Ecological dynamics
As ecological condition declines, shadscale, Douglas' rabbitbrush, littleleaf horsebrush, and low sagebrush become more dominant. Species most likely to invade this site are annuals.
Fire Ecology:
Prior to 1897, mean fire return intervals for low sagebrush communities have been estimated to be from 35 to over 100 years. Fire most often occurs during wet years with high forage production. Low sagebrush is very susceptible to fire damage. Low sagebrush is usually killed by fire and does not re-sprout. The recovery in burned areas is usually via small, light, wind-dispersed seed for all low sagebrush subspecies. Partially injured low sagebrush may re-grow from living branches, but sprouting does not occur. Wyoming big sagebrush is killed by fire and establishes after fire from a seedbank; from seed produced by remnant plants that escaped fire; and from plants adjacent to the burn that seed in. Fire top-kills littleleaf horsebrush. Horsebrush species are rarely killed by fire. Littleleaf horsebrush is dormant in summer and fall, so fires in those seasons have almost no effect on established plants. When top-killed by fire, littleleaf horsebrush establishes by sprouting from the root crown. Fires in spiny hopsage sites generally occur in late summer when plants are dormant, and sprouting generally does not occur until the following spring. Spiny hopsage is considered to be somewhat fire tolerant and often survives fires that kill sagebrush. Mature spiny hopsage generally sprout after being burned. Spiny hopsage is reported to be least susceptible to fire during summer dormancy. Bottlebrush squirreltail's small size, coarse stems, and sparse leafy material aid in its tolerance of fire. Postfire regeneration occurs from surviving root crowns and from on- and off-site seed sources. Frequency of disturbance greatly influences post-fire response of bottlebrush squirreltail. Undisturbed plants within a 6 to 9 year age class generally contain large amounts of dead material, increasing bottlebrush squirreltail's susceptibility to fire. Sandberg bluegrass is generally unharmed by fire. It produces little litter, and its small bunch size and sparse litter reduces the amount of heat transferred to perennating buds in the soil. Its rapid maturation in the spring also reduces fire damage, since it is dormant when most fires occur.
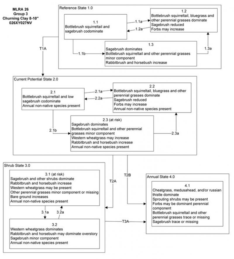
Reference State 1.0:
The Reference State 1.0 is representative of the natural range of variability under pristine conditions. The reference state has three general community phases: a shrub-grass dominant phase, a perennial grass dominant phase and a shrub dominant phase. State dynamics are maintained by interactions between climatic patterns and disturbance regimes. Negative feedbacks enhance ecosystem resilience and contribute to the stability of the state. These include the presence of all structural and functional groups, low fine fuel loads, and retention of organic matter and nutrients. Plant community phase changes are primarily driven by fire, periodic drought and/or insect or disease attack.
Community Phase 1.1:
This community is dominated by low sagebrush, bottlebrush squirreltail and Sandberg bluegrass. Forbs and other grasses make up smaller components.
Community Phase Pathway 1.1a, from Phase 1.1 to 1.2:
Fire will decrease or eliminate the overstory of sagebrush and allow for the perennial bunchgrasses to dominate the site. Fires will typically be low severity resulting in a mosaic pattern due to low fuel loads. A fire following an unusually wet spring may be more severe and reduce sagebrush cover to trace amounts.
Community Phase Pathway 1.1b, from Phase 1.1 to 1.3:
Time and lack of disturbance such as fire allows for sagebrush to increase and become decadent. Long-term drought, herbivory, or combinations of these will cause a decline in perennial bunchgrasses and fine fuels leading to a reduced fire frequency and allowing sagebrush to dominate the site.
Community Phase 1.2:
This community phase is characteristic of a post-disturbance, early/mid-seral community. Bottlebrush squirreltail, Sandberg bluegrass and other perennial bunchgrasses dominate. Depending on fire severity patches of intact sagebrush may remain. Rabbitbrush and other sprouting shrubs may be sprouting. Perennial forbs may be a significant component for a number of years following fire.
Community Phase Pathway 1.2a, from Phase 1.2 to 1.1:
Time and lack of disturbance will allow sagebrush to increase.
Community Phase 1.3:
Sagebrush increases in the absence of disturbance. Decadent sagebrush dominates the overstory and the deep-rooted perennial bunchgrasses in the understory are reduced either from competition with shrubs and/or from herbivory.
