
Natural Resources
Conservation Service
Ecological site R026XY026NV
GRANITIC SLOPE 10-12 P.Z.
Last updated: 4/10/2024
Accessed: 10/19/2025
General information
Provisional. A provisional ecological site description has undergone quality control and quality assurance review. It contains a working state and transition model and enough information to identify the ecological site.
MLRA notes
Major Land Resource Area (MLRA): 026X–Carson Basin and Mountains
The area lies within western Nevada and eastern California, with about 69 percent being within Nevada, and 31 percent being within California. Almost all this area is in the Great Basin Section of the Basin and Range Province of the Intermontane Plateaus. Isolated north-south trending mountain ranges are separated by aggraded desert plains. The mountains are uplifted fault blocks with steep side slopes. Most of the valleys are drained by three major rivers flowing east across this MLRA. A narrow strip along the western border of the area is in the Sierra Nevada Section of the Cascade-Sierra Mountains Province of the Pacific Mountain System. The Sierra Nevada Mountains are primarily a large fault block that has been uplifted with a dominant tilt to the west. This structure leaves an impressive wall of mountains directly west of this area. This helps create a rain shadow affect to MLRA 26. Parts of this eastern face, but mostly just the foothills, mark the western boundary of this area. Elevations range from about 3,806 feet (1,160 meters) on the west shore of Pyramid Lake to 11,653 feet (3,552 meters) on the summit of Mount Patterson in the Sweetwater Mountains.
Valley areas are dominantly composed of Quaternary alluvial deposits with Quaternary playa or alluvial flat deposits often occupying the lowest valley bottoms in the internally drained valleys, and river deposited alluvium being dominant in externally drained valleys. Hills and mountains are dominantly Tertiary andesitic flows, breccias, ash flow tuffs, rhyolite tuffs or granodioritic rocks. Quaternary basalt flows are present in lesser amounts, and Jurassic and Triassic limestone and shale, and Precambrian limestone and dolomite are also present in very limited amounts. Also of limited extent are glacial till deposits along the east flank of the Sierra Nevada Mountains, the result of alpine glaciation.
The average annual precipitation in this area is 5 to 36 inches (125 to 915 millimeters), increasing with elevation. Most of the rainfall occurs as high-intensity, convective storms in spring and autumn. Precipitation is mostly snow in winter. Summers are dry. The average annual temperature is 37 to 54 degrees F (3 to 12 degrees C). The freeze-free period averages 115 days and ranges from 40 to 195 days, decreasing in length with elevation.
The dominant soil orders in this MLRA are Aridisols and Mollisols. The soils in the area dominantly have a mesic soil temperature regime, an aridic or xeric soil moisture regime, and mixed or smectitic mineralogy. They generally are well drained, are clayey or loamy and commonly skeletal, and are very shallow to moderately deep.
This area supports shrub-grass vegetation characterized by big sagebrush. Low sagebrush and Lahontan sagebrush occur on some soils. Antelope bitterbrush, squirreltail, desert needlegrass, Thurber needlegrass, and Indian ricegrass are important associated plants. Green ephedra, Sandberg bluegrass, Anderson peachbrush, and several forb species also are common. Juniper-pinyon woodland is typical on mountain slopes. Jeffrey pine, lodgepole pine, white fir, and manzanita grow on the highest mountain slopes. Shadscale is the typical plant in the drier parts of the area. Sedges, rushes, and moisture-loving grasses grow on the wettest parts of the wet flood plains and terraces. Basin wildrye, alkali sacaton, saltgrass, buffaloberry, black greasewood, and rubber rabbitbrush grow on the drier sites that have a high concentration of salts.
Some of the major wildlife species in this area are mule deer, coyote, beaver, muskrat, jackrabbit, cottontail, raptors, pheasant, chukar, blue grouse, mountain quail, and mourning dove. The species of fish in the area include trout and catfish. The Lahontan cutthroat trout in the Truckee River is a threatened and endangered species.
LRU notes
The Sierra Influenced Ranges LRU is characterized by wooded great basin mountains with climatic and biotic affinities to the Sierra Nevada mountain range. The Sierra Influenced Ranges LRU receives greater precipitation that the mountain ranges of central Nevada. Amount of precipitation varies in relation to the local strength of the Sierra Nevada rain shadow, characterized by pinyon and juniper trees. The White, Sweetwater, Pine Nut, Wassuk, and Virginia ranges of Nevada support varying amounts of Sierra Nevada flora, such as ponderosa pine. Elevations range from 1610 to 2420 meters and slopes range from 5 to 49 percent, with a median value of 22 percent. Frost free days (FFD) ranges from 92 to 163.
Ecological site concept
The Granitic Slope 10-12 P.Z. site is found on hills on low to steep slopes. The elevation ranges from 4,500 feet to 7,000 feet. The soil is moderately deep to broken granitic bedrock. The soil surface texture is gravelly loamy coarse sand. The dominant vegetation is big sagebrush (Artemisia tridentata), bitterbrush (Purshia tridentata), Thurber's needlegrass (Achnatherum thurberianum), and desert needlegrass (Achnatherum speciousum).
Associated sites
R026XY008NV |
GRANITIC FAN 10-12 P.Z. |
---|---|
R026XY010NV |
LOAMY 10-12 P.Z. |
R026XY018NV |
GRANITIC SOUTH SLOPE 10-12 P.Z. |
R026XY046NV |
GRANITIC SLOPE 12-14 P.Z. |
R026XY085NV |
GRANITIC FAN 12-14 P.Z. |
Similar sites
R026XY085NV |
GRANITIC FAN 12-14 P.Z. ACOCO dominant grass; more productive site |
---|---|
R026XY046NV |
GRANITIC SLOPE 12-14 P.Z. ACOCO dominant grass |
R026XY018NV |
GRANITIC SOUTH SLOPE 10-12 P.Z. ACSP12 dominant grass; less productive site |
R026XY008NV |
GRANITIC FAN 10-12 P.Z. HECO26-ACHY codominant grasses |
Table 1. Dominant plant species
Tree |
Not specified |
---|---|
Shrub |
(1) Artemisia tridentata |
Herbaceous |
(1) Achnatherum thurberianum |
Physiographic features
The Granitic Slope 10-12 P.Z. site occurs on hills on all aspects. Slopes range from 4 to 75 percent, but slope gradients of 30 to 50 percent are most typical. Elevations are 4500 to 7000 feet.
