Ecological dynamics
As ecological condition declines, mountain big sagebrush and silver sagebrush become dominant while perennial grasses decrease in the understory. Rubber rabbitbrush is an invader in this site.
Fire Ecology:
Presettlement fire return intervals in mountain big sagebrush communities varied from 15 to 25 years. Plants are readily killed in all seasons, even light severity fires.
Mountain big sagebrush is highly susceptible to injury from fire. It is often top-killed by fire and will not resprout.
Silver sagebrush steppes experience stand-replacement fires. Fire frequencies are uncertain: fire histories for silver sagebrush communities are sparse to altogether lacking. Since plant productivity and community structure vary across the species' wide geographical distribution, historic fire intervals were probably similarly varied.
Surface fires top kills silver sagebrush. Silver sagebrush has a strong sprouting response after top kill fire. Because perennating buds on rhizomes and roots are protected by soil, silver sagebrush ordinarily survives even severe surface fires. Fall burning is harder on silver sagebrush than spring burning.
Western needlegrass is moderately damaged by fire. The recovery time is between 3 and 5 years. Sandberg bluegrass is generally unharmed by fire. It produces little litter, and its small bunch size and sparse litter reduces the amount of heat transferred to perennating buds in the soil. Its rapid maturation in the spring also reduces fire damage, since it is dormant when most fires occur.
State and Transition Model Narrative Group 5
This is a text description of the states, phases, transitions, and community pathways possible in the State and Transition model for the MLRA 26 Disturbance Response Group 5. Other sites included in this group are R026XY049NV and R026XY037NV. All sites in this group respond similarly to disturbance and have similar state and transition models.
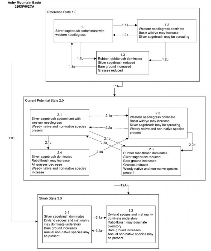
Reference State 1.0:
The reference state 1.0 is a representative of the natural range of variability under pristine conditions. The reference state has three general community phases: a shrub-grass dominant phase, a perennial grass dominant phase and a shrub dominant phase. State dynamics are maintained by interactions between climatic patterns, hydrology and disturbance regimes. Negative feedbacks enhance ecosystem resilience and contribute to the stability of the state. These include the presence of all structural and functional groups, low fine fuel loads, and retention of organic matter and nutrients. Plant community phase changes are primarily driven by fire, periodic drought and/or insect or disease attack.
Community Phase 1.1:
This community is dominated by silver sagebrush and needlegrasses. Mat muhly and western wheatgrass can be significant components. Forbs and other grasses make up smaller components.
Community Phase Pathway 1.1a, from Phase 1.1 to 1.2:
Fire will top-kill silver sagebrush and allow for the perennial bunchgrasses and mat-forming grasses to increase. Fire severity is dependent on amount of fine fuels in the understory.
Community Phase Pathway 1.1b, from Phase 1.1 to 1.3:
Ponding reduces plant productivity and may allow rabbitbrush to dominate.
Community Phase 1.2:
This community phase is characteristic of a post-disturbance, early- to mid-seral community. Needlegrasses and other perennial grasses dominate. Silver sagebrush is reduced within the community after fire, but will be sprouting. Rabbitbrush and other sprouting shrubs may increase. Perennial forbs may be a significant component for a number of years following fire. If coming from a Phase 1.3 (post-flood), silver sagebrush will reestablish by seed.
Community Phase Pathway 1.2a, from Phase 1.2 to 1.1:
Time and lack of disturbance will allow sagebrush to increase.
Community Phase Pathway 1.2b, from Phase 1.2 to 1.3:
Prolonged ponding reduces plant productivity, causes silver sagebrush stress, and may allow rabbitbrush to dominate once the site dries.
Community Phase 1.3:
Rubber rabbitbrush becomes dominant after a wet year or years that result in ponded conditions. Bare ground increases and may dominate the visual aspect. Silver sagebrush and grasses are reduced.