Community Phase Pathway 1.3a, from Phase 1.3 to 1.2:
Fire will decrease or eliminate the overstory of sagebrush and allow for the perennial bunchgrasses to dominate the site. Fires may be high severity in this community phase due to the dominance of sagebrush resulting in removal of overstory shrub community.
T1A: Transition from the Reference State 1.0 to Current Potential State 2.0:
Trigger: This transition is caused by the introduction of non-native annual plants, such as cheatgrass, mustards, and bur buttercup (Ceratocephala testiculata).
Slow variables: Over time the annual non-native species will increase within the community.
Threshold: Any amount of introduced non-native species causes an immediate decrease in the resilience of the site. Annual non-native species cannot be easily removed from the system and have the potential to significantly alter disturbance regimes from their historic range of variation.
Current Potential State 2.0:
This state is similar to the Reference State 1.0. Ecological function has not changed, however, the resiliency of the state has been reduced by the presence of invasive weeds. This state has the same three general community phases. These non-native species can be highly flammable, and promote fire where historically fire had been infrequent. Negative feedbacks enhance ecosystem resilience and contribute to the stability of the state. These feedbacks include the presence of all structural and functional groups, low fine fuel loads, and retention of organic matter and nutrients. Positive feedbacks decrease ecosystem resilience and stability of the state. These include the non-natives’ high seed output, persistent seed bank, rapid growth rate, ability to cross pollinate, and adaptations for seed dispersal.
Community Phase 2.1:
This community phase is similar to the Reference State Community Phase 1.1, with the presence of non-native species in trace amounts. Sagebrush, bottlebrush squirreltail and Sandberg bluegrass dominate the site. Forbs and other shrubs and grasses make up smaller components of this site.
Community Phase Pathway 2.1a, from Phase 2.1 to 2.2:
Fire reduces the shrub overstory and allows for perennial bunchgrasses to dominate the site. Fires are typically low severity resulting in a mosaic pattern due to low fuel loads. A fire following an unusually wet spring or a change in management favoring an increase in fine fuels may be more severe and reduce sagebrush cover to trace amounts. Annual non-native species are likely to increase after fire.
Community Phase Pathway 2.1b, from Phase 2.1 to 2.3:
Time and lack of disturbance allows for sagebrush to increase and become decadent. Long-term drought reduces fine fuels and leads to a reduced fire frequency, allowing sagebrush to dominate the site. Inappropriate grazing management reduces the perennial grass understory.
Community Phase 2.2:
This community phase is characteristic of a post-disturbance, early to mid-seral community where annual non-native species are present. Sagebrush is present in trace amounts; bottlebrush squirreltail, Sandberg bluegrass and other perennial bunchgrasses dominate the site. Depending on fire severity patches of intact sagebrush may remain. Rabbitbrush may be sprouting or dominant in the community. Perennial forbs may be a significant component for a number of years following fire. Annual non-native species are stable or increasing within the community.
Community Phase Pathway 2.2a, from Phase 2.2 to 2.1:
Time and lack of disturbance and/or grazing management that favors the establishment and growth of sagebrush allows the shrub component to recover. The establishment of low sagebrush can take many years.
Community Phase 2.3 (At Risk):
This community is at risk of crossing a threshold to another state. Sagebrush dominates the overstory and perennial bunchgrasses in the understory are reduced, either from competition with shrubs, from inappropriate grazing, or from both. Rabbitbrush may be a significant component. Bare ground increases. Annual non-native species may be stable or increasing due to lack of competition with perennial bunchgrasses. Pinyon and/or juniper may be present. This site is susceptible to further degradation from grazing, drought, and fire.
Community Phase Pathway 2.3a, from Phase 2.3 to 2.2:
Fire eliminates/reduces the overstory of sagebrush and allows for the understory perennial grasses to increase. Fires may be high severity in this community phase due to the dominance of sagebrush resulting in removal of overstory shrub community. Annual non-native species respond well to fire and may increase post burn.
T2A: Transition from Current Potential State 2.0 to Shrub State 3.0:
Trigger: To Community Phase 3.1: Inappropriate grazing will decrease or eliminate deep rooted perennial bunchgrasses, increase Sandberg bluegrass and favor shrub growth and establishment. To Community Phase 3.2: Severe fire in Community Phase 2.3 will remove sagebrush overstory. Annual non-native species will increase.