Table 2. Representative physiographic features
Landforms |
(1)
Hill
|
---|---|
Runoff class | Very low to very high |
Elevation | 4,500 – 7,000 ft |
Slope | 30 – 50% |
Aspect | Aspect is not a significant factor |
Climatic features
The climate associated with this site is arid, characterized by cool, moist winters and warm, dry summers. Average annual precipitation is 10 to 12 inches. Mean annual air temperature is 48 to 50 degrees F. The average growing season is about 90 to 120 days.
Nevada’s climate is predominantly arid, with large daily ranges of temperature, infrequent severe storms, heavy snowfall in the higher mountains, and great location variations with elevation. Three basic geographical factors largely influence Nevada’s climate: continentality, latitude, and elevation. Continentality is the most important factor. The strong continental effect is expressed in the form of both dryness and large temperature variations. Nevada lies on the eastern, lee side of the Sierra Nevada Range, a massive mountain barrier that markedly influences the climate of the State. The prevailing winds are from the west, and as the warm moist air from the Pacific Ocean ascend the western slopes of the Sierra Range, the air cools, condensation occurs and most of the moisture falls as precipitation. As the air descends the eastern slope, it is warmed by compression, and very little precipitation occurs. The effects of this mountain barrier are felt not only in the West but throughout the state, with the result that the lowlands of Nevada are largely desert or steppes. The temperature regime is also affected by the blocking of the inland-moving maritime air. Nevada sheltered from maritime winds, has a continental climate with well-developed seasons and the terrain responds quickly to changes in solar heating.
Nevada lies within the mid-latitude belt of prevailing westerly winds which occur most of the year. These winds bring frequent changes in weather during the late fall, winter and spring months, when most of the precipitation occurs. To the south of the mid-latitude westerlies, lies a zone of high pressure in subtropical latitudes, with a center over the Pacific Ocean. In the summer, this high-pressure belt shifts northward over the latitudes of Nevada, blocking storms from the ocean. The resulting weather is mostly clear and dry during the summer and early fall, with scattered thundershowers. The eastern portion of the state receives significant summer thunderstorms generated from monsoonal moisture pushed up from the Gulf of California, known as the North American monsoon. The monsoon system peaks in August and by October the monsoon high over the Western U.S. begins to weaken and the precipitation retreats southward towards the tropics (NOAA 2004).
Table 3. Representative climatic features
Frost-free period (characteristic range) | |
---|---|
Freeze-free period (characteristic range) | |
Precipitation total (characteristic range) | 10-12 in |
Frost-free period (average) | 105 days |
Freeze-free period (average) | |
Precipitation total (average) | 11 in |
Figure 1. Monthly average minimum and maximum temperature
Figure 2. Annual precipitation pattern
Figure 3. Annual average temperature pattern
Influencing water features
There are no influencing water features associated with this site.
Soil features
The soils are moderately deep to deep and somewhat excessively drained. The available water capacity is very low to low. The soil profile and soil surface are modified with high amounts of rock fragments. Susceptibility to sheet and rill erosion is severe. The soil series associated with this site include: Graufels, Mottsville, and Shoken.
Table 4. Representative soil features
Parent material |
(1)
Residuum
–
granite
(2) Colluvium – granite |
---|---|
Surface texture |
(1) Gravelly loamy coarse sand |
Drainage class | Somewhat excessively drained |
Permeability class | Rapid |
Soil depth | 20 – 39 in |
Surface fragment cover <=3" | 17% |
Surface fragment cover >3" | Not specified |
Available water capacity (0-40in) |
1.5 – 2 in |
Calcium carbonate equivalent (0-40in) |
Not specified |
Electrical conductivity (0-40in) |
Not specified |
Sodium adsorption ratio (0-40in) |
Not specified |
Soil reaction (1:1 water) (0-40in) |
6.1 – 7.3 |
Subsurface fragment volume <=3" (Depth not specified) |
17 – 18% |
Subsurface fragment volume >3" (Depth not specified) |
Not specified |
Ecological dynamics
Where management results in over use by livestock, big sagebrush, Douglas' rabbitbrush and Anderson's peachbrush become more dominant. Species most likely to invade this site are annual forbs and cheatgrass. Singleleaf pinyon and Utah juniper will increase on this site
Fire Ecology:
The fire return interval for big sagebrush communities range from 10 to 70 years. Plants are readily killed in all seasons, even light severity fires. Fire is the principal means of renewal for decadent stands of Wyoming big sagebrush. Wyoming big sagebrush establishes after fire from a seedbank; from seed produced by remnant plants that escaped fire; and from plants adjacent to the burn that seed in. Fires in Wyoming big sagebrush communities are usually not continuous, and remnant plants are the principal means of postfire reproduction.
Mountain big sagebrush is highly susceptible to injury from fire. Plants are readily killed in all seasons, even light severity fires. Mountain big sagebrush plants top-killed by fire will not resprout.
Thurber's needlegrass is classified as moderately resistant, but depending on season of burn, phenology, and fire severity, this perennial bunchgrass is moderately to severely damaged by fire. Burning has been found to decrease the vegetation and reproductive vigor. Early season burning is more damaging to this needlegrass than late season burning.
Desert needlegrass has persistent dead leaf bases, which make it susceptible to burning. Fire removes the accumulation; a rapid, cool fire will not burn deep into the root crown. Needle and thread grass is top-killed by fire. It may be killed if the aboveground stems are completely consumed. Needle and thread grass is classified as slightly to severely damaged by fire. Needle and thread grass sprouts from the caudex following fire, if heat has not been sufficient to kill underground parts. Recovery usually takes 2 to 10 years. Indian ricegrass can be killed by fire, depending on severity and season of burn. Indian ricegrass reestablishes on burned sites through seed dispersed from adjacent unburned areas.
