout the relatively long growing season, thus, making it valuable forage for livestock. Livestock use of silver sagebrush is variable depending upon availability of palatable herbs. Domestic sheep generally browse silver sagebrush more heavily than cattle. Livestock may actually make greater use of silver sagebrush when there is ample grass to go with it.
Stocking rates vary over time depending upon season of use, climate variations, site, and previous and current management goals. A safe starting stocking rate is an estimated stocking rate that is fine tuned by the client by adaptive management through the year and from year to year.
Wildife Interpretations:
Silver sagebrush provides valuable habitat and forage for wildlife. Deer, pronghorn, bighorn sheep, and sage-grouse browse the foliage. Mule deer may browse silver sagebrush heavily when other forage is dormant. Silver sagebrush is also important on fall and winter ranges. Needlegrass and mat muhly are important forage species for several wildlife species.
Hydrological functions
Runoff is high to very high. Permeability is moderately slow to moderate.
Recreational uses
Aesthetic value is derived from the diverse floral and faunal composition. This site offers rewarding opportunities to photographers and for nature study. This site is used for camping and hiking and has potential for upland and big game hunting.
Other products
Tribes of the Great Basin used silver sagebrush branches as a fuelbed for roasting pinyon pine cones. Many tribes use the branches in ceremonial rites.
Other information
Letterman’s needlegrass has been used successfully in revegetating mine spoils. This species also has good potential for erosion control. Silver sagebrush has potential as a soil stabilizer and for use in rangeland, wildlife and riparian restoration projects.
Supporting information
Type locality
Location 1: Mineral County, NV | |
---|---|
Township/Range/Section | T5N R29E S12 |
General legal description | Section 12, T5N. R29E. MDBM. Powell Mountain Basin, Mineral County, Nevada. This site also occurs in Carson City, Douglas, Lyon, Storey, and Washoe Counties, Nevada. |
Other references
Anderson, H. G. and A. W. Bailey. 1980. Effects of annual burning on grassland in the aspen parkland of east-central Alberta. Canadian Journal of Botany 58:985-996.
Bates, J. D., T. Svejcar, R. F. Miller, and R. A. Angell. 2006. The effects of precipitation timing on sagebrush steppe vegetation. Journal of Arid Environments 64:670-697.
Benedict, N. B. 1984. Classification and dynamics of subalpine meadow ecosystems in the southern Sierra Nevada. California riparian systems: Ecology, conservation, and productive management, edited by RE Warner and K. M. Hendrix:92-95.
Blaisdell, J. P., R. B. Murray, and E. D. McArthur. 1982. Managing Intermountain Rangelands -- sagebrush-grass ranges. U.S. Department of Agriculture, Forest Service, Intermountain Forest and Range Experiment Station, Ogden, UT.
Bowns, J. E., and C. F. Bagley. 1986. Vegetation responses to long-term sheep grazing on mountain ranges. Journal of Range Management 39:431-434.
Britton, C. M., and H. A. Wright. 1979. A portable burner for evaluating effects of fire on plants. Journal of Range Management 32:475-476.
Bunting, S. C., B. M. Kilgore, and C. L. Bushey. 1987. Guidelines for prescribed burning sagebrush-grass rangelands in the northern Great Basin. US Department of Agriculture, Forest Service, Intermountain Research Station Ogden, UT, USA.
Burkhardt, J. W., and E. W. Tisdale. 1969. Nature and successional status of western juniper vegetation in Idaho. Journal of Range Management 22:264-270.
Bushey, Charles L. 1987. Short-term vegetative response to prescribed burning in the sagebrush/grass ecosystem of the northern Great Basin; three years of postburn data from the demonstration of prescribed burning on selected Bureau of Land Management districts. Final Report. Cooperative Agreement 22-C-4-INT-33. Missoula, MT: Systems for Environmental Management. 77 p.
Caudle, D., J. DiBenedetto, M. Karl, H. Sanchez, and C. Talbot. 2013. Interagency Ecological Site Handbook for Rangelands. Page 110. USDA Natural Resources Conservation Service Washington, D.C. .
Chambers, J. C., B. A. Bradley, C. S. Brown, C. D’Antonio, M. J. Germino, J. B. Grace, S. P. Hardegree, R. F. Miller, and D. A. Pyke. 2013. Resilience to stress and disturbance, and resistance to Bromus tectorum L. invasion in cold desert shrublands of western North America. Ecosystems 17:360-375.
Chambers, J. C., B. A. Roundy, R. R. Blank, S. E. Meyer, and A. Whittaker. 2007. What makes great basin sagebrush ecosystems invasible by Bromus tectorum? Ecological Monographs 77:117-145.
Comstock, J. P., and J. R. Ehleringer. 1992. Plant adaptation in the Great Basin and Colorado plateau. The Great Basin Naturalist 52:195-215.
Cornelius, D. R., and C. A. Graham. 1958. Sagebrush control with 2,4-D. Journal of Range Management 11:122-125.Cronquist, A., A. H. Holmgren, N. H. Holmgren, J. L. Reveal, and P. K. Holmgren. 1994. Intermountain Flora Vascular Plants of the Intermountain West, U.S.A. The New York Botanical Garden, Bronx, New York.
Davies, K. W., J. D. Bates, and R. F. Miller. 2006. Vegetation characteristics across part of the Wyoming big sagebrush alliance. Rangeland Ecology & Management 59:567-575.
Dittberner, P.L.; Olsen, M.R. 1983. The Plant Information Network (PIN) database: Colorado, Montana, North Dakota, Utah, and Wyoming. FWS/OBS-83/36. Washington, DC: U.S. Department of Interior, Fish and Wildlife Service, Division of Biological Services, Research and Development, Western Energy and Land Use Team. 786 P.
Dobrowolski, J. P., M. M. Caldwell, and J. H. Richards. 1990. Basin hydrology and plant root systems. Pages 243-292 in C. B. Osmond, L. F. Pitelka, and G. M. Hidy, editors. Plant biology of the basin and range. Springer-Verlag, New York.
Ellison, L. 1954. Subalpine vegetation of the Wasatch Plateau, Utah. Ecological Monographs 24.
Ellison, L., and C. M. Aldous. 1952. Influence of pocket gophers on vegetation of subalpine grassland in central Utah. Ecology 33.
Ellison, L., and E. J. Woolfolk. 1937. Effects of drought on vegetation near Miles City, Montana. Ecology 18:329-336.
Enevoldsen, Myron E.; Lewis, James K. 1978. Effect of range site and range condition on height and location of the shoot apex in vegetative shoots of western wheatgrass. In: Hyder, Donald N., ed. Proceedings, 1st international rangeland congress; 1978 August 14-18; Denver, CO. Denver, CO: Society for Range Management: 387-391.
Gates, D. H. 1964. Sagebrush infested by leaf defoliating moth. Journal of Range Management Archives 17:209-210.
Hafenrichter, A. L., J. L. Schwendiman, H. L. Harris, R. S. MacLauchlan, H. W. Miller. 1968. Grasses and Legumes for Soil Conservation in the Pacific Northwest and Great Basin States. Agric. Handb. 339. Washington, DC: U.S. Department of Agriculture, Soil Conservation Service. 69 p.
Hall, R. C. 1965. Sagebrush defoliator outbreak in Northern California. Res. Note PSW-RN-075., Berkeley, CA.
Henry, J. E. 1961. Biology of the sagebrush defoliator Aroga websteri Clarke in Idaho. University of Idaho, Moscow, Idaho.
Hitchcock, A. S. 1950. Manual of the grasses of the United States. USDA, Washington, DC.
Hormay, A.L., Alberico, F.J., Lord, P.B., 1962. Experiences with 2,4-D Spraying on the Lassen National Forest. Journal of Range Management 15, 325. https://doi.org/10.2307/3894765
Houston, D. B. 1973. Wildfires in northern Yellowstone National Park. Ecology 54:1111-1117.
Jensen, M. E. 1990. Interpretation of environmental gradients which influence sagebrush community distribution in northeastern Nevada. Journal of Range Management 43:161-167.
Kachergis, E., M. E. Rocca, and M. E. Fernández-Giménez. 2014. Long-term vegetation change provides evidence for alternate states in silver sagebrush. Rangeland Ecology & Management 67:183-194.
Kufeld, R., O.C. Wallmo, and C. Feddema. 1973. Foods of the Rocky Mountain mule deer. Research paper RM-111. USDA, Forest Service, Rocky Mountain Forest and Range Experiment Station, Fort Collins, CO 31 p.
Miller, R. F., and R. J. Tausch. 2000. The role of fire in pinyon and juniper woodlands: a descriptive analysis. Pages 15-30 in Proceedings of the invasive species workshop: the role of fire in the control and spread of invasive species. Fire conference.
Miller, R.F., J.C. Chambers, D.A. Pyke, F.B. Pierson, and C.J. Williams. 2013. A review of fire effects on vegetation and soils in the Great Basin region: response and ecological site characteristics. Gen. Tech. Rep. RMRS-GTR-308. Fort Collins, CO: U.S. Department of Agriculture, Forest Service, Rocky Mountain Research Station. 126 p.
Monsen, S.B., R. Stevens, N.L. Shaw, comps. 2004. Restoring western ranges and wildlands. Gen. Tech. Rep. RMRS-GTR-136-vol-2. Fort Collins, CO: U.S. Department of Agriculture, Forest Service, Rocky Mountain Research Station. Pages 295-698 plus index.
Pemble, R., G. Van Amburg, and L. Mattson. 1981. Intraspecific variation in flowering activity following a spring burn on a northwestern Minnesota prairie. Pages 235-240 in Proc N Am Prairie Conf.
Penskar, M. R., and P. J. Higman. 1999. Special plant abstract for Muhlenbergia richardsonis (mat muhly). Page 2 in Michigan Natural Features Inventory (editor). Lansing, MI.
Richards, J. H., and M. M. Caldwell. 1987. Hydraulic lift: Substantial nocturnal water transport between soil layers by Artemisia tridentata roots. Oecologia 73:486-489.
Schultz, J. 2002. Conservation Assessment for Mat Muhly (Muhlenbergia richardsonis) (Trin.) Rydb. . USDA Forest Service, Eastern Region, Excanaba, MI.
Sheehy, D. P. and H. Winward. 1981. Relative Palatability of Seven Artemisia Taxa to Mule Deer and Sheep. Journal of Range Management 34:397-399.
Snyder, K. A., L. Evers, J. C. Chambers, J. Dunham, J. B. Bradford, and M. E. Loik. 2019.
Effects of changing climate on the hydrological cycle in cold desert ecosystems of the Great Basin and Columbia Plateau. Rangeland Ecology & Management 72(1):1-12.
Stubbendieck, J. L., S. L. Hatch, and C. H. Butterfield. 1992. North American range plants. University of Nebraska Press, Lincoln, NE.
USDA, Forest Service. 1988. Range Plant Handbook. Dover Publications, Inc. N.Y. 816 p.
Wambolt, C. L., T. Walton, and R. S. White. 1989. Seed dispersal characteristics of plains silver sagebrush. Prairie Naturalist 21:113-118.
Wasser, Clinton H. 1982. Ecology and culture of selected species useful in revegetating disturbed lands in the West. FWS/OBS-82/56. Washington, DC: U.S. Department of the Interior, Fish and Wildlife Service, Office of Biological Services, Western Energy and Land Use Team. 347 p. Available from NTIS, Springfield, VA 22161; PB-83-167023.
West, N. E. and M. A. Hassan. 1985. Recovery of sagebrush-grass vegetation following wildfire. Journal of Range Management 38:131-134.
