
Natural Resources
Conservation Service
Ecological site R023XY026NV
MAHOGANY SAVANNA
Last updated: 4/10/2025
Accessed: 10/21/2025
General information
Provisional. A provisional ecological site description has undergone quality control and quality assurance review. It contains a working state and transition model and enough information to identify the ecological site.
Ecological site concept
Currently there is only a draft of the initial concept for this ecological site. The initial concept for this site places it within the Mountain Slope 16-20 PZ Mahogany Site Group. To view the General STM and other information available for this ESG please go to https://edit.jornada.nmsu.edu/catalogs/esg/023X/R023XY917NV
The Mahogany Savanna (023XY026NV) ecological site is the modal site for this group. This site occurs on mountain and higher elevation plateau side slopes and summits. Slopes range from 4 to 75 percent, but slope gradients of 8 to 30 percent are typical. Elevations are 7500 to 9400 feet. Average annual precipitation is 16 to 20 inches. The soils in this site are moderately deep to deep and well drained. These soils typically have high volumes of rock fragments throughout the soil profile. Available water capacity is moderate. Runoff is medium to rapid and the potential for sheet and rill erosion is moderate to severe depending on slope. The plant community is dominated by curl-leaf mountain mahogany, mountain big sagebrush, Idaho fescue, bluebunch wheatgrass, and perennial forbs. Curl-leaf mountain mahogany canopy cover is less than 45% in this ecological site. Production ranges from 1200 to 2600 lb/acre on this site including the mahogany overstory. Understory (<4 ft in height) ranges from 600 to 1400 lb/ac.
Similar sites
R023XY069NV |
GRANITIC MAHOGANY SAVANNA granitic parent material |
---|---|
R023XY073NV |
GRANITIC MAHOGANY THICKET granitic parent material; CELE3 canopy >55% |
Table 1. Dominant plant species
Tree |
Not specified |
---|---|
Shrub |
(1) Cercocarpus ledifolius |
Herbaceous |
(1) Festuca idahoensis |
Physiographic features
This site occurs on mountain and higher elevation plateau sideslopes and summits. Slopes range from 2 to 70 percent, but slope gradients of 8 to 30 percent are typical. Elevations are 5800 to 8000 feet.
Table 2. Representative physiographic features
Landforms |
(1)
Mountain slope
(2) Plateau |
---|---|
Elevation | 5,800 – 8,000 ft |
Slope | 2 – 70% |
Aspect | Aspect is not a significant factor |
Climatic features
The climate associated with this site is semiarid and characterized by cool, moist winters and warm, dry summers. Average annual precipitation is 16 to over 20 inches. Mean annual air temperature is 39 to 45 degrees F. The average growing season is about 40 to 80 days.
Nevada’s climate is predominantly arid, with large daily ranges of temperature, infrequent severe storms, heavy snowfall in the higher mountains, and great location variations with elevation. Three basic geographical factors largely influence Nevada’s climate: continentality, latitude, and elevation. Continentality is the most important factor. The strong continental effect is expressed in the form of both dryness and large temperature variations. Nevada lies on the eastern, lee side of the Sierra Nevada Range, a massive mountain barrier that markedly influences the climate of the State. The prevailing winds are from the west, and as the warm moist air from the Pacific Ocean ascend the western slopes of the Sierra Range, the air cools, condensation occurs and most of the moisture falls as precipitation. As the air descends the eastern slope, it is warmed by compression, and very little precipitation occurs. The effects of this mountain barrier are felt not only in the West but throughout the state, with the result that the lowlands of Nevada are largely desert or steppes. The temperature regime is also affected by the blocking of the inland-moving maritime air. Nevada sheltered from maritime winds, has a continental climate with well-developed seasons and the terrain responds quickly to changes in solar heating.
Nevada lies within the mid-latitude belt of prevailing westerly winds which occur most of the year. These winds bring frequent changes in weather during the late fall, winter and spring months, when most of the precipitation occurs. To the south of the mid-latitude westerlies, lies a zone of high pressure in subtropical latitudes, with a center over the Pacific Ocean. In the summer, this high-pressure belt shifts northward over the latitudes of Nevada, blocking storms from the ocean. The resulting weather is mostly clear and dry during the summer and early fall, with scattered thundershowers. The eastern portion of the state receives significant summer thunderstorms generated from monsoonal moisture pushed up from the Gulf of California, known as the North American monsoon. The monsoon system peaks in August and by October the monsoon high over the Western U.S. begins to weaken and the precipitation retreats southward towards the tropics (NOAA 2004).
Average annual precipitation is 16 to over 20 inches. Mean annual air temperature is 41 to 44 degrees F. The average growing season is about 50 to 70 days.
Mean annual precipitaion at the Bear Creek, Nevada SNOTEL station (170501020301) is 37.69 inches.
monthly mean precipitation is:
January 3.84; February 3.75; March 4.38; April 4.9;
May 3.99; June 2.82; July .95; August 1.66;
September 1.22; October 2.12;
November 3.67; December 4.38.
Table 3. Representative climatic features
Frost-free period (average) | 60 days |
---|---|
Freeze-free period (average) | |
Precipitation total (average) | 18 in |
Figure 1. Monthly average minimum and maximum temperature
Figure 2. Annual precipitation pattern
Figure 3. Annual average temperature pattern
Influencing water features
There are no influencing water features associated witht this site.
Soil features
The soils associated with this site are very shallow to very deep and well drained. These soils typically have high volumes of rock fragments throughout the soil profile. Available water capacity is very low. Runoff is low to very high and the potential for sheet and rill erosion is moderate to severe depending on slope. The soil series associated with this site include: Badgercamp and Zorromount.
Table 4. Representative soil features
Surface texture |
(1) Bouldery loam (2) Loam (3) Very cobbly loam |
---|---|
Family particle size |
(1) Loamy |
Drainage class | Well drained |
Permeability class | Moderate to moderately rapid |
Soil depth | 6 – 84 in |
Surface fragment cover <=3" | 4 – 15% |
Surface fragment cover >3" | 4 – 8% |
Available water capacity (0-40in) |
1.1 – 2.3 in |
Calcium carbonate equivalent (0-40in) |
Not specified |
Electrical conductivity (0-40in) |
Not specified |
Sodium adsorption ratio (0-40in) |
Not specified |
Soil reaction (1:1 water) (0-40in) |
5.6 – 7.3 |
Subsurface fragment volume <=3" (Depth not specified) |
9 – 58% |
Subsurface fragment volume >3" (Depth not specified) |
4 – 30% |
Ecological dynamics
Where management results in abusive grazing use by livestock and/or feral horses, understory grasses and forbs are reduced as big sagebrush, Sandberg bluegrass, and squirreltail increase. Heavy utilization will result in a "highline" appearance of the mountainmahogany, limiting overstory production and reproduction.
Fire Ecology:
The historic fire regime of curlleaf mountainmahogany communities probