
Natural Resources
Conservation Service
Ecological site R023XY088NV
CHALKY KNOLL
Last updated: 4/10/2025
Accessed: 10/20/2025
General information
Provisional. A provisional ecological site description has undergone quality control and quality assurance review. It contains a working state and transition model and enough information to identify the ecological site.
Ecological site concept
Currently there is only a draft of the initial concept for this ecological site. The initial concept for this site places it within the Loamy Aridic Plateaus Low Production Wyoming and Lahontan Sagebrush sites w Sparse Juniper Ecological Site Group. To view the General STM and other information available for this ESG please go to https://edit.jornada.nmsu.edu/catalogs/esg/023X/R023XY910NV
This site is slightly less productive than the modal site with 200 lbs/ac in normal years. This site occurs on shoulders and backslopes of plateaus, rock pediments, and low hills on all aspects. The soils on this site are similar to the modal site with shallow depths and potential for moderate to severe sheet and rill erosion depending on the steepness of the slope. This grass community is dominated by Indian ricegrass and bottlebrush squirreltail, with basin wildrye and Thurber’s needlegrass subdominant. The shrub community is dominated by Wyoming big sagebrush. This model is similar to the group modal site with four stable states.
Associated sites
R023XY006NV |
LOAMY 8-10 P.Z. |
---|---|
R023XY021NV |
SCABLAND 10-14 P.Z. |
R023XY093NV |
GRAVELLY CLAY 10-12 P.Z. |
Similar sites
R023XY006NV |
LOAMY 8-10 P.Z. ACTH7-ACHY codominant; more productive site |
---|---|
R023XY030NV |
SOUTH SLOPE 8-12 P.Z. ACSP12-PSSPS codominant grasses; more productive site |
Table 1. Dominant plant species
Tree |
Not specified |
---|---|
Shrub |
(1) Artemisia tridentata var. wyomingensis |
Herbaceous |
(1) Achnatherum hymenoides |
Physiographic features
This site occurs on shoulders and backslopes of plateaus, ash flows and low hills on all aspects. Slopes range from 15 to over 75 percent, but slope gradients of 15 to 50 percent are typical. Elevations are 4500 to 6000 feet.
Table 2. Representative physiographic features
Landforms |
(1)
Plateau
(2) Ash flow (3) Hill |
---|---|
Elevation | 5,100 – 7,200 ft |
Slope | 15 – 75% |
Aspect | Aspect is not a significant factor |
Climatic features
The climate associated with this site is semiarid and characterized by cool, moist winters and warm, dry summers. Average annual precipitation is 8 to 10 inches. Mean annual air temperature is 45 to 50 degrees F. The average growing season is about 100 to 120 days.
Nevada’s climate is predominantly arid, with large daily ranges of temperature, infrequent severe storms, heavy snowfall in the higher mountains, and great location variations with elevation. Three basic geographical factors largely influence Nevada’s climate: continentality, latitude, and elevation. Continentality is the most important factor. The strong continental effect is expressed in the form of both dryness and large temperature variations. Nevada lies on the eastern, lee side of the Sierra Nevada Range, a massive mountain barrier that markedly influences the climate of the State. The prevailing winds are from the west, and as the warm moist air from the Pacific Ocean ascend the western slopes of the Sierra Range, the air cools, condensation occurs and most of the moisture falls as precipitation. As the air descends the eastern slope, it is warmed by compression, and very little precipitation occurs. The effects of this mountain barrier are felt not only in the West but throughout the state, with the result that the lowlands of Nevada are largely desert or steppes. The temperature regime is also affected by the blocking of the inland-moving maritime air. Nevada sheltered from maritime winds, has a continental climate with well-developed seasons and the terrain responds quickly to changes in solar heating.