The Granitic Slope 10-12" site is in Disturbance Response Group 9 (Stringham et al. 2021). It is not the modal site in the group, meaning it did not have the most acres correlated with soil mapunits in the group. The STM description below describes the most common site in the group, which is Loamy 10-12" – R026XY010NV. The narratives will be similar to Granitic Slope 10-12". The differences between Loamy 10-12" and Granitic Slope 10-12" is described below.
Potential Resilience Differences between Loamy 10-12" and Granitic Slope 10-12"
Granitic Slope 10-12" (R026XY026NV) occurs on foothills and lower mountain sideslopes on all aspects. Slopes typically range from 30 to 50 percent. Elevations are 4,500 to 6,500 feet. The vegetation community is similar to the modal site. The soils on this site are moderately deep to deep and somewhat excessively drained. The available water capacity is low. Susceptibility to sheet and rill erosion is severe. The production of this site is lower than the modal site with 600 lbs/ac in a normal year.
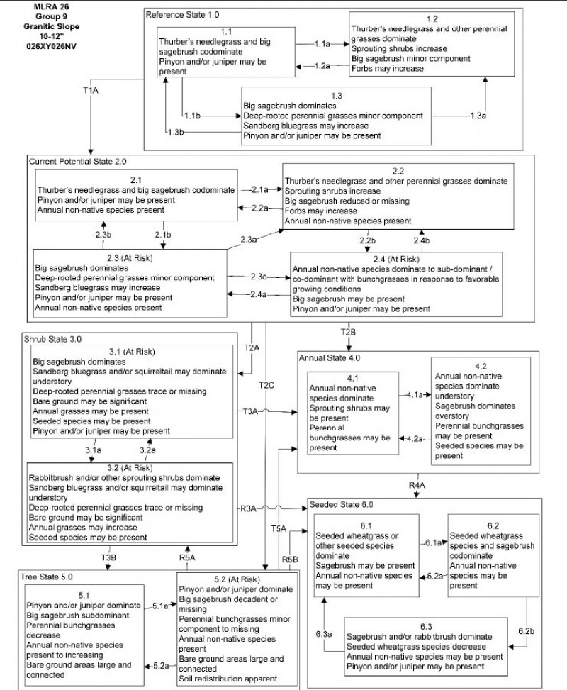
Reference State 1.0: The Reference State 1.0 is a representative of the natural range of variability under pristine conditions. The reference state has three general community phases; a shrub-grass dominant phase, a perennial grass dominant phase and a shrub dominant phase. State dynamics are maintained by interactions between climatic patterns and disturbance regimes. Negative feedbacks enhance ecosystem resilience and contribute to the stability of the state. These include the presence of all structural and functional groups, low fine fuel loads, and retention of organic matter and nutrients. Plant community phase changes are primarily driven by fire, periodic drought and/or insect or disease attack.
Community Phase1.1: Thurber’s needlegrass is codominant with big sagebrush. Sagebrush may be a mix of Wyoming big sagebrush, basin big sagebrush, and mountain big sagebrush. Pinyon and/or juniper may be present.
Community PhasePathway1.1a, from Phase 1.1 to 1.2: Low severity fire creates a sagebrush/grass mosaic. High severity fire significantly reduces sagebrush cover and leads to early/mid-seral community dominated by grasses and forbs. In reference condition, fires would typically be small and patchy due to low fuel loads. A severe infestation of Aroga moth could also cause a large decrease in sagebrush within the community, giving a competitive advantage to the perennial grasses and forbs.
Community Phase Pathway 1.1b, from Phase 1.1 to 1.3: Time and lack of disturbance such as fire or drought allows shrubs to become dominant and may reduce grass production. Excessive herbivory and/or long-term drought may also reduce the perennial understory.
Community Phase 1.2: This community phase is characteristic of a post-disturbance, early to mid-seral community. Bitterbrush, ephedra, and spiny hopsage may be sprouting and may become the dominant shrubs in this phase. Big sagebrush is killed by fire and is reduced within the burned community but may be present in unburned patches. Thurber’s needlegrass can experience high mortality from fire and may be reduced in the community for several years. With low fire severity, Thurber’s needlegrass may dominate the site post-fire.
Community Phase Pathway 1.2a, from Phase 1.2 to 1.1: Time and lack of disturbance allows for shrubs to reestablish.
Community Phase 1.3: Big sagebrush increases in the absence of disturbance. Thurber’s needlegrass and other perennial grasses reduced. Decadent sagebrush dominates the overstory and the deep-rooted perennial bunchgrasses in the understory are reduced either from competition with shrubs or from herbivory. Bluegrass (Poa) species will likely increase in the understory and may be the dominant grass on the site. Pinyon and/or juniper may be present but constitute less than 2% of production on the site.
Community Phase Pathway 1.3a, from Phase 1.3 to 1.2: Fire would decrease or eliminate the overstory of sagebrush and allow for the perennial bunchgrasses to dominate the site. Fires would typically be small and patchy due to low fuel loads. A fire following an unusually wet spring or a change in management may be more severe and reduce sagebrush cover to trace amounts. A severe infestation of Aroga moth could also cause a large decrease in sagebrush within the community, giving a competitive advantage to the perennial grasses and forbs.
Community Phase Pathway 1.3b, from Phase 1.3 to 1.1: Aroga moth infestation and/or release from growing season herbivory may reduce sagebrush dominance and allow recovery of the perennial bunchgrass understory.
