Ecological dynamics
As ecological condition declines, big sagebrush, Anderson's peachbrush and Douglas' rabbitbrush become dominant. Cheatgrass, annual forbs and utah juniper are the species most likely to invade this site.
Fire Ecology:
The fire return interval for Wyoming big sagebrush communities ranges from 10 to 70 years. Fire is the principal means of renewal for decadent stands of Wyoming big sagebrush. Wyoming big sagebrush establishes after fire from a seedbank; from seed produced by remnant plants that escaped fire; and from plants adjacent to the burn that seed in. Fires in Wyoming big sagebrush are usually not continuous, and remnant plants are the principal means of postfire reproduction. Green ephedra generally sprouts vigorously from the roots or woody root crown after fire and rapidly produces aboveground biomass from surviving meristematic tissue. Fires in spiny hopsage sites generally occur in late summer when plants are dormant, and sprouting generally does not occur until the following spring. Spiny hopsage is considered to be somewhat fire tolerant and often survives fires that kill sagebrush. Mature spiny hopsage generally sprout after being burned. Spiny hopsage is reported to be least susceptible to fire during summer dormancy. Desert needlegrass has persistent dead leaf bases, which make it susceptible to burning. Fire removes the accumulation; a rapid, cool fire will not burn deep into the root crown. Most perennial grasses have root crowns that can survive wildfire. Thurber’s needlegrass is classified as moderately resistant, but depending on season of burn, phenology, and fire severity, this perennial bunchgrass is moderately to severely damaged by fire. Burning has been found to decrease the vegetation and reproductive vigor. Early season burning is more damaging to this needlegrass than late season burning.
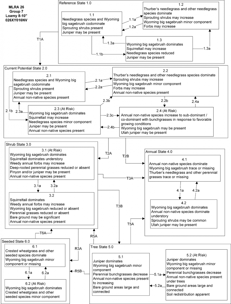
This is a text description of the states, phases, transitions, and community pathways possible in the State and Transition model for the MLRA 26 Disturbance Response Group 7.
Reference State 1.0: The Reference State 1.0 is a representative of the natural range of variability under pristine conditions. The reference state has three general community phases: a shrub-grass dominant phase, a perennial grass dominant phase and a shrub dominant phase. State dynamics are maintained by interactions between climatic patterns and disturbance regimes. Negative feedbacks enhance ecosystem resilience and contribute to the stability of the state. These include the presence of all structural and functional groups, low fine fuel loads, and retention of organic matter and nutrients. Plant community phase changes are primarily driven by fire, periodic drought and/or insect or disease attack.
Community Phase 1.1: Wyoming big sagebrush and Thurber’s needlegrass dominate the site. Ephedra, Indian ricegrass and bottlebrush squirreltail (Elymus elymoides) are also common. Utah juniper is described in the site concept and may be present in minor amounts.
Community Phase Pathway 1.1a, from Phase 1.1 to 1.2: Fire would decrease or eliminate the overstory of sagebrush and allow for the perennial bunchgrasses to dominate the site. Fires would typically be small and patchy due to low fuel loads. A fire following an unusually wet spring or a change in management may be more severe and reduce sagebrush cover to trace amounts. A severe infestation of Aroga moth could also cause a large decrease in sagebrush within the community, giving a competitive advantage to the perennial grasses and forbs.
Community Phase Pathway 1.1b, from Phase 1.1 to 1.3: Long-term drought, time and/or herbivory favor an increase in Wyoming big sagebrush over deep-rooted perennial bunchgrasses. Combinations of these would allow the sagebrush overstory to increase and dominate the site, causing a reduction in the perennial bunchgrasses. Bottlebrush squirreltail may increase in density depending on the grazing management.
Community Phase 1.2: This community phase is characteristic of a post-disturbance, early to mid-seral community phase. Thurber’s needlegrass can experience high mortality from fire and may be reduced in the community for several years. With low fire severity, Thurber’s needlegrass may dominate the site post-fire. Ephedra, desert peach, spiny hopsage, Indian ricegrass and other perennial grasses are common. Wyoming big sagebrush is killed by fire, therefore decreasing within the burned community. Sagebrush could still be present in unburned patches.
Community Phase Pathway 1.2a, from Phase 1.2 to 1.1: Time and lack of disturbance allows for sagebrush to reestablish.
