Ecological dynamics
The pinyon-juniper forest is generally a climax vegetation type throughout its range, reaching climax about 300 years after disturbance, with an ongoing trend toward increased tree density and canopy cover and a decline in understory species over time. Singleleaf pinyon seedling establishment is episodic. Population age structure is affected by drought, which differentially reduces seedling and sapling recruitment more than other age classes. The ecotones between singleleaf pinyon forests and adjacent shrublands and grasslands provide favorable microhabitats for singleleaf pinyon seedling establishment since they are active zones for seed dispersal, nurse plants are available, and singleleaf pinyon seedlings are only affected by competition from grass and other herbaceous vegetation for a couple of years.
Several natural and anthropogenic processes can lead to changes in the spatial distribution of pinyon-juniper forests over time. These include 1) tree seedling establishment during favorable climatic periods, 2) tree mortality (especially seedlings and saplings) during periods of drought, 3) expansion of trees into adjacent grassland in response to overgrazing and/or fire suppression, and 4) removal of trees by humans, fire, or other disturbance episodes. Specific successional pathways after disturbance in singleleaf pinyon stands are dependent on a number of variables such as plant species present at the time of disturbance and their individual responses to disturbance, past management, type and size of disturbance, available seed sources in the soil or adjacent areas, and site and climatic conditions throughout the successional process.
Fire Ecology:
On high-productivity sites where sufficient fine fuels existed, singleleaf pinyon communities burn every 15 to 20 years, and on less productive sites with patchy fuels, fire return intervals may have been in the range of 50 to 100 years or longer. Thin bark and lack of self pruning make singleleaf pinyon very susceptible to intense fire. Mature singleleaf pinyon can survive low-severity surface fires but is killed by more severe fires. Most tree seedlings are killed by fire, but cached seeds may survive.
Mountain big sagebrush is highly susceptible to injury from fire. Plants are readily killed in all seasons, even light severity fires. Mountain big sagebrush plants top-killed by fire will not resprout.
Major Successional Stages of Forest Development
HERBACEOUS: Vegetation is dominated by grasses and forbs under full sunlight. This stage is experienced after a major disturbance such as crown fire. Skeleton forest (dead trees) remaining after fire or residual trees left following harvest have little or no affect on the composition and production of the herbaceous vegetation.
SHRUB-HERBACEOUS: Herbaceous vegetation and woody shrubs dominate the site. Various amounts of tree seedlings (less than 20 inches in height) may be present up to the point where they are obviously a major component of the vegetal structure.
SAPLING: In the absence of disturbance, the tree seedlings develop into saplings (20 inches to 4.5 feet in height) with a range in canopy cover of about 5 to 10 percent. Vegetation consists of grasses, forbs and shrubs in association with tree saplings.
IMMATURE FOREST: The visual aspect and vegetal structure are dominated by pinyon trees greater than 4.5 feet in height. The upper crown of singleleaf pinyon are cone or pyramidal shaped. Seedlings and saplings of pinyon are present in the understory. Dominants are the tallest trees on the site. Understory vegetation is moderately influenced by a tree overstory canopy of about 10 to 20 percent.
MATURE FOREST: The visual aspect and vegetal structure are dominated by singleleaf pinyon that have reached or are near maximal heights for the site. Dominant trees average greater than five inches in diameter at one-foot stump. Upper crowns are typically either irregularly or smoothly flat-topped or rounded. Tree canopy cover averages about 25 percent. Understory vegetation is strongly influenced by tree competition, overstory shading, duff accumulation, etc. Infrequent, yet periodic, wildfire is presumed to be a natural factor influencing the understory of mature pinyon woodlands. This stage of community development is assumed to be representative of this woodland site in the pristine environment.
OVER-MATURE FOREST: In the absence of wildfire or other naturally occurring disturbances, the tree canopy on this site can become very dense. At this stage singleleaf pinyon has reached maximal heights for the site. Dominant and co-dominant trees average greater than five inches in diameter at one-foot stump height. Upper crowns are typically irregularly flat-topped or rounded. Understory vegetation is sparse or absent due to tree competition, overstory shading, duff accumulation, etc. Tree canopy cover is commonly greater than 40 percent.