T1A: Transition from Reference State 1.0 to Current Potential State 2.0: Trigger: This transition is caused by the introduction of non-native annual weeds, such as cheatgrass, mustards and Russian thistle (Salsola tragus). Slow variables: Over time the annual non-native plants will increase within the community decreasing organic matter inputs from deep-rooted perennial bunchgrasses resulting in reductions in soil water availability for perennial bunchgrasses. Threshold: Any amount of introduced non-native species causes an immediate decrease in the resilience of the site. Annual non-native species cannot be easily removed from the system and have the potential to significantly alter disturbance regimes from their historic range of variation.
Current Potential State 2.0: This state is similar to the Reference State 1.0. Ecological function has not changed; however the resiliency of the state has been reduced by the presence of invasive weeds. This state has the same three general community phases. Negative feedbacks enhance ecosystem resilience and contribute to the stability of the state. These include the presence of all structural and functional groups, low fine fuel loads and retention of organic matter and nutrients. Positive feedbacks decrease ecosystem resilience and stability of the state. These include the non-natives high seed output, persistent seed bank, rapid growth rate, ability to cross-pollinate and adaptations for seed dispersal. Additionally, the presence of highly flammable, non-native species reduces state resilience because these species can promote fire where historically fire has been infrequent leading to positive feedbacks that further the degradation of the system.
Community Phase 2.1: Thurber’s needlegrass is codominant with big sagebrush. Sagebrush may be a mix of Wyoming big sagebrush, basin big sagebrush, and mountain big sagebrush. Pinyon and/or juniper may be present. Non-native annual species are present in minor amounts.
Community Phase Pathway 2.1a, from Phase 2.1 to 2.2: Fire would decrease or eliminate the overstory of sagebrush and allow for the perennial bunchgrasses to dominate the site. Fires would typically be small and patchy due to low fuel loads. A fire following an unusually wet spring or a change in management may be more severe and reduce sagebrush cover to trace amounts. A severe infestation of Aroga moth could also cause a large decrease in sagebrush within the community, giving a competitive advantage to the perennial grasses and forbs. Annual non-native species generally respond well after fire and may be stable or increasing within the community.
Community Phase Pathway 2.1b, from Phase 2.1 to 2.3: Time, long-term drought, grazing management that favors shrubs or combinations of these would allow the sagebrush overstory to increase and dominate the site, causing a reduction in the perennial bunchgrasses. However, Sandberg bluegrass and/or squirreltail may increase in the understory depending on the grazing management. Heavy spring grazing will favor an increase in sagebrush. Annual non-native species may be stable or increasing within the understory.
Community Phase 2.2: This community phase is characteristic of a post-disturbance, early to mid-seral community. Bitterbrush, ephedra, and spiny hopsage may be sprouting and may become the dominant shrubs in this phase. Big sagebrush is killed by fire and is reduced within the burned community but may be present in unburned patches. Thurber’s needlegrass can experience high mortality from fire and may be reduced in the community for several years. With low fire severity, Thurber’s needlegrass may dominate the site post-fire. Annual non-native species generally respond well after fire and may be stable or increasing within the community.
Community Phase Pathway 2.2a, from Phase 2.2 to 2.1: Absence of disturbance over time allows for the sagebrush to recover may be combined with grazing management that favors shrubs.
Community Phase Pathway 2.2b, from Phase 2.2 to 2.4: Higher than normal spring precipitation favors annual non-native species such as cheatgrass. Non-native annual species will increase in production and density throughout the site. Perennial bunchgrasses may also increase in production.
Community Phase 2.3(At Risk): Big sagebrush increases in the absence of disturbance. Thurber’s needlegrass and other perennial grasses reduced. Decadent sagebrush dominates the overstory and the deep-rooted perennial bunchgrasses in the understory are reduced either from competition with shrubs or from herbivory. Bluegrass (Poa) species will likely increase in the understory and may be the dominant grass on the site. Pinyon and/or juniper may be increasing. Annual non-native species are present. This phase may be at risk of transitioning to the Shrub State 3.0 or the Tree State 5.0.
Community Phase Pathway 2.3a, from Phase 2.3 to 2.2: Fire would decrease or eliminate the overstory of sagebrush and allow for the perennial bunchgrasses to dominate the site. Fires would typically be small and patchy due to low fuel loads. A fire following an unusually wet spring or a change in management may be more severe and reduce sagebrush cover to trace amounts. A severe infestation of Aroga moth could also cause a large decrease in sagebrush within the community, giving a competitive advantage to the perennial grasses and forbs.
Community Phase Pathway 2.3b, from Phase 2.3 to 2.1: Low severity fire or Aroga moth infestation creates sagebrush/grass mosaic. Other disturbances/practices include brush management with minimal soil disturbance; late-fall/winter grazing causing mechanical damage to sagebrush.
Community Phase Pathway 2.3c, from Phase 2.3 to 2.4: Fall, winter, and spring precipitation and temperatures mediate the ability for annual grasses and perennial grasses to germinate and/or survive. Higher than normal spring precipitation creates high annual production of annual grasses (Bradley et al. 2016). Non-native annual species increase in production and density throughout the site. Perennial bunchgrasses may also increase in production.
Community Phase 2.4 (At Risk): This community is at risk of crossing into an annual state. Native bunchgrasses dominate; however, annual non-native species such as cheatgrass may be sub or co-dominant in the understory. Annual production and abundance of these annuals may increase drastically in years with heavy spring precipitation. Seeded species may be present. Sagebrush may be present if coming from phase 2.3. This site is susceptible to further degradation from grazing, drought, and fire. Pinyon and/or juniper may be present.
Community Phase Pathway 2.4a, from phase 2.4 to 2.3: Rainfall patterns favoring perennial bunchgrasses. Less than normal spring precipitation followed by higher than normal summer precipitation will increase perennial bunchgrass production.
Community Phase Pathway 2.4b, from phase 2.4 to 2.2: Fall, winter, and spring precipitation and temperatures mediate the ability for annual grasses and perennial grasses to germinate and/or survive. Depending on temperatures and precipitation in winter and spring, annual grass production may be reduced in favor of perennial bunchgrasses.