Community Phase 1.3: Wyoming big sagebrush increases in the absence of disturbance. Decadent sagebrush dominates the overstory and the deep-rooted perennial bunchgrasses in the understory are reduced either from competition with shrubs or from herbivory. Bottlebrush squirreltail will likely increase in the understory and may be the dominant grass on the site.
Community Phase Pathway 1.3a, from Phase 1.3 to 1.1: Aroga moth infestation and/or release from growing season herbivory may reduce sagebrush dominance and allow recovery of the perennial bunchgrass understory.
Community Phase Pathway 1.3b, from Phase 1.3 to 1.2: Fire would decrease or eliminate the overstory of sagebrush and allow for the perennial bunchgrasses to dominate the site. Fires would typically be small and patchy due to low fuel loads. A fire following an unusually wet spring or a change in management may be more severe and reduce sagebrush cover to trace amounts. A severe infestation of Aroga moth could also cause a large decrease in sagebrush within the community, giving a competitive advantage to the perennial grasses and forbs.
T1A: Transition from Reference State 1.0 to Current Potential State 2.0
Trigger: This transition is caused by the introduction of non-native annual weeds; such as cheatgrass, Russian thistle (Salsola iberica), medusahead, or stork’s bill (Erodium spp.) dominate the understory.
Slow variables: Over time the annual non-native plants will increase within the community decreasing organic matter inputs from deep-rooted perennial bunchgrasses resulting in reductions in soil water availability for perennial bunchgrasses.
Threshold: Any amount of introduced non-native species causes an immediate decrease in the resilience of the site. Annual non-native species cannot be easily removed from the system and have the potential to significantly alter disturbance regimes from their historic range of variation.
Current Potential State 2.0: This state is similar to the Reference State 1.0. Ecological function has not changed, however the resiliency of the state has been reduced by the presence of invasive weeds. This state has the same three general community phases. Negative feedbacks enhance ecosystem resilience and contribute to the stability of the state. These include the presence of all structural and functional groups, low fine fuel loads and retention of organic matter and nutrients. Positive feedbacks decrease ecosystem resilience and stability of the state. These include the non-natives high seed output, persistent seed bank, rapid growth rate, ability to cross pollinate and adaptations for seed dispersal. Additionally, the presence of highly flammable, non-native species reduces state resilience because these species can promote fire where historically fire has been infrequent leading to positive feedbacks that further the degradation of the system.
Community Phase 2.1: Wyoming big sagebrush and Thurber’s needlegrass dominate the site. Ephedra, Indian ricegrass and bottlebrush squirreltail are also common on this site. Utah juniper may be present. Non-native annual species are present in minor amounts.
Community Phase Pathway 2.1a, from Phase 2.1 to 2.2: Fire would decrease or eliminate the overstory of sagebrush and allow for the perennial bunchgrasses to dominate the site. Fires would typically be small and patchy due to low fuel loads. A fire following an unusually wet spring or a change in management may be more severe and reduce sagebrush cover to trace amounts. A severe infestation of Aroga moth could also cause a large decrease in sagebrush within the community, giving a competitive advantage to the perennial grasses and forbs. Annual non-native species generally respond well after fire and may be stable or increasing within the community.
Community Phase Pathway 2.1b, from Phase 2.1 to 2.3: Time, long-term drought, grazing management that favors shrubs or combinations of these would allow the sagebrush overstory to increase and dominate the site, causing a reduction in the perennial bunchgrasses. However, Sandberg bluegrass and/or squirreltail may increase in the understory depending on the grazing management. Heavy spring grazing will favor an increase in sagebrush. Annual non-native species may be stable or increasing within the understory.
Community Phase 2.2: This community phase is characteristic of a post-disturbance, early seral community phase. Thurber’s needlegrass, Indian ricegrass, and other perennial bunchgrasses dominate the site. Sprouting shrubs such as rabbitbrush, ephedra, desert peach, and spiny hopsage may increase. Wyoming big sagebrush is killed by fire, therefore decreasing within the burned community. Sagebrush could still be present in unburned patches. Perennial forbs may increase or dominate after fire for several years. Thurber’s needlegrass can experience high mortality from fire and may be reduced in the community for several years. Annual non-native species generally respond well after fire and maybe stable or increasing within the community. Rabbitbrush may dominate the aspect for a number of years following wildfire.