Description of MLRA 26 DRG 19:
Disturbance Response Group (DRG) 19 consists of six ecological sites; F026XY060NV, F026XY044NV, F026XY061NV, F026XY069NV, F026XY104NV, F026XY071NV (Stringham et al. 2021). This group receives 10 to 14 inches of precipitation each year. Elevations range from 5,000 to 9,000 while slopes range from 15 to 75 percent. The soils are typically shallow to moderately deep and well drained and the water holding capacity is low to moderate. The soils are generally skeletal with 35 to 50 percent gravels, cobbles, or stones, by volume, distributed throughout the soil profile. This group is dominated by singleleaf pinyon (Pinus monophylla) with mountain big sagebrush (Artemisia tridentata ssp. vaseyana) as the primary understory shrub. Utah juniper (Juniperus osteosperma) and curl-leaf mountain mahogany (Cercocarpus ledifolius) are minor components. Other subdominant shrubs in the group include Wyoming big sagebrush (Artemisia tridentata ssp. wyomingensis) and antelope bitterbrush (Purshia tridentata). The dominant understory grass is Thurber’s needlegrass (Achnatherum thurberianum) or desert needlegrass (Achnatherum speciosum). Other grasses in the group include muttongrass (Poa fendleriana) and prairie junegrass (Koeleria macrantha). Under medium canopy cover (20 to 30 percent), understory production ranges from 200 to 450 pounds per acre in a normal year.
Potential Resilience Differences with other Ecological Sites:
Shallow Clayey Summit 11-14 P.Z. (F026XY069NV):
This site is very similar to the modal site but with antelope bitterbrush as the subdominant shrub. The dominant grass on this site is muttongrass with prairie junegrass subdominant. It occurs on mid- to upper mountain sideslopes at a slightly higher elevation of 6,500 to 8,500 feet. This site also receives more precipitation with 12 to 18 inches annually and is slightly more productive than the modal site with 350 lbs/ac of forage produced in a normal year under medium canopy (21 to 35 percent). This site is sometimes found with up to 15% Utah juniper or curl-leaf mountain mahogany canopy.
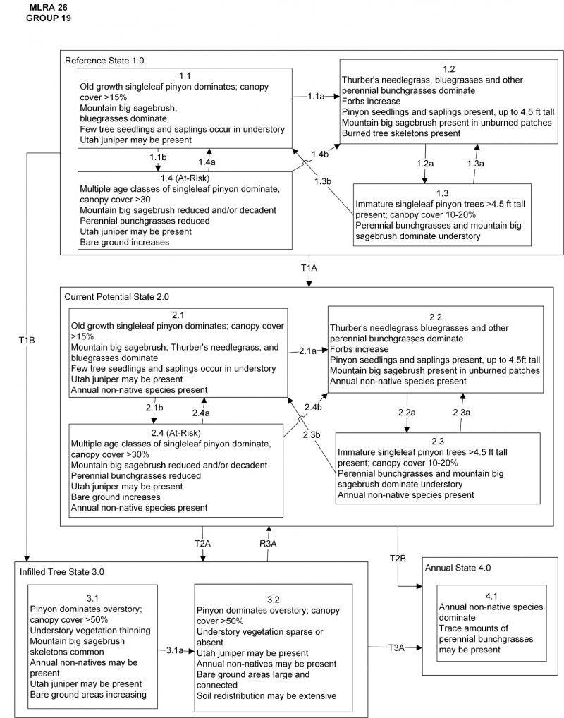
General State and Transition Model Narrative for Group 19:
This is a text description of the states, phases, transitions, and community pathways possible in the State and Transition model for the MLRA 26 disturbance response group 19.
Reference State 1.0:
The Reference State 1.0 is representative of the natural range of variability under pristine conditions. This Reference State has four general community phases: an old-growth woodland phase, a shrub-herbaceous phase, an immature tree phase, and an infilled tree phase. State dynamics are maintained by interactions between climatic patterns and disturbance regimes. Negative feedbacks enhance ecosystem resilience and contribute to the stability of the state. These include the presence of all structural and functional groups, low fine fuel loads, and retention of organic matter and nutrients. Plant community phase changes are primarily driven by fire, periodic long-term drought, and/or insect or disease attack. Fires are typically small and patchy due to low fuel loads. This fire type will create a plant community mosaic that will include all/most of the following community phases within this state.
Community Phase 1.1:
This phase is characterized by widely dispersed old-growth singleleaf pinyon trees with an understory of mountain big sagebrush and perennial bunchgrasses. The visual aspect is dominated by singleleaf pinyon with 15 percent or greater canopy cover (USDA 1997). Utah juniper may be present. Trees have reached maximal or near maximal heights for the site and many tree crowns may be flat- or round-topped. Muttongrass with prairie junegrass are the most prevalent grasses in the understory. Mountain big sagebrush is the primary understory shrub. Forbs such as arrowleaf balsamroot (Balsamorhiza sagittata) and tapertip hawksbeard (Crepis acuminata) are minor components. Utah juniper may be present.
Community Phase Pathway 1.1a, from Phase 1.1 to 1.2:
A high-severity crown fire will eliminate or reduce the singleleaf pinyon overstory and the shrub component. This allows for the perennial bunchgrasses to dominate the site.
Community Phase Pathway 1.1b, from Phase 1.1 to 1.4:
Time without disturbance such as fire, long-term drought, or disease will allow for the gradual infilling of singleleaf pinyon.
Community Phase 1.2:
This community phase is characterized by a post-fire shrub and herbaceous community. Perennial grasses dominate. Thurber’s needlegrass can experience high mortality from fire and may be reduced in the community for several years. Forbs may increase post-fire but will likely return to pre-burn levels within a few years. Singleleaf pinyon seedlings up to 4 feet in height may be present. Mountain big sagebrush may be present in unburned patches. Burned tree skeletons may be present; however, these have little or no effect on the understory vegetation.
Community Phase Pathway 1.2a, from Phase 1.2 to 1.3:
Time without disturbance such as fire, long-term drought, or disease will allow for the gradual maturation of the singleleaf pinyon component. Mountain big sagebrush reestablishes. Excessive herbivory may also reduce perennial grass understory.
Community Phase 1.3
This community phase is characterized as an immature woodland with singleleaf pinyon trees averaging over 4.5 feet in height. Pinyon canopy cover is between 10 to 20 percent. Tree crowns are typically cone- or pyramidal-shaped. Understory vegetation consists of smaller tree seedling and saplings, as well as perennial bunchgrasses and sagebrush.
Community Phase Pathway 1.3a, from Phase 1.3 to 1.2:
Fire reduces or eliminates tree canopy, allowing perennial grasses to dominate the site.
Community Phase Pathway 1.3b, from Phase 1.3 to 1.1:
Time without disturbance such as fire, long-term drought, or disease will allow for the gradual maturation of singleleaf pinyon. Excessive herbivory may also reduce perennial grass understory.
Community Phase 1.4 (at-risk):
This phase is dominated by singleleaf pinyon. The stand exhibits mixed age classes and canopy cover exceeds 30 percent. The density and vigor of the mountain big sagebrush and perennial bunchgrass understory is decreased. Bare ground areas are likely to increase. Mat-forming forbs may increase. Utah juniper may be present. This community is at risk of crossing a threshold; without proper management this phase will transition to the infilled woodland state 3.0. This community phase is typically described as early Phase II woodland (Miller et al. 2008).
Community Phase Pathway 1.4a, from Phase 1.4 to 1.1:
Low intensity fire, insect infestation, or disease kills individual trees within the stand reducing canopy cover to less than 35 percent. Over time young trees mature to replace and maintain the old-growth woodland. The mountain big sagebrush and perennial bunchgrass community increases in density and vigor.