T2A: Transition from Current Potential State 2.0 to Shrub State 3.0: Trigger: Inappropriate, long-term grazing of perennial bunchgrasses during growing season would favor shrubs and initiate transition to Community Phase 3.1. Fire would cause a transition to Community Phase 3.2.Slow variables: Long term decrease in deep-rooted perennial grass density resulting in a decrease in organic matter inputs and subsequent soil water decline. Threshold: Loss of deep-rooted perennial bunchgrasses changes spatial and temporal nutrient cycling and redistribution and reduces soil organic matter.
T2B: Transition from Current Potential State 2.0 to Annual State 4.0: Trigger: Fire or a failed range seeding leads to plant community phase 4.1. Inappropriate grazing management that favors shrubs in the presence of non-native annual species leads to community phase 4.2. Slow variables: Increased production and cover of non-native annual species. Threshold: Cheatgrass or other non-native annuals dominate understory.
T2C: Transition from Current Potential State 2.0 to Tree State 5.0: Trigger: Lack of fire allows for trees to dominate site; may be coupled with inappropriate grazing management that reduces fine fuels. Slow variables: Increased establishment and cover of juniper/pinyon trees, reduction in organic matter inputs. Threshold: Trees overtop Wyoming big sagebrush and out-compete shrubs for water and sunlight. Shrub skeletons exceed live shrubs with minimal recruitment of new cohorts.
Shrub State 3.0: This state has two community phases; a big sagebrush dominated phase and a sprouting shrub dominated phase. This state is a product of many years of heavy grazing during time periods harmful to perennial bunchgrasses. Sandberg bluegrass will increase with a reduction in deep rooted perennial bunchgrass competition and become the dominant grass. Sagebrush dominates the overstory and sprouting shrubs may be a significant component. Sagebrush canopy cover is high and sagebrush may be decadent, reflecting stand maturity and lack of seedling establishment due to competition with mature plants. The shrub overstory and Sandberg bluegrass understory dominate site resources such that soil water, nutrient capture, nutrient cycling and soil organic matter are temporally and spatially redistributed.
Community Phase 3.1(At Risk): Big sagebrush dominates overstory. Thurber’s needlegrass and other perennial grasses are reduced, with bluegrass species dominant in the understory. Pinyon and juniper may be present. Annual non-native species may be present. Bare ground may be significant. Seeded species may be present. Pinyon and/or juniper may be present or increasing.
Community Phase Pathway 3.1a, from Phase 3.1 to 3.2: Fire would decrease or eliminate the overstory of sagebrush. A severe infestation of Aroga moth could also cause a large decrease in sagebrush within the community, giving a competitive advantage to bluegrasses, forbs and sprouting shrubs. Heavy fall grazing causing mechanical damage to shrubs, and/or brush treatments with minimal soil disturbance, would greatly reduce the overstory shrubs and allow for bluegrasses to dominate the site.
Community Phase 3.2(At Risk): Bluegrass species dominate the understory. Sprouting shrubs may be present. Perennial grasses trace or missing. Annual non-native species dominate understory. Bare ground may be significant. Seeded species may be present.
Community Phase Pathway 3.2a, from Phase 3.2 to 3.1: Absence of disturbance over time would allow for sagebrush and other shrubs to recover.
T3A: Transition from Shrub State 3.0 to Annual State 4.0: Trigger: Fire or inappropriate grazing management can eliminate the Sandberg bluegrass understory and transition to community phase 4.1 or 4.2. Slow variable: Increased seed production and cover of annual non-native species. Threshold: Increased, continuous fine fuels modify the fire regime by changing intensity, size and spatial variability of fires. Changes in plant community composition and spatial variability of vegetation due to the loss of perennial bunchgrasses and sagebrush truncate energy capture and impact the nutrient cycling and distribution.
T3B: Transition from Shrub State 3.0 to Tree State 5.0: Trigger: Lack of fire allows for trees to dominate site; may be coupled with inappropriate grazing management that reduces fine fuels. Slow variables: Increased establishment and cover of juniper/pinyon trees, reduction in organic matter inputs. Threshold: Trees overtop Wyoming big sagebrush and out-compete shrubs for water and sunlight. Shrub skeletons exceed live shrubs with minimal recruitment of new cohorts.
R3A: Restoration from Shrub State 3.0 to Seeded State 6.0: Brush management, herbicide, and seeding of crested wheatgrass (Agropyron cristatum) and/or other desired species.
Annual State 4.0: This state has two community phases; one dominated by annual non-native species and the other is a shrub dominated state. This state is characterized by the dominance of annual non-native species such as cheatgrass in the understory. Sagebrush and/or sprouting shrubs may dominate the overstory.
Community Phase 4.1: Annual non-native plants such as cheatgrass dominate the site. Perennial plants are a minor component or missing from the site. This phase may have seeded species present if resulting from a failed seeding attempt.
Community Phase Pathway 4.1a, from Phase 4.1 to 4.2: Time and lack of disturbance allows for shrubs to reestablish. Sprouting shrubs such as ephedra, desert peach and rabbitbrush will be the first to reappear after fire. Probability of sagebrush establishment is extremely low.
Community Phase 4.2: Annual non-native species dominate understory. Sagebrush or sprouting shrubs dominate the overstory. Perennial bunchgrasses are a minor component. This phase may have seeded species present if resulting from a failed seeding attempt.
Community Phase Pathway 4.2a, from Phase 4.2 to 4.1: Fire kills shrubs and allows for annual non-native species to dominate the site.
R4A: Restoration from Annual State 4.0 to Seeded State 6.0: Application of herbicide and seeding of desired species. Probability of success is best immediately following fire.
Tree State5.0: This state has two community phases that are characterized by the dominance of Utah juniper and/or singleleaf pinyon in the overstory. Wyoming big sagebrush and perennial bunchgrasses may still be present, but they are no longer controlling site resources. Soil moisture, soil nutrients, soil organic matter distribution and nutrient cycling have been spatially and temporally altered.