Community Phase Pathway 2.2a, from Phase 2.2 to 2.1: Absence of disturbance over time allows for the sagebrush to recover may be combined with grazing management that favors shrubs.
Community Phase Pathway 2.2a, from Phase 2.2 to 2.4: Higher than normal spring precipitation favors annual non-native species such as cheatgrass. Non-native annual species will increase in production and density throughout the site. Perennial bunchgrasses may also increase in production.
Community Phase 2.3: Wyoming big sagebrush increases and the perennial understory is reduced. Decadent sagebrush dominates the overstory and the deep-rooted perennial bunchgrasses in the understory are reduced either from competition with shrubs or from inappropriate grazing management. Bottlebrush squirreltail will likely increase in the understory and may be the dominant grass on the site. Utah juniper may be present. Annual non-native species present.
Community Phase Pathway 2.3a, from Phase 2.3 to 2.1: Low severity fire or Aroga moth infestation creates sagebrush/grass mosaic. Other disturbances/practices include brush management with minimal soil disturbance; late-fall/winter grazing causing mechanical damage to sagebrush.
Community Phase Pathway 2.3b, from Phase 2.3 to 2.2: Fire would decrease or eliminate the overstory of sagebrush and allow for the perennial bunchgrasses to dominate the site. Fires would typically be small and patchy due to low fuel loads. A fire following an unusually wet spring or a change in management may be more severe and reduce sagebrush cover to trace amounts. A severe infestation of Aroga moth could also cause a large decrease in sagebrush within the community, giving a competitive advantage to the perennial grasses and forbs.
Community Phase Pathway 2.3c, from Phase 2.3 to 2.4: Fall, winter, and spring precipitation and temperatures mediate the ability for annual grasses and perennial grasses to germinate and/or survive. Higher than normal spring precipitation creates high annual production of annual grasses (Bradley et al. 2016). Non-native annual species increase in production and density throughout the site. Perennial bunchgrasses may also increase in production.
Community Phase 2.4: This community is at risk of crossing into an annual state. Native bunchgrasses dominate; however, annual non-native species such as cheatgrass may be sub or co-dominant in the understory. Annual production and abundance of these annuals may increase drastically in years with heavy spring precipitation. Seeded species may be present. Sagebrush may be present if coming from phase 2.3. This site is susceptible to further degradation from grazing, drought, and fire.
Community Phase Pathway 2.4a, from Phase 2.4 to 2.2: Fall, winter, and spring precipitation and temperatures mediate the ability for annual grasses and perennial grasses to germinate and/or survive. Depending on temperatures and precipitation in winter and spring, annual grass production may be reduced in favor of perennial bunchgrasses.
Community Phase Pathway 2.4b, from Phase 2.4 to 2.3: Rainfall patterns favoring perennial bunchgrasses. Less than normal spring precipitation followed by higher than normal summer precipitation will increase perennial bunchgrass production.
T2A: Transition from Current Potential State 2.0 to Shrub State 3.0:
Trigger: Inappropriate, long-term grazing of perennial bunchgrasses during growing season would favor shrubs and initiate transition to Community Phase 3.1. Fire would cause a transition to Community Phase 3.2.
Slow variables: Long term decrease in deep-rooted perennial grass density resulting in a decrease in organic matter inputs and subsequent soil water decline.
Threshold: Loss of deep-rooted perennial bunchgrasses changes spatial and temporal nutrient cycling and redistribution, and reduces soil organic matter.
T2B: Transition from Current Potential State 2.0 to Annual State 4.0:
Trigger: Fire or a failed range seeding leads to plant community phase 4.1. Inappropriate grazing management that favors shrubs in the presence of non-native annual species leads to community phase 4.2.
Slow variables: Increased production and cover of non-native annual species.
Threshold: Cheatgrass or other non-native annuals dominate understory.