Community Phase Pathway 1.4b, from Phase 1.4 to 1.2:
A high-severity crown fire will eliminate or reduce the singleleaf pinyon overstory and the shrub component which will allow for the perennial bunchgrasses to dominate the site.
T1A: Transition from Reference State 1.0 to Current Potential State 2.0:
Trigger: Introduction of non-native annual species.
Slow variables: Over time the annual non-native plants will increase within the community.
Threshold: Any amount of introduced non-native species causes an immediate decrease in the resilience of the site. Annual non-native species cannot be easily removed from the system and have the potential to significantly alter disturbance regimes from their historic range of variation.
T1B: Transition from Reference State 1.0 to Infilled Tree State 3.0:
Trigger: Time and a lack of disturbance allow trees to dominate site resources; may be coupled with inappropriate grazing management that favors shrub and tree dominance.
Slow variables: Over time the abundance and size of trees will increase.
Threshold: Singleleaf pinyon canopy cover is greater than 50 percent. Little understory vegetation remains due to competition with trees for site resources.
Current Potential State 2.0:
This state is similar to the Reference State 1.0, with four general community phases: an old-growth woodland phase, a shrub-herbaceous phase, an immature tree phase, and an infilled tree phase. Ecological function has not changed, however the resiliency of the state has been reduced by the presence of non-native species. These non-natives, particularly cheatgrass, can be highly flammable and promote fire where historically fire had been infrequent. Negative feedbacks enhance ecosystem resilience and contribute to the stability of the state. These include the presence of all structural and functional groups, low fine fuel loads and retention of organic matter and nutrients. Positive feedbacks decrease ecosystem resilience and stability of the state. These include the non-natives’ high seed output, persistent seed bank, rapid growth rate, ability to cross pollinate, and adaptations for seed dispersal. Fires within this community with the small amount of non-native annual species present are likely still small and patchy due to low fuel loads. This fire type will create a plant community mosaic that will include all/most of the following community phases within this state.
Community Phase 2.1:
This phase is characterized by a widely dispersed old-growth singleleaf pinyon trees with an understory of mountain big sagebrush and perennial bunchgrasses. The visual aspect is dominated by singleleaf pinyon with 15 percent or greater canopy cover (USDA 1997). Utah juniper may be present. Trees have reached maximal or near maximal heights for the site and many tree crowns may be flat- or round-topped. Muttongrass with prairie junegrass are the most prevalent grasses in the understory. Mountain big sagebrush is the primary understory shrub. Forbs such as arrowleaf balsamroot and tapertip hawksbeard are minor components. Utah juniper may be present.
Community Phase Pathway 2.1a, from Phase 2.1 to 2.2:
A high-severity crown fire will eliminate or reduce the singleleaf pinyon overstory and the shrub component. This allows for the perennial bunchgrasses to dominate the site.
Community Phase Pathway 2.1b, from Phase 2.1 to 2.4:
Time without disturbance such as fire, long-term drought, or disease will allow for the gradual infilling of singleleaf pinyon.
Community Phase 2.2:
This community phase is characterized by a post-fire shrub and herbaceous community. Perennial grasses dominate. Forbs may increase post-fire but will likely return to pre-burn levels within a few years. Pinyon seedlings up to 4.5 feet in height may be present. Mountain big sagebrush may be present in unburned patches. Burned tree skeletons may be present; however, these have little or no effect on the understory vegetation. Annual non-native species generally respond well after fire and may be stable or increasing within the community.
Community Phase Pathway 2.2a, from Phase 2.2 to 2.3:
Time without disturbance such as fire, long-term drought, or disease will allow for the gradual maturation of the singleleaf pinyon component. Mountain big sagebrush reestablishes. Excessive herbivory may also reduce perennial grass understory.
Community Phase 2.3:
This community phase is characterized by an immature woodland, with singleleaf pinyon trees averaging over 4.5 feet in height. Tree canopy cover is between 10 to 20 percent. Tree crowns are typically cone- or pyramidal-shaped. Understory vegetation consists of smaller tree seedling and saplings, as well as perennial bunchgrasses and shrubs. Annual non-native species are present.