Slow variables: Long term decrease in deep-rooted perennial grass density.
Threshold: Loss of deep-rooted perennial bunchgrasses changes nutrient cycling, nutrient redistribution, and reduces soil organic matter.
T2B: Transition from Current Potential State 2.0 to Annual State 4.0:
Trigger: Fire or soil disturbing treatment would transition to Community Phase 4.1.
Slow variables: Increased production and cover of non-native annual species.
Threshold: Loss of deep-rooted perennial bunchgrasses and shrubs changes temporal and spatial nutrient capture and cycling within the community. Increased, continuous fine fuels modify the fire regime by increasing frequency, size and spatial variability of fires.
Shrub State 3.0:
This state has two community phases, a shrub-dominated phase and a grass-dominated phase. This state is a product of many years of heavy grazing during time periods harmful to perennial bunchgrasses. Sagebrush dominates the overstory and rabbitbrush may be a significant component. Sagebrush cover exceeds site concept and may be decadent, reflecting stand maturity and lack of seedling establishment due to competition with mature plants. The shrub overstory and bottlebrush squirreltail or western wheatgrass understory dominate site resources such that soil water, nutrient capture, nutrient cycling and soil organic matter are temporally and spatially redistributed.
Community Phase 3.1 (At Risk):
Decadent sagebrush dominates the overstory. Rabbitbrush may be a significant component. Deep-rooted perennial bunchgrasses may be present in trace amounts or absent from the community. Western wheatgrass and annual non-native species increase. Bare ground is significant. Pinyon and/or juniper may be present.
Community Phase Pathway 3.1a, from Phase 3.1 to 3.2:
Fire, heavy fall grazing causing mechanical damage to shrubs, and/or brush treatments with minimal soil disturbance, will greatly reduce the overstory shrubs to trace amounts and allow grasses to dominate the site.
Community Phase 3.2:
Bottlebrush squirreltail and/or western wheatgrass dominate the site; annual non-native species may be present but are not dominant. Trace amounts of sagebrush or rabbitbrush may be present. Bare ground may be significant.
Community Phase Pathway 3.2a, from Phase 3.2 to 3.1:
Time and lack of disturbance and/or grazing management that favors the establishment and growth of sagebrush allows the shrub component to recover. The establishment of low sagebrush can take many years.
T3A: Transition from Shrub State 3.0 to Annual State 4.0:
Trigger: Fire and/or treatments that disturb the soil and existing plant community.
Slow variables: Increased seed production (following a wet spring) and cover of annual non-native species.
Threshold: Increased, continuous fine fuels modify the fire regime by changing frequency, intensity, size and spatial variability of fires. Changes in plant community composition and spatial variability of vegetation due to the loss of perennial bunchgrasses and sagebrush truncate energy capture and impact the temporal and spatial aspects of nutrient cycling and distribution.
Annual State 4.0:
This state has one community phase dominated by annual plants. An abiotic threshold has been crossed and state dynamics are driven by fire and time. The herbaceous understory is dominated by annual non-native species such as cheatgrass, medusahead, Russian thistle, and mustards. Resiliency has declined and further degradation from fire facilitates a cheatgrass and sprouting shrub plant community. Fire return interval has shortened due to the dominance of annual grasses in the understory and is a driver in site dynamics.
Community Phase 4.1:
Annual plants like cheatgrass, medusahead, and Russian thistle dominate. Bottlebrush squirreltail and perennial forbs may still be present in trace amounts. Surface erosion may increase with summer convection storms and would be evidenced by increased pedestalling of plants, rill formation, or extensive water flow paths.
State 1
Reference Plant Community
This community is dominated by low sagebrush, bottlebrush squirreltail and Sandberg bluegrass. Forbs and other grasses make up smaller components.
Community 1.1
Reference Plant Community
The reference plant community is dominated by low sagebrush, bottlebrush squirreltail, and Sandberg's bluegrass. Potential vegetative composition is about 60% grasses, 10% forbs and 30% shrubs. Approximate ground cover (basal and crown) is 15 to 25 percent.
Table 5. Annual production by plant type
Plant type |
Low (lb/acre) |
Representative value (lb/acre) |
High (lb/acre) |
Grass/Grasslike |
150 |
180 |
240 |
Shrub/Vine |
75 |
90 |
120 |
Forb |
25 |
30 |
40 |
Total |
250 |
300 |
400 |