Shrub State 3.0: This state has two community phases; a Wyoming big sagebrush dominated phase and a bottlebrush squirreltail dominated phase. This state is a product of many years of heavy grazing during time periods harmful to perennial bunchgrasses. Bottlebrush squirreltail will increase with a reduction in deep-rooted perennial bunchgrass competition and become the dominant grass. Sagebrush dominates the overstory and rabbitbrush may be a significant component. Sagebrush canopy cover is high and sagebrush may be decadent, reflecting stand maturity and lack of seedling establishment due to competition with mature plants. The shrub overstory and bottlebrush squirreltail understory dominate site resources such that soil water, nutrient capture, nutrient cycling and soil organic matter are temporally and spatially redistributed.
Community Phase 3.1: Wyoming big sagebrush dominates the overstory. Bottlebrush squirreltail dominates the understory. Utah juniper may be present or increasing. Annual non-native species may be present. Understory may be sparse, with bare ground increasing. Pinyon and/or juniper may be present or increasing.
Community Phase Pathway 3.1a, from Phase 3.1 to 3.2: Fire would decrease or eliminate the overstory of sagebrush. A severe infestation of Aroga moth could also cause a large decrease in sagebrush within the community, giving a competitive advantage to the bottlebrush squirreltail, forbs and sprouting shrubs. Heavy fall grazing causing mechanical damage to shrubs, and/or brush treatments with minimal soil disturbance, would greatly reduce the overstory shrubs and allow for Sandberg bluegrass to dominate the site.
Community Phase 3.2: Bottlebrush squirreltail dominates the understory; annual non-natives are present but are not dominant. Trace amounts of sagebrush may be present. Sprouting shrubs may dominate for a number of years following fire.
Community Phase Pathway 3.2a, from Phase 3.2 to 3.1: Absence of disturbance over time would allow for sagebrush and other shrubs to recover.
T3A: Transition from Shrub State 3.0 to Annual State 4.0:
Trigger: Fire or inappropriate grazing management can eliminate the bottlebrush squirreltail understory and transition to community phase 4.1 or 4.2.
Slow variable: Increased seed production and cover of annual non-native species.
Threshold: Increased, continuous fine fuels modify the fire regime by changing intensity, size and spatial variability of fires. Changes in plant community composition and spatial variability of vegetation due to the loss of perennial bunchgrasses and sagebrush truncate energy capture and impact the nutrient cycling and distribution.
T3B: Transition from Shrub State 3.0 to Tree State 5.0:
Trigger: Lack of fire allows for trees to dominate site; may be coupled with inappropriate grazing management that reduces fine fuels.
Slow variables: Increased establishment and cover of juniper trees, reduction in organic matter inputs.
Threshold: Trees overtop Wyoming big sagebrush and out-compete shrubs for water and sunlight. Shrub skeletons exceed live shrubs with minimal recruitment of new cohorts.R3A: Restoration from Shrub State 3.0 to Seeded State 5.0: Brush management, herbicide, and seeding of crested wheatgrass (Agropyron cristatum) and/or other desired species.
Annual State 4.0: This state has two community phases; one dominated by annual non-native species and the other is a shrub dominated state. This state is characterized by the dominance of annual non-native species such as cheatgrass, Russian thistle, medusahead, and/or stork’s bill (Erodium spp.) in the understory. Sagebrush and/or rabbitbrush may dominate the overstory.
Community Phase 4.1: Annual non-native plants dominate the site. This phase may have seeded species present if resulting from a failed seeding attempt.
Community Phase Pathway 4.1a, from Phase 4.1 to 4.2: Time and lack of disturbance allows for shrubs to reestablish. Sprouting shrubs such as ephedra, desert peach and rabbitbrush will be the first to reappear after fire. Probability of sagebrush establishment is extremely low.
Community Phase 4.2: Wyoming big sagebrush remains in the overstory with annual non-native species dominating the understory. Trace amounts of desirable bunchgrasses may be present.
Community Phase Pathway 4.2a, from Phase 4.2 to 4.1: Fire allows for annual non-native species to dominate site.
Tree State 5.0: This state has two community phases that are characterized by the dominance of Utah juniper and/or singleleaf pinyon in the overstory. Wyoming big sagebrush and perennial bunchgrasses may still be present, but they are no longer controlling site resources. Soil moisture, soil nutrients, soil organic matter distribution and nutrient cycling have been spatially and temporally altered.