Nevada lies within the mid-latitude belt of prevailing westerly winds which occur most of the year. These winds bring frequent changes in weather during the late fall, winter and spring months, when most of the precipitation occurs. To the south of the mid-latitude westerlies, lies a zone of high pressure in subtropical latitudes, with a center over the Pacific Ocean. In the summer, this high-pressure belt shifts northward over the latitudes of Nevada, blocking storms from the ocean. The resulting weather is mostly clear and dry during the summer and early fall, with scattered thundershowers. The eastern portion of the state receives significant summer thunderstorms generated from monsoonal moisture pushed up from the Gulf of California, known as the North American monsoon. The monsoon system peaks in August and by October the monsoon high over the Western U.S. begins to weaken and the precipitation retreats southward towards the tropics (NOAA 2004).
Average annual precipitation is 16 to over 20 inches. Mean annual air temperature is 41 to 44 degrees F. The average growing season is about 50 to 70 days.
Mean annual precipitaion at the Bear Creek, Nevada SNOTEL station (170501020301) is 37.69 inches.
monthly mean precipitation is:
January 3.84; February 3.75; March 4.38; April 4.9;
May 3.99; June 2.82; July .95; August 1.66;
September 1.22; October 2.12;
November 3.67; December 4.38.
Table 3. Representative climatic features
Frost-free period (average) | 110 days |
---|---|
Freeze-free period (average) | |
Precipitation total (average) | 9 in |
Figure 1. Monthly precipitation range
Figure 2. Monthly average minimum and maximum temperature
Figure 3. Annual precipitation pattern
Figure 4. Annual average temperature pattern
Influencing water features
There are no influencing water features associated with this site.
Soil features
The soils associated with this site have a very shallow (less than 10 inches) effective rooting depth to soft bedrock. These soils are formed in residuum derived from tuffaceous rocks. There are high amounts of vitric volcanic ash and glass throughout the soil profile which enhances the water holding capacity of these soils. Available water holding capacity is very low. Runoff is very high and potential for sheet and rill erosion is moderate to severe depending on steepness of slope. The soil series associated with this site include: Tuffo.
Table 4. Representative soil features
Surface texture |
(1) Very stony sandy loam (2) Very gravelly sandy loam |
---|---|
Family particle size |
(1) Loamy |
Drainage class | Somewhat excessively drained |
Permeability class | Moderate to moderately rapid |
Soil depth | 4 – 14 in |
Surface fragment cover <=3" | 10 – 49% |
Surface fragment cover >3" | Not specified |
Available water capacity (0-40in) |
0.8 – 1.2 in |
Calcium carbonate equivalent (0-40in) |
Not specified |
Electrical conductivity (0-40in) |
2 mmhos/cm |
Sodium adsorption ratio (0-40in) |
Not specified |
Soil reaction (1:1 water) (0-40in) |
6.6 – 7.8 |
Subsurface fragment volume <=3" (Depth not specified) |
14 – 49% |
Subsurface fragment volume >3" (Depth not specified) |
16% |
Ecological dynamics
As ecological condition declines, palatable perennial grass and forb species will decrease while shrub species increase. Following wildfire, rabbitbrush often becomes the dominant plant on this site.
Fire Ecology:
The fire return interval for Wyoming big sagebrush communities ranges from 10 to 70 years. Fire is the principal means of renewal for decadent stands of Wyoming big sagebrush. Wyoming big sagebrush is killed by fire and establishes after fire from a seedbank; from seed produced by remnant plants that escaped fire; and from plants adjacent to the burn that seed in. Spiny hopsage is considered to be somewhat fire tolerant and often survives fires that kill sagebrush. Mature spiny hopsage generally sprout after being burned. Spiny hopsage is reported to be least susceptible to fire during summer dormancy. Winterfat is either killed or top-killed by fire, depending on fire severity. Severe fire can kill the perennating buds located several inches above the ground surface and thus kills the plant. In addition, severe fire usually destroys seed on the plant. Low-severity fire scorches or only partially consumes the aboveground portions of winterfat and thus does not cause high mortality. Antelope bitterbrush is considered a weak sprouter and is often killed by summer or fall fire. Antelope bitterbrush in some areas may sprout after light-severity spring fire. High fuel consumptions increase antelope bitterbrush mortality and therefore favors seedling establishment. Indian ricegrass can be killed by fire, depending on severity and season of burn. Indian ricegrass reestablishes on burned sites through seed dispersed from adjacent unburned areas. Bottlebrush squirreltail's small size, coarse stems, and sparse leafy material aid in its tolerance of fire. Postfire regeneration occurs from surviving root crowns and from on- and off-site seed sources. Frequency of disturbance greatly influences postfire response of bottlebrush squirreltail. Undisturbed plants within a 6 to 9 year age class generally contain large amounts of dead material, increasing bottlebrush squirreltail's susceptibility to fire. Basin wildrye is top-killed by fire. Older basin wildrye plants with large proportions of dead material within the perennial crown can be expected to show higher mortality due to fire than younger plants having little debris. Basin wildrye is generally tolerant of fire but may be damaged by early season fire combined with dry soil conditions.