Community Phase Pathway 2.3a, from Phase 2.3 to 2.2:
Fire reduces or eliminates tree canopy, allowing perennial grasses to dominate the site.
Community Phase Pathway 2.3b, from Phase 2.3 to 2.1:
Time without disturbance such as fire, long-term drought, or disease will allow for the gradual maturation of singleleaf pinyon. Excessive herbivory may also reduce the perennial grass understory.
Community Phase 2.4 (at-risk):
This phase is dominated by singleleaf pinyon and Utah juniper may be present. The stand exhibits mixed age classes and canopy cover exceeds 30 percent. The density and vigor of the mountain big sagebrush and perennial bunchgrass understory is decreased. Bare ground areas are likely to increase. Mat-forming forbs may increase. Annual non-native species are present primarily under tree canopies. Utah juniper may be present. This community is at risk of crossing a threshold, without proper management this phase will transition to the Infilled Tree State 3.0. This community phase is typically described as early Phase II woodland (Miller et al. 2008).
Community Phase Pathway 2.4a, from Phase 2.4 to 2.1:
Low intensity fire, insect infestation, or disease kills individual trees within the stand, reducing canopy cover to less than 35 percent. Over time young trees mature to replace and maintain the old-growth woodland. The mountain big sagebrush and perennial bunchgrass community increases in density and vigor. Annual non-natives present in trace amounts.
Community Phase Pathway 2.4b, from Phase 2.4 to 2.2:
A high-severity crown fire will eliminate or reduce the singleleaf pinyon overstory and the shrub component which will allow for the perennial bunchgrasses to dominate the site. Annual non-native grasses typically respond positively to fire and may increase in the post-fire community.
T2A: Transition from Current Potential State 2.0 to Infilled Tree State 3.0:
Trigger: Time and a lack of disturbance allow trees to dominate site resources; may be coupled with inappropriate grazing management that favors shrub and tree dominance.
Slow variables: Over time the abundance and size of trees will increase.
Threshold: Pinyon canopy cover is greater than 30%. Little understory vegetation remains due to competition with trees for site resources.
T2B: Transition from Current Potential State 2.0 to Annual State 4.0:
Trigger: Catastrophic crown fire facilitates the establishment of non-native, annual weeds.
Slow variables: Increase in tree crown cover, loss of perennial understory and an increase in annual non-native species.
Threshold: Cheatgrass or other non-native annuals dominate understory. Loss of deep-rooted perennial bunchgrasses changes spatial and temporal nutrient cycling and nutrient redistribution, and reduces soil organic matter. Increased canopy cover of trees allows severe stand-replacing fire. The increased seed bank of non-native, annual species responds positively to post-fire conditions facilitating the transition to an Annual State.
Infilled Tree State 3.0:
This state has two community phases that are characterized by the dominance of singleleaf pinyon in the overstory. This state is identifiable by greater than 50 percent cover of singleleaf pinyon and a mixed age class. Older trees are at maximal height and upper crowns may be flat-topped or rounded. Younger trees are typically cone- or pyramidal-shaped. Understory vegetation is sparse due to increasing shade and competition from trees.
Community Phase 3.1:
Singleleaf pinyon dominates the aspect. Understory vegetation is thinning. Perennial bunchgrasses are sparse and mountain big sagebrush skeletons are as common as live shrubs due to tree competition for soil water, overstory shading, and duff accumulation. Tree canopy cover is greater than 50 percent. Utah juniper may be present. Annual non-native species are present or co-dominate in the understory. Bare ground areas are prevalent and soil redistribution is evident. This community phase is typically described as a Phase II woodland (Miller et al. 2008).
Community Phase Pathway 3.1a, from Phase 3.1 to 3.2:
Time without disturbance such as fire, long-term drought, or disease will allow for the gradual maturation of singleleaf pinyon. Infilling by younger trees continues.