Community Phase Pathway 1.3a, from Phase 1.3 to 1.1:
Release from ponded conditions allows silver sagebrush to dominate.
T1A: Transition from the Reference State 1.0 to Current Potential State 2.0
Trigger: This transition is caused by the introduction of non-native annual plants.
Slow variables: Over time the annual non-native species will increase within the community.
Threshold: Any amount of introduced non-native species causes an immediate decrease in the resilience of the site. Annual non-native species cannot be easily removed from the system and have the potential to significantly alter disturbance regimes from their historic range of variation.
T1B: Transition from the Reference State 1.0 to Sagebrush State 3.0
Trigger: Long term drought, incision, or other significant hydrological change that lowers the water table. May be coupled with lack of fire and inappropriate grazing management. Transition not associated with introduction of annual non-native species.
Slow Variables: Silver sagebrush is not capable of surviving with a low water table. Over time, plants die off and are not capable of reproducing in the drier soil conditions. Wyoming big sagebrush is able to populate the area. If coupled with inappropriate grazing management, needlegrasses are lost from excessive long-term use.
Threshold: Permanent lowering of the water table beyond the reach of silver sagebrush that results in mortality of adult plants.
Current Potential State 2.0:
This state is similar to the Reference State 1.0. Ecological function has not changed, however the resiliency of the state has been reduced by the presence of invasive weeds. This state has four general community phases: a shrub-grass dominant phase, a perennial grass dominant phase, a shrub dominant phase and a sprouting shrub dominant phase. These non-native species can be highly flammable and promote fire where historically fire had been infrequent. Negative feedbacks enhance ecosystem resilience and contribute to the stability of the state. These feedbacks include the presence of all structural and functional groups, low fine fuel loads, and retention of organic matter and nutrients. Positive feedbacks decrease ecosystem resilience and stability of the state. These include the non-natives’ high seed output, persistent seed bank, rapid growth rate, ability to cross pollinate, and adaptations for seed dispersal.
Community Phase 2.1:
This community phase is similar to the Reference State Community Phase 1.1, with the presence of non-native species in trace amounts. Silver sagebrush, needlegrasses and mat muhly dominate the site. Forbs and other shrubs and grasses make up smaller components of this site.
Community Phase Pathway 2.1a, from Phase 2.1 to 2.2:
Fire will top kill silver sagebrush and allow for the herbaceous community to increase. Fire severity is dependent on amount of fine fuels in the understory. Annual non-native species are likely to increase after fire.
Community Phase Pathway 2.1b, from Phase 2.1 to 2.3:
Ponding reduces plant productivity and may allow rabbitbrush to dominate.
Community Phase Pathway 2.1c, from Phase 2.1 to 2.4:
Time without disturbance such as fire. May be coupled with inappropriate grazing management.
Community Phase 2.2:
This community phase is characteristic of a post-disturbance, early/mid-seral community. Needlegrasses and other perennial bunchgrasses dominate. Silver sagebrush is reduced within the community post-fire, but will resprout. Rabbitbrush and other sprouting shrubs may increase. Perennial forbs may be a significant component for a number of years following fire. If coming from a Phase 2.3 (post-flood), silver sagebrush will reestablish by seed. Annual non-native species are stable or increasing within the community.
Community Phase Pathway 2.2a, from Phase 2.2 to 2.1:
Time and lack of disturbance and/or grazing management that favors the establishment and growth of sagebrush allows the shrub component to recover. Silver sagebrush sprouts and will be able to return to pre-burn levels quickly.
Community Phase Pathway 2.2b, from Phase 2.2 to 2.3:
Prolonged ponding reduces plant productivity, causes silver sagebrush stress, and may allow rabbitbrush to dominate once the site dries.
Community Phase 2.3:
Rubber rabbitbrush becomes dominant after a wet year or years that result in ponded conditions. Bare ground increases and may dominate the visual aspect. Silver sagebrush and bunchgrasses are reduced.