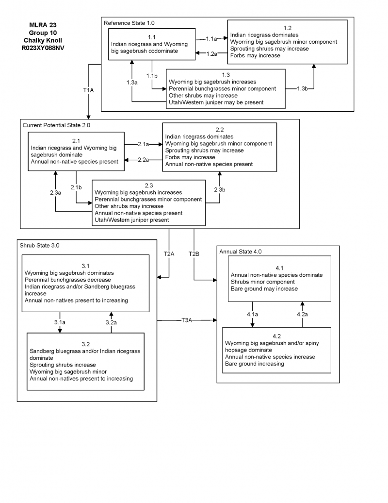
State and transition model
More interactive model formats are also available.
View Interactive Models
Click on state and transition labels to scroll to the respective text
Ecosystem states
State 1 submodel, plant communities
State 1
Reference Plant Community
Community 1.1
Reference Plant Community
The reference plant community is dominated by Wyoming big sagebrush and Indian ricegrass. Shrubs dominate the visual aspect of this site. Antelope bitterbrush, spiny hopsage, purple sage, and bottlebrush squirreltail are other important species associated with this site. Potential vegetative composition is about 30% grasses, 5% forbs and 65% shrubs. Approximate ground cover (basal and crown) is about 5 to 15 percent.
Figure 5. Annual production by plant type (representative values) or group (midpoint values)
Table 5. Annual production by plant type
Plant type | Low (lb/acre) |
Representative value (lb/acre) |
High (lb/acre) |
---|---|---|---|
Shrub/Vine | 65 | 130 | 228 |
Grass/Grasslike | 30 | 60 | 105 |
Forb | 5 | 10 | 17 |
Total | 100 | 200 | 350 |
Additional community tables
Table 6. Community 1.1 plant community composition
Group | Common name | Symbol | Scientific name | Annual production (lb/acre) | Foliar cover (%) | |
---|---|---|---|---|---|---|
Grass/Grasslike
|
||||||
1 | Primary Perennial Grasses | 44–96 | ||||
Indian ricegrass | ACHY | Achnatherum hymenoides | 30–60 | – | ||
squirreltail | ELEL5 | Elymus elymoides | 10–20 | – | ||
basin wildrye | LECI4 | Leymus cinereus | 4–16 | – | ||
2 | Secondary Perennial Grasses | 10–30 | ||||
Thurber's needlegrass | ACTH7 | Achnatherum thurberianum | 1–6 | – | ||
Webber needlegrass | ACWE3 | Achnatherum webberi | 1–6 | – | ||
needle and thread | HECO26 | Hesperostipa comata | 1–6 | – | ||
Sandberg bluegrass | POSE | Poa secunda | 1–6 | – | ||
Forb
|
||||||
3 | Perennial | 10–20 | ||||
buckwheat | ERIOG | Eriogonum | 1–6 | – | ||
phlox | PHLOX | Phlox | 1–6 | – | ||
goldenweed | PYRRO | Pyrrocoma | 1–6 | – | ||
princesplume | STANL | Stanleya | 1–6 | – | ||
Shrub/Vine
|
||||||
4 | Primary Shrubs | 66–140 | ||||
Wyoming big sagebrush | ARTRW8 | Artemisia tridentata ssp. wyomingensis | 60–80 | – | ||
spiny hopsage | GRSP | Grayia spinosa | 4–20 | – | ||
winterfat | KRLA2 | Krascheninnikovia lanata | 1–20 | – | ||
antelope bitterbrush | PUTR2 | Purshia tridentata | 1–20 | – | ||
5 | Secondary Shrubs | 10–30 | ||||
little sagebrush | ARAR8 | Artemisia arbuscula | 2–6 | – | ||
little sagebrush | ARARL3 | Artemisia arbuscula ssp. longicaulis | 2–6 | – | ||
black sagebrush | ARNO4 | Artemisia nova | 2–6 | – | ||
shadscale saltbush | ATCO | Atriplex confertifolia | 2–6 | – | ||
yellow rabbitbrush | CHVI8 | Chrysothamnus viscidiflorus | 2–6 | – | ||
purple sage | SADOI | Salvia dorrii ssp. dorrii var. incana | 2–6 | – | ||
littleleaf horsebrush | TEGL | Tetradymia glabrata | 2–6 | – |
Interpretations
Animal community
Livestock Interpretations:
This site is suitable for livestock grazing. Grazing management should be keyed to perennial grass production. Indian ricegrass is highly palatable to all classes of livestock in both green and cured condition. It supplies a source of green feed before most other native grasses have produced much new growth. Bottlebrush squirreltail is very palatable winter forage for domestic sheep of Intermountain ranges. Domestic sheep relish the green foliage. Overall, bottlebrush squirreltail is considered moderately palatable to livestock. The early growth and abundant production of basin wildrye make it a valuable source of forage for livestock. It is important forage for cattle and is readily grazed by cattle