Community Phase 5.1: Utah juniper and/or singleleaf pinyon dominate overstory. Big sagebrush is subdominant and may be decadent. Thurber’s needlegrass and other perennial grasses are reduced. Annual non-native may be present. Bare ground areas are large and connected.
Community Phase Pathway 5.1a, from Phase 5.1 to 5.2: Absence of disturbance over time allows for tree cover and density to further increase and out-compete the herbaceous understory species.
Community Phase 5.2 (At Risk): Utah juniper and/or singleleaf pinyon dominates the site and tree leader growth is minimal; annual non-native species may be the dominant understory species and will typically be found under the tree canopies. Trace amounts of sagebrush may be present, however dead shrub skeletons will be more numerous than living sagebrush. Bunchgrasses may or may not be present. Bottlebrush squirreltail or mat forming forbs may be present in trace amounts. Bare ground interspaces are large and connected. Soil redistribution is evident.
Community Phase Pathway 5.2a, from phase 5.2 to 5.1: Manual or mechanical thinning of trees allows understory regrowth due to less competition for resources. This treatment is typically done for fuel management.
T5A: Transition from Tree State 5.0 to Annual State 4.0: Trigger: Catastrophic crown fire would reduce or eliminate trees to transition the site to 4.1. Tree removal when annual non-natives such as cheatgrass are present would also transition the site to state 4.0. Slow variable: Increased seed production and cover of annual non-native species. Threshold: Increased, continuous fine fuels modify the fire regime by changing intensity, size and spatial variability of fires. Changes in plant community composition and spatial variability of vegetation due to the loss of perennial bunchgrasses and sagebrush truncate energy capture and impact the nutrient cycling and distribution.
R5A: Restoration from Tree State 5.0 to Shrub State 3.0: Tree removal with no seeding. Treatments done in phase 5.1 will be more successful. Tree removal practices that minimize soil disturbance are recommended. Probability of success declines with increased presence of nonnative annual species.
R5B: Restoration from Tree State 5.0 to Seeded State 6.0: Tree removal and seeding of desired species. Tree removal practices that minimize soil disturbance are recommended. Probability of success declines with increased presence of nonnative annual species.
Seeded State 6.0: This state has three community phases; a grass-dominated phase, and grass-shrub dominated phase, and a shrub dominated phase. This state is characterized by the dominance of seeded introduced wheatgrass species in the understory. Forage kochia (Bassia prostrata) and other desired seeded species including Wyoming big sagebrush, native and non-native forbs may be present.
Community Phase 6.1: Seeded wheatgrass and/or other seeded species dominate the community. Non-native annual species are present. Trace amounts of big sagebrush may be present, especially if seeded.
Community Phase Pathway 6.1a, from Phase 6.1 to 6.2: Time and lack of disturbance allow shrubs to increase. Pathway may be coupled with inappropriate grazing management.
Community Phase 6.2: Big sagebrush increases and may be codominant with seeded wheatgrass species. Annual non-native species may be present in trace amounts.
Community Phase Pathway 6.2a, from Phase 6.2 to 6.1: Fire and/or brush management allows seeded grasses to return to dominance.
Community Phase Pathway 6.2b, from Phase 6.2 to 6.3: Inappropriate grazing reduces bunchgrasses and increases density of sagebrush. This is usually a slow transition.
Community Phase 6.3: Sagebrush and/or sprouting shrubs dominate. Seeded wheatgrass species decrease. Annual non-native species may be present. Pinyon and /or juniper may be present.
Community Phase Pathway 6.3a, from Phase 6.3 to 6.1: Fire or brush management with minimal soil disturbance.
State and transition model
More interactive model formats are also available.
View Interactive Models
Click on state and transition labels to scroll to the respective text
Ecosystem states
State 1 submodel, plant communities
State 1
Reference Plant Community
Community 1.1
Reference Plant Community
The reference plant community is dominated by big sagebrush, antelope bitterbrush, Thurber's needlegrass and desert needlegrass. Potential vegetative composition is about 50% grasses, 5% forbs and 45% shrubs. Approximate ground cover (basal and crown) is 20 to 30 percent.
Figure 4. Annual production by plant type (representative values) or group (midpoint values)
Table 5. Annual production by plant type
Plant type | Low (lb/acre) |
Representative value (lb/acre) |
High (lb/acre) |
---|---|---|---|
Grass/Grasslike | 200 | 300 | 400 |
Shrub/Vine | 172 | 258 | 344 |
Forb | 20 | 30 | 40 |
Tree | 8 | 12 | 16 |
Total | 400 | 600 | 800 |
Additional community tables
Table 6. Community 1.1 plant community composition
Group | Common name | Symbol | Scientific name | Annual production (lb/acre) | Foliar cover (%) | |
---|---|---|---|---|---|---|
Grass/Grasslike
|
||||||
1 | Primary Perennial Grasses | 144–396 | ||||
Thurber's needlegrass | ACTH7 | Achnatherum thurberianum | 90–210 | – | ||
desert needlegrass | ACSP12 | Achnatherum speciosum | 30–90 | – | ||
Indian ricegrass | ACHY | Achnatherum hymenoides | 12–48 | – | ||
needle and thread | HECO26 | Hesperostipa comata | 12–48 | – | ||
2 | Secondary Perennial Grasses | 12–60 | ||||
squirreltail | ELEL5 | Elymus elymoides | 3–12 | – | ||
basin wildrye | LECI4 | Leymus cinereus | 3–12 | – | ||
Sandberg bluegrass | POSE | Poa secunda | 3–12 | – | ||
Forb
|
||||||
3 | Perennial | 12–60 | ||||
Forb, perennial | 2FP | Forb, perennial | 9–48 | – | ||
phlox | PHLOX | Phlox | 3–12 | – | ||
Shrub/Vine
|
||||||
4 | Primary Shrubs | 120–162 | ||||
mountain big sagebrush | ARTRV | Artemisia tridentata ssp. vaseyana | 45–75 | – | ||
Wyoming big sagebrush | ARTRW8 | Artemisia tridentata ssp. wyomingensis | 45–75 | – | ||
5 | Secondary Shrubs | 12–60 | ||||
yellow rabbitbrush | CHVI8 | Chrysothamnus viscidiflorus | 6–12 | – | ||
mormon tea | EPVI | Ephedra viridis | 6–12 | – | ||
desert peach | PRAN2 | Prunus andersonii | 6–12 | – | ||