White, R. S., and P. O. Currie. 1983. The Effects of Prescribed Burning on Silver Sagebrush. Journal of Range Management 36:611-613.
Whitson, T. D., L. C. Burrill , S. A. Dewey , D. W. Cudney , B. E. Nelson , R. D. Lee , and R. Parker. 1999. Silver sagebrush Artemisia cana Pursh., Big sagebrush Artemisia tridentata Nutt. . Pages p. 62–63. 68–69. in T. D. Whitson, editor. Weeds of the west. Western Society of Weed Science, Newark, CA.
Winward, A. H. 1985. Vegetation characteristics of riparian areas. Pages 5-12 in J. H. Smits, editor. Management of Riparian Areas. Proceedings of a Workshop. Public Lands Council, Washington, D.C.
Young, J. A. and R. A. Wright, H. A., C. M. Britton, and L. F. Neuenschwander. 1979. The role and use of fire in sagebrush-grass and pinyon-juniper plant communities: a state-of-the-art review. Intermountain Forest and Range Experiment Station, Forest Service, US Department of Agriculture.
Young, J. A. and R. A. Evans. 1978. Population dynamics after wildfires in sagebrush grasslands. Journal of Range Management 31:283-289.
Contributors
GKB
Tamzen Stringham
Patti Novak-Echenique
Approval
Kendra Moseley, 4/10/2024
Rangeland health reference sheet
Interpreting Indicators of Rangeland Health is a qualitative assessment protocol used to determine ecosystem condition based on benchmark characteristics described in the Reference Sheet. A suite of 17 (or more) indicators are typically considered in an assessment. The ecological site(s) representative of an assessment location must be known prior to applying the protocol and must be verified based on soils and climate. Current plant community cannot be used to identify the ecological site.
Author(s)/participant(s) | |
---|---|
Contact for lead author | |
Date | 04/11/2024 |
Approved by | Kendra Moseley |
Approval date | |
Composition (Indicators 10 and 12) based on | Annual Production |
Indicators
-
Number and extent of rills:
-
Presence of water flow patterns:
-
Number and height of erosional pedestals or terracettes:
-
Bare ground from Ecological Site Description or other studies (rock, litter, lichen, moss, plant canopy are not bare ground):
-
Number of gullies and erosion associated with gullies:
-
Extent of wind scoured, blowouts and/or depositional areas:
-
Amount of litter movement (describe size and distance expected to travel):
-
Soil surface (top few mm) resistance to erosion (stability values are averages - most sites will show a range of values):
-
Soil surface structure and SOM content (include type of structure and A-horizon color and thickness):
-
Effect of community phase composition (relative proportion of different functional groups) and spatial distribution on infiltration and runoff:
-
Presence and thickness of compaction layer (usually none; describe soil profile features which may be mistaken for compaction on this site):
-
Functional/Structural Groups (list in order of descending dominance by above-ground annual-production or live foliar cover using symbols: >>, >, = to indicate much greater than, greater than, and equal to):
Dominant:
Sub-dominant:
Other:
Additional:
-
Amount of plant mortality and decadence (include which functional groups are expected to show mortality or decadence):
-
Average percent litter cover (%) and depth ( in):
-
Expected annual annual-production (this is TOTAL above-ground annual-production, not just forage annual-production):
-
Potential invasive (including noxious) species (native and non-native). List species which BOTH characterize degraded states and have the potential to become a dominant or co-dominant species on the ecological site if their future establishment and growth is not actively controlled by management interventions. Species that become dominant for only one to several years (e.g., short-term response to drought or wildfire) are not invasive plants. Note that unlike other indicators, we are describing what is NOT expected in the reference state for the ecological site:
-
Perennial plant reproductive capability:
Print Options
Sections
Font
Other
The Ecosystem Dynamics Interpretive Tool is an information system framework developed by the USDA-ARS Jornada Experimental Range, USDA Natural Resources Conservation Service, and New Mexico State University.
Click on box and path labels to scroll to the respective text.