and horses in early spring and fall. Though coarse-textured during the winter, basin wildrye may be utilized more frequently by livestock and wildlife when snow has covered low shrubs and other grasses. Livestock browse Wyoming big sagebrush, but may use it only lightly when palatable herbaceous species are available. Spiny hopsage provides a palatable and nutritious food source for livestock, particularly during late winter through spring. Domestic sheep browse the succulent new growth of spiny hopsage in late winter and early spring. Winterfat is an important forage plant for livestock, especially during winter when forage is scarce. Abusive grazing practices have reduced or eliminated winterfat on some areas even though it is fairly resistant to browsing. Effects depend on severity and season of grazing. Antelope bitterbrush is important browse for livestock. Domestic livestock and mule deer may compete for antelope bitterbrush in late summer, fall, and/or winter. Cattle prefer antelope bitterbrush from mid-May through June and again in September and October.
Stocking rates vary over time depending upon season of use, climate variations, site, and previous and current management goals. A safe starting stocking rate is an estimated stocking rate that is fine tuned by the client by adaptive management through the year and from year to year.
Wildlife Interpretations:
Wyoming big sagebrush is preferred browse for wild ungulates. Pronghorn usually browse Wyoming big sagebrush heavily. Sagebrush-grassland communities provide critical sage-grouse breeding and nesting habitats. Meadows surrounded by sagebrush may be used as feeding and strutting grounds. Sagebrush is a crucial component of their diet year-round, and sage-grouse select sagebrush almost exclusively for cover. Sage-grouse prefer mountain big sagebrush and Wyoming big sagebrush communities to basin big sagebrush communities. Spiny hopsage provides a palatable and nutritious food source for big game animals. Spiny hopsage is used as forage to at least some extent by domestic goats, deer, pronghorn, and rabbits. Winterfat is an important forage plant for wildlife, especially during winter when forage is scarce. Winterfat seeds are eaten by rodents and are a staple food for black-tailed jackrabbits. Mule deer and pronghorn antelope browse winterfat. Winterfat is used for cover by rodents. It is potential nesting cover for upland game birds, especially when grasses grow up through its crown. Pronghorn antelope, mule deer, elk, and bighorn sheep utilize antelope bitterbrush extensively. Mule deer use of antelope bitterbrush peaks in September, when antelope bitterbrush may compose 91 percent of the diet. Winter use is greatest during periods of deep snow. Antelope bitterbrush seed is a large part of the diets of rodents, especially deer mice and kangaroo rats. Indian ricegrass is eaten by pronghorn in moderate amounts whenever available. A number of heteromyid rodents inhabiting desert rangelands show preference for seed of Indian ricegrass. Indian ricegrass is an important component of jackrabbit diets in spring and summer. Indian ricegrass seed provides food for many species of birds. Doves, for example, eat large amounts of shattered Indian ricegrass seed lying on the ground. Bottlebrush squirreltail is a dietary component of several wildlife species. Basin wildrye provides winter forage for mule deer, though use is often low compared to other native grasses. Basin wildrye provides summer forage for black-tailed jackrabbits. Because basin wildrye remains green throughout early summer, it remains available for small mammal forage for longer time than other grasses.