desert gooseberry | RIVE | Ribes velutinum | 6–12 | – | ||
horsebrush | TETRA3 | Tetradymia | 6–12 | – | ||
Tree
|
||||||
6 | Evergreen | 2–24 | ||||
Utah juniper | JUOS | Juniperus osteosperma | 1–12 | – | ||
singleleaf pinyon | PIMO | Pinus monophylla | 1–12 | – |
Interpretations
Animal community
Livestock Interpretations:
This site has limited use for grazing by domestic livestock due to steep slopes. Grazing management should be keyed to needlegrass production. Needlegrass species begin growth early in the year and remain green throughout a relatively long growing season. This pattern of development enables animals to use needlegrass when many other grasses are unavailable. Cattle prefer needlegrass in early spring before fruits have developed as it becomes less palatable when mature. Needlegrasses are grazed in the fall only if the fruits are softened by rain. Needleandthread provides highly palatable forage, especially in the spring before fruits have developed. Needlegrasses are grazed in the fall only if the fruits are softened by rain. Indian ricegrass is highly palatable to all classes of livestock in both green and cured condition. It supplies a source of green feed before most other native grasses have produced much new growth. Mountain big sagebrush is eaten by domestic livestock but has long been considered to be of low palatability, and a competitor to more desirable species. Livestock browse Wyoming big sagebrush, but may use it only lightly when palatable herbaceous species are available. Antelope bitterbrush is important browse for cattle. Cattle prefer antelope bitterbrush from mid-May through June and again in September and October. Domestic livestock and mule deer may compete for antelope bitterbrush in late summer, fall, and/or winter.
Stocking rates vary over time depending upon season of use, climate variations, site, and previous and current management goals. A safe starting stocking rate is an estimated stocking rate that is fine tuned by the client by adaptive management through the year and from year to year.
Wildlife Interpretations:
This site provides suitable habitat for mule deer, small mammals, game, and non-gamebirds. Associated rock outcrops make excellent nesting areas for raptors.
Mountain big sagebrush is highly preferred and nutritious winter forage for mule deer. Wyoming big sagebrush is preferred browse for wild ungulates, and Wyoming big sagebrush communities are important winter ranges for big game. Mule deer use of antelope bitterbrush peaks in September, when antelope bitterbrush may compose 91 percent of the diet. Winter use is greatest during periods of deep snow. Antelope bitterbrush seed is a large part of the diets of rodents, especially deer mice and kangaroo rats. Sagebrush-grassland communities provide critical sage-grouse breeding and nesting habitats. Open Wyoming sagebrush communities are preferred nesting habitat. Meadows surrounded by sagebrush may be used as feeding and strutting grounds. Sagebrush is a crucial component of their diet year-round, and sage-grouse select sagebrush almost exclusively for cover. Leks are often located on low sagebrush sites, grassy openings, dry meadows, ridgetops, and disturbed sites. Sage-grouse prefer mountain big sagebrush and Wyoming big sagebrush communities to basin big sagebrush communities. Needleandthread is moderately important spring forage for mule deer, but use declines considerably as more preferred forages become available.Indian ricegrass is eaten by pronghorn in "moderate" amounts whenever available. In Nevada it is consumed by desert bighorns. A number of heteromyid rodents inhabiting desert rangelands show preference for seed of Indian ricegrass. Indian ricegrass is an important component of jackrabbit diets in spring and summer. In Nevada, Indian ricegrass may even dominate jackrabbit diets during the spring through early summer months. Indian ricegrass seed provides food for many species of birds. Doves, for example, eat large amounts of shattered Indian ricegrass seed lying on the ground. Needlegrasses are other important forage species for several wildlife species.
Hydrological functions
Runoff is very low to very high. A few rills can be expected on steeper slopes in areas subjected to summer convection storms or rapid spring snowmelt. Water flow patterns are rare but can be expected on steeper slopes recently subjected to summer convection storms or rapid snowmelt. Pedestals are rare. Occurrence is usually limited to areas of water flow patterns. Frost heaving of shallow rooted plants should not be considered a "normal" condition. There are no gullies. Perennial herbaceous plants (especially deep-rooted bunchgrasses [i.e., Thurber's needlegrass]) slow runoff and increase infiltration. Shrub canopy and associated litter break raindrop impact and provide opportunity for snow catch and accumulation on site.
Recreational uses
The flowering shrubs offers rewarding opportunities for photographers. Access by off-road vehicles is limited by position and slopes.
Wood products
This site will support occassional individual pinyon or juniper trees.
Other products
Native Americans made tea from big sagebrush leaves. They used the tea as a tonic, an antiseptic for treating colds, diarrhea, sore eyes, fumigant and as a rinse to ward off ticks. Big sagebrush seeds were eaten raw or made into meal. Bark was woven into mats, bags and clothing. Indian ricegrass was traditionally eaten by some Native Americans. The Paiutes used seed as a reserve food source.
Other information
Wyoming big sagebrush is used for stabilizing slopes and gullies and for restoring degraded wildlife habitat, rangelands, mine spoils and other disturbed sites. It is particularly recommended on dry upland sites where other shrubs are difficult to establish.
Desert needlegrass seeds are easily germinated and have potential for commercial use. Desert needlegrass may be used for groundcover in areas of light disturbance, but it is susceptible to excessive trampling. Needleandthread grass is useful for stabilizing eroded or degraded sites.
Supporting information
Inventory data references
NASIS data for soil survey areas CA614, NV625, NV628, NV629, and NV773.