Community Phase 3.2:
Singleleaf pinyon dominates the aspect and Utah juniper may be present. Tree canopy cover exceeds 50 percent. Utah juniper may be present. Understory vegetation is sparse to absent. Perennial bunchgrasses, if present exist in the dripline or under the canopy of trees. Mountain sagebrush skeletons are common or the sagebrush has been extinct long enough that only scattered limbs remain. Mat-forming forbs or Sandberg’s bluegrass may dominate interspaces. Annual non-native species are present and are typically found under the trees. Bare ground areas are large and interconnected. Soil redistribution may be extensive. This community phase is typically described as a Phase III woodland (Miller et al. 2008).
T3A Transition from Infilled Tree State 3.0 to Annual State 4.0:
Trigger: Catastrophic fire reduces the tree overstory and allows for the annual non-native species in the understory to dominate the site. Soil disturbing treatments such as slash and burn may also reduce tree canopy and allow for non-native annual species to increase.
Slow variables: Over time, cover and production of annual non-native species increases.
Threshold: Loss of deep-rooted perennial bunchgrasses and shrubs changes temporal and spatial nutrient capture and cycling within the community. Increased, continuous fine fuels modify the fire regime by increasing frequency, size, and spatial variability of fires.
R3A Restoration from Infilled Tree State 3.0 to Current Potential State 2.0:
Manual or mechanical thinning of trees coupled with seeding. Probability of success is highest from community phase 3.1.
Annual State 4.0:
This community is characterized by the dominance of annual non-native species such as cheatgrass and tansy mustard in the understory. Rabbitbrush or other sprouting shrubs may dominate the overstory. Annual non-native species dominate the understory. Ecological dynamics are significantly altered in this state. Annual non-native species create a highly combustible fuel bed that shortens the fire return interval. Nutrient cycling is spatially and temporally truncated as annual plants contribute significantly less to deep soil carbon. This state was not seen in MLRA 26 during field work for this project, however it is possible given increased fire activity in these sites and their proximity to known annual states of sagebrush ecological sites. We refer the reader to the report for Disturbance Response Group 21 for MLRA 28A and 28B.
Community Phase 4.1:
Cheatgrass, mustards and other non-native annual species dominate the site. Trace amounts of perennial bunchgrasses may be present. Sprouting shrubs may increase. Burned tree skeletons present.
Community 1.1
Reference State
The reference state is the interpretative state for this site. The representative plant community is dominated by singleleaf pinyon. Mountain big sagebrush and antelope bitterbrush are the principal understory shrubs. Utah serviceberry and curlleaf mountainmahogany are other important understory shrubs. Muttongrass, prairie junegrass, and western and Thurber's needlegrass are the most prevalent understory grasses. Tapertip hawksbeard, groundsel, phlox, and rockcress are common understory forbs. Overstory tree canopy composition is about 85 to 100 percent singleleaf pinyon with up to 15 percent curlleaf mountainmahogany or Utah juniper mixing in the overstory canopy. An overstory canopy cover of about 20 to 35 percent is assumed to be representative of tree dominance on this site in the pristine environment.
Forest overstory. MATURE FOREST: The visual aspect and vegetal structure are dominated by singleleaf pinyon that have reached or are near maximal heights for the site. Dominant trees average greater than five inches in diameter at one-foot stump. Upper crowns are typically either irregularly or smoothly flat-topped or rounded. Tree canopy cover averages about 25 percent. Understory vegetation is strongly influenced by tree competition, overstory shading, duff accumulation, etc. Infrequent, yet periodic, wildfire is presumed to be a natural factor influencing the understory of mature pinyon forests. This stage of community development is assumed to be representative of this forest site in the pristine environment.
Forest understory. Understory vegetative composition is about 55 percent grasses, 5 percent forbs and 40 percent shrubs and young trees when the average overstory canopy is medium (20 to 35 percent). Average understory production ranges from 250 to 450 pounds per acre with a medium canopy cover. Understory production includes the total annual production of all species within 4½ feet of the ground surface.