Hydrological functions
Runoff is very high. Permeability is moderate to moderately rapid. Hydrologic soil group is D.
Recreational uses
Aesthetic value is derived from the diverse floral and faunal composition and the colorful flowering of wild flowers and shrubs during the spring and early summer. This site offers rewarding opportunities to photographers and for nature study. This site is used for camping and hiking and has potential for upland and big game hunting.
Other products
Native Americans made tea from big sagebrush leaves. They used the tea as a tonic, an antiseptic, for treating colds, diarrhea, and sore eyes and as a rinse to ward off ticks. Big sagebrush seeds were eaten raw or made into meal. Some Native American peoples traditionally ground parched seeds of spiny hopsage to make pinole flour. Indian ricegrass was traditionally eaten by some Native Americans. The Paiutes used the seed as a reserve food source. Basin wildrye was used as bedding for various Native American ceremonies, providing a cool place for dancers to stand.
Other information
Wyoming big sagebrush is used for stabilizing slopes and gullies and for restoring degraded wildlife habitat, rangelands, mine spoils and other disturbed sites. It is particularly recommended on dry upland sites where other shrubs are difficult to establish. Spiny hopsage has moderate potential for erosion control and low to high potential for long-term revegetation projects. It can improve forage, control wind erosion, and increase soil stability on gentle to moderate slopes. Spiny hopsage is suitable for highway plantings on dry sites in Nevada. Winterfat adapts well to most site conditions, and its extensive root system stabilizes soil. However, winterfat is intolerant of flooding, excess water, and acidic soils. Antelope bitterbrush has been used extensively in land reclamation. Antelope bitterbrush enhances succession by retaining soil and depositing organic material and in some habitats and with some ecotypes, by fixing nitrogen. Bottlebrush squirreltail is tolerant of disturbance and is a suitable species for revegetation. Basin wildrye is useful in mine reclamation, fire rehabilitation and stabilizing disturbed areas. Its usefulness in range seeding, however, may be limited by initially weak stand establishment.
Supporting information
Type locality
Location 1: Washoe County, NV | |
---|---|
Township/Range/Section | T41N R22E S3 |
UTM zone | N |
UTM northing | 292216 |
UTM easting | 4596742 |
Latitude | 41° 29′ 43″ |
Longitude | 119° 29′ 21″ |
General legal description | E 1/2 NE 1/4, Approximately 1 mile northeast of Stevens Camp, on west-facing sideslopes along east side of road, Washoe County, Nevada. This site also occurs in Humboldt County, Nevada. |
Other references
Fire Effects Information System (Online; http://www.fs.fed.us/database/feis/plants/).
USDA-NRCS Plants Database (Online; http://www.plants.usda.gov).
Contributors
GKB
Approval
Kendra Moseley, 4/10/2025
Rangeland health reference sheet
Interpreting Indicators of Rangeland Health is a qualitative assessment protocol used to determine ecosystem condition based on benchmark characteristics described in the Reference Sheet. A suite of 17 (or more) indicators are typically considered in an assessment. The ecological site(s) representative of an assessment location must be known prior to applying the protocol and must be verified based on soils and climate. Current plant community cannot be used to identify the ecological site.