Type locality
Location 1: Carson City County, NV | |
---|---|
General legal description | This site also occurs in Douglas, Lyon, Mineral, Storey and Washoe Counties, Nevada. |
References
-
Stringham, T.K., D. Snyder, P. Novak-Echenique, K. O'Neill, A. Lyons, and M. Johns. 2021. Great Basin Ecological Site Development Project: State-and-Transition Models for Major Land Resource Area 26, Nevada and Portions of California..
Other references
Fire Effects Information System (Online; http://www.fs.fed.us/database/feis/plants/).
USDA-NRCS Plants Database (Online; http://www.plants.usda.gov).
Contributors
DK/FR
Patti Novak-Echenique
Tamzen Stringham
Approval
Kendra Moseley, 4/10/2024
Rangeland health reference sheet
Interpreting Indicators of Rangeland Health is a qualitative assessment protocol used to determine ecosystem condition based on benchmark characteristics described in the Reference Sheet. A suite of 17 (or more) indicators are typically considered in an assessment. The ecological site(s) representative of an assessment location must be known prior to applying the protocol and must be verified based on soils and climate. Current plant community cannot be used to identify the ecological site.
Author(s)/participant(s) | GK BRACKLEY |
---|---|
Contact for lead author | State Rangeland Management Specialist |
Date | 02/21/2007 |
Approved by | Kendra Moseley |
Approval date | |
Composition (Indicators 10 and 12) based on | Annual Production |
Indicators
-
Number and extent of rills:
A few rills can be expected on steeper slopes in areas subjected to summer convection storms or rapid spring snowmelt. -
Presence of water flow patterns:
Water flow patterns are rare but can be expected on steeper slopes recently subjected to summer convection storms or rapid snowmelt. -
Number and height of erosional pedestals or terracettes:
Pedestals are rare. Occurrence is usually limited to areas of water flow patterns. Frost heaving of shallow rooted plants should not be considered a "normal" condition. -
Bare ground from Ecological Site Description or other studies (rock, litter, lichen, moss, plant canopy are not bare ground):
Bare Ground ± 50%; surface rock fragments ±20%; shrub canopy 20 to 25%; foliar cover of perennial herbaceous plants ± 40%. -
Number of gullies and erosion associated with gullies:
None -
Extent of wind scoured, blowouts and/or depositional areas:
None -
Amount of litter movement (describe size and distance expected to travel):
Fine litter (foliage from grasses and annual & perennial forbs) is expected to move the distance of slope length during intense summer convection storms or rapid snowmelt events. Persistent litter (large woody material) will remain in place except during catastrophic events. -
Soil surface (top few mm) resistance to erosion (stability values are averages - most sites will show a range of values):
Soil stability values should be 4 to 6 on most soil textures found on this site. (To be field tested.) -
Soil surface structure and SOM content (include type of structure and A-horizon color and thickness):
Surface structure is typically thin to thick platy, subangular blocky or granular. Soil surface colors are dark and the soils are typified by an ochric epipedon or a thin mollic epipedon. Organic carbon of the surface 2 to 4 inches is typically 1 to 2.25 percent, dropping off quickly below. Organic matter content can be more or less depending on micro-topography. -
Effect of community phase composition (relative proportion of different functional groups) and spatial distribution on infiltration and runoff:
Perennial herbaceous plants (especially deep-rooted bunchgrasses [i.e., Thurber''''s needlegrass]) slow runoff and increase infiltration. Shrub canopy and associated litter break raindrop impact and provide opportunity for snow catch and accumulation on site. -
Presence and thickness of compaction layer (usually none; describe soil profile features which may be mistaken for compaction on this site):
Compacted layers are not typical. Platy or massive sub-surface horizons or subsoil argillic horizons shallow to the surface are not to be interpreted as compacted. -
Functional/Structural Groups (list in order of descending dominance by above-ground annual-production or live foliar cover using symbols: >>, >, = to indicate much greater than, greater than, and equal to):
Dominant:
Reference Plant Community: Deep-rooted, cool season, perennial bunchgrasses >> tall shrubs (big sagebrush & antelope bitterbrush). (By above ground production)Sub-dominant:
Deep-rooted, cool season, perennial forbs = associated shrubs > shallow-rooted, cool season, perennial bunchgrasses = fibrous, shallow-rooted, cool season, perennial and annual forbs. (By above ground production)Other:
Additional:
-
Amount of plant mortality and decadence (include which functional groups are expected to show mortality or decadence):
Dead branches within individual shrubs are common and standing dead shrub canopy material may be as much as 15% of total woody canopy; some of the mature bunchgrasses (<15%) have dead centers. -
Average percent litter cover (%) and depth ( in):
Between plant interspaces (± 10%) and litter depth is ± ¼ inch. -
Expected annual annual-production (this is TOTAL above-ground annual-production, not just forage annual-production):
For normal or average growing season (through mid-June) ± 600 lbs/ac; Spring moisture significantly affects total production. -
Potential invasive (including noxious) species (native and non-native). List species which BOTH characterize degraded states and have the potential to become a dominant or co-dominant species on the ecological site if their future establishment and growth is not actively controlled by management interventions. Species that become dominant for only one to several years (e.g., short-term response to drought or wildfire) are not invasive plants. Note that unlike other indicators, we are describing what is NOT expected in the reference state for the ecological site:
Cheatgrass, rabbitbrush, snakeweed, Russian thistle, annual mustards, and knapweeds are invaders on this site. Anderson''''s peachbrush,Utah juniper, and singleleaf pinyon are increasers on this site. -
Perennial plant reproductive capability:
All functional groups should reproduce in average (or normal) and above average growing season years.
Print Options
Sections
Font
Other
The Ecosystem Dynamics Interpretive Tool is an information system framework developed by the USDA-ARS Jornada Experimental Range, USDA Natural Resources Conservation Service, and New Mexico State University.
Click on box and path labels to scroll to the respective text.