Community Phase Pathway 2.3a, from Phase 2.3 to 2.1:
Release from ponded conditions allows silver sagebrush to dominate.
Community Phase 2.4:
Sagebrush dominates the overstory and perennial bunchgrasses in the understory are reduced, either from competition with shrubs or from inappropriate grazing, or from both. Rabbitbrush may be a significant component. Mat muhly may increase. This site is susceptible to further degradation from grazing, drought, and fire.
Community Phase Pathway 2.4a, from Phase 2.4 to 2.2:
Fire will top kill silver sagebrush and allow for the herbaceous community to increase. Fire severity is dependent on amount of fine fuels in the understory.
T2A: Transition from Current Potential State 2.0 to Sagebrush State 3.0
Trigger: Long term drought, incision, or other significant hydrological change that lowers the water table. May be coupled with lack of fire and inappropriate grazing management. Transition not associated with introduction of annual non-native species.
Slow Variables: Silver sagebrush is not capable of surviving with a water table below the rooting zone during spring growing season. Over time, plants die off and are not capable of reproducing in the drier soil conditions. Big sagebrush (Artemisia tridentata) is able to populate the area. If coupled with inappropriate grazing management, needlegrasses are lost from excessive long-term use. Rhizomatous grasses or dryland sedge may become the dominant understory.
Threshold: Permanent lowering of the water table beyond the reach of silver sagebrush that results in mortality of adult plants.
Shrub State 3.0:
This state has two community phases, a silver sagebrush-dominated phase and a post-fire phase. Long-term inappropriate grazing management reduces or eliminates grazing-intolerant grasses like needlegrasses and basin wildrye. Repeated heavy utilization in the spring or season-long use is damaging to the bunchgrass community on this site. Shrubs and grazing-tolerant grasses and grass-likes become dominant. The loss of deep-rooted grasses reduces the amount and depth of organic matter that is cycled in the soil. Shrub cover exceeds site concept and may be decadent, reflecting stand maturity and lack of seedling establishment due to competition with mature plants. The shrub overstory and rhizomatous grass and/or sedge understory dominate site resources such that soil water, nutrient capture, nutrient cycling and soil organic matter are temporally and spatially redistributed.
Community Phase 3.1:
Decadent silver sagebrush dominates the overstory. Deep-rooted perennial bunchgrasses are present in only trace amounts or are absent from the community. Mat muhly, western wheatgrass, and dryland sedges increase. Bare ground may be significant. Annual non-native species may be present.
Community Phase Pathway 3.1a, from Phase 3.1 to 3.2:
Fire reduces cover and production of silver sagebrush. Rabbitbrush sprouts after fire and becomes the dominant shrub. Mat muhly, western wheatgrass, and sedges survive fire and increase in the understory.
Community Phase 3.2:
Mat muhly, western wheatgrass, and/or Douglas sedge dominate. Rubber rabbitbrush may be a significant component. Basin wildrye and needlegrasses are missing. Silver sagebrush may be sprouting.
Community Phase Pathway 3.2a, from Phase 3.2 to 3.1:
Time without disturbance allows silver sagebrush to again become dominant.
State 1
Reference Plant Community
Community 1.1
Reference Plant Community
The reference plant community is dominated by silver sagebrush, mountain big sagebrush and western needlegrass. Potential vegetative composition is approximately 50 percent grasses and grass-like plants, 10 percent forbs, and 40 percent shrubs. Approximate ground cover (basal and crown) is 30 to 40 percent.
Table 5. Annual production by plant type
Plant type |
Low (lb/acre) |
Representative value (lb/acre) |
High (lb/acre) |
Grass/Grasslike |
275 |
400 |
500 |
Shrub/Vine |
220 |
320 |
400 |
Forb |
55 |
80 |
100 |
Total |
550 |
800 |
1000 |