Author(s)/participant(s) | PATTI NOVAK-ECHENIQUE |
---|---|
Contact for lead author | State Rangeland Management Specialist |
Date | 04/07/2014 |
Approved by | Kendra Moseley |
Approval date | |
Composition (Indicators 10 and 12) based on | Annual Production |
Indicators
-
Number and extent of rills:
Rills are none to rare. A few rills can be expected on steeper slopes in areas subjected to summer convection storms or rapid spring snowmelt. -
Presence of water flow patterns:
Water flow patterns are none to rare, but can be expected in areas subjected to summer convection storms or rapid snowmelt. Patterns are short (<1 m) and stable. -
Number and height of erosional pedestals or terracettes:
Pedestals are rare. Occurrence is limited to water flow patterns. -
Bare ground from Ecological Site Description or other studies (rock, litter, lichen, moss, plant canopy are not bare ground):
Bare ground is ± 40-50% depending on amount of surface rock fragments. -
Number of gullies and erosion associated with gullies:
None -
Extent of wind scoured, blowouts and/or depositional areas:
None -
Amount of litter movement (describe size and distance expected to travel):
Fine litter (foliage from grasses and annual & perennial forbs) expected to move distance of slope length during intense summer convection storms or rapid snowmelt events. Persistent litter (large woody material) will remain in place except during large rainfall events. -
Soil surface (top few mm) resistance to erosion (stability values are averages - most sites will show a range of values):
Soil stability values should be 3 to 6 on most soil textures found on this site. -
Soil surface structure and SOM content (include type of structure and A-horizon color and thickness):
Surface structure is moderate medium thick and platy. Soil surface colors are browns and soils are typified by an ochric epipedon. Organic matter of the surface 2 to 3 inches is typically 1 to 1.5 percent dropping off quickly below. Organic matter content can be more or less depending on micro-topography. -
Effect of community phase composition (relative proportion of different functional groups) and spatial distribution on infiltration and runoff:
Surface structure is moderate medium and thick platy. Soil surface colors are browns and soils are typified by an ochric epipedon. Organic matter of the surface 2 to 3 inches is typically 1 to 1.5 percent dropping off quickly below. Organic matter content can be more or less depending on micro-topography. -
Presence and thickness of compaction layer (usually none; describe soil profile features which may be mistaken for compaction on this site):
Compacted layers are none. Subangular blocky or massive sub-surface horizons are not to be interpreted as compacted layers. -
Functional/Structural Groups (list in order of descending dominance by above-ground annual-production or live foliar cover using symbols: >>, >, = to indicate much greater than, greater than, and equal to):
Dominant:
Tall shrubs (Wyoming big sagebrush) = deep-rooted, cool season, perennial bunchgrasses (Indian ricegrass)Sub-dominant:
associated shrubs = shallow-rooted, cool season, perennial bunchgrasses > deep-rooted, cool season, perennial forbs = fibrous, shallow-rooted, cool season, perennial and annual forbs.Other:
Additional:
-
Amount of plant mortality and decadence (include which functional groups are expected to show mortality or decadence):
Dead branches within individual shrubs common and standing dead shrub canopy material may be as much as 25% of total woody canopy; some of the mature bunchgrasses (<20%) have dead centers. -
Average percent litter cover (%) and depth ( in):
Within plant interspaces (± 10-20%) and depth of litter is < ¼ inch. -
Expected annual annual-production (this is TOTAL above-ground annual-production, not just forage annual-production):
For normal or average growing season (thru June) ± 200 lbs/ac; Favorable years: +350 lbs/ac; Unfavorable years: +100 lbs/ac -
Potential invasive (including noxious) species (native and non-native). List species which BOTH characterize degraded states and have the potential to become a dominant or co-dominant species on the ecological site if their future establishment and growth is not actively controlled by management interventions. Species that become dominant for only one to several years (e.g., short-term response to drought or wildfire) are not invasive plants. Note that unlike other indicators, we are describing what is NOT expected in the reference state for the ecological site:
Potential invaders include halogeton, Russian thistle, annual mustards, bur buttercup, and cheatgrass. -
Perennial plant reproductive capability:
All functional groups should reproduce in average (or normal) and above average growing season years. Reduced growth and reproduction occur during drought years.
Print Options
Sections
Font
Other
The Ecosystem Dynamics Interpretive Tool is an information system framework developed by the USDA-ARS Jornada Experimental Range, USDA Natural Resources Conservation Service, and New Mexico State University.
Click on box and path labels to scroll to the respective text.