Community Phase 5.1: Utah juniper and/or singleleaf pinyon dominate overstory, sagebrush is decadent and dying, and cover of deep-rooted perennial bunchgrasses is decreasing. Recruitment of sagebrush cohorts is minimal. Annual non-natives may be present or increasing.
Community Phase Pathway 5.1a, from Phase 5.1 to 5.2: Absence of disturbance over time allows for tree cover and density to further increase and out-compete the herbaceous understory species.
Community Phase 5.2: Utah juniper and/or singleleaf pinyon dominates the site and tree leader growth is minimal; annual non-native species may be the dominant understory species and will typically be found under the tree canopies. Trace amounts of sagebrush may be present however dead skeletons will be more numerous than living sagebrush. Bunchgrasses may or may not be present. Bottlebrush squirreltail or mat forming forbs may be present in trace amounts. Bare ground interspaces are large and connected. Soil redistribution is evident
Community Phase Pathway 5.2a, from Phase 5.2 to 5.1: Manual or mechanical thinning of trees allows understory regrowth due to less competition for resources. This treatment is typically done for fuel management.
T5A: Transition from Tree State 5.0 to Annual State 4.0:
Trigger: Catastrophic crown fire would reduce or eliminate trees to transition the site to 4.1. Tree removal when annual non-natives such as cheatgrass are present would also transition the site to state 4.0.
Slow variable: Increased seed production and cover of annual non-native species.
Threshold: Increased, continuous fine fuels modify the fire regime by changing intensity, size and spatial variability of fires. Changes in plant community composition and spatial variability of vegetation due to the loss of perennial bunchgrasses and sagebrush truncate energy capture and impact the nutrient cycling and distribution.
R5A: Restoration from Tree State 5.0 to Shrub State 3.0: Tree removal or fire when bottlebrush squirreltail is dominant in the understory will transition to community phase 3.2.
R5B: Restoration from Tree State 5.0 to Seeded State 6.0: Tree removal and seeding of desired species. Tree removal practices that minimize soil disturbance are recommended. Probability of success declines with increased presence of nonnative annual species.
Seeded State 6.0: This state has two community phases: a grass-dominated phase, and a shrub-dominated phase. This state is characterized by the dominance of seeded introduced wheatgrass species in the understory. Forage kochia (Bassia prostrata) and other desired seeded species including Wyoming big sagebrush, native and non-native forbs may be present.
Community Phase 6.1: Seeded wheatgrass and/or other seeded species dominate the community. Non-native annual species are present. Trace amounts of Wyoming big sagebrush may be present, especially if seeded.
Community Phase Pathway 6.1a, from Phase 6.1 to 6.2: Time and lack of disturbance allow shrubs to increase. Pathway may be coupled with inappropriate grazing management.
Community Phase 6.2: Wyoming big sagebrush increases and becomes dominant in the overstory. Seeded wheatgrass species dominate understory. Annual non-native species may be present in trace amounts.
Community Phase Pathway 6.2a, from Phase 6.2 to 6.1: Fire, brush management and/or Aroga moth infestation reduces sagebrush overstory and allows for seeded wheatgrasses or other seeded grasses to increase.
T6A: Transition from Seeded State 6.0 Shrub State 3.0:
Trigger: Inappropriate, long-term grazing of perennial bunchgrasses during growing season would favor shrubs and initiate transition to Community Phase 3.1. Fire would cause a transition to Community Phase 3.2.
Slow variables: Long term decrease in deep-rooted perennial grass density, resulting in a decrease in organic matter inputs and subsequent soil water decline.
Threshold: Loss of deep-rooted perennial bunchgrasses changes spatial and temporal nutrient cycling and nutrient redistribution, and reduces soil organic matter.
State 1
Reference Plant Community
Community 1.1
Reference Plant Community
The reference plant community is dominated by desert needlegrass and Wyoming big sagebrush. Potential vegetative composition is about 50% grasses, 5% forbs and 45% shrubs and trees. Approximate ground cover (basal and crown) is 15 to 25 percent.
Table 6. Annual production by plant type
Plant type |
Low (lb/acre) |
Representative value (lb/acre) |
High (lb/acre) |
Grass/Grasslike |
150 |
225 |
300 |
Shrub/Vine |
135 |
203 |
270 |
Forb |
15 |
22 |
30 |
Total |
300 |
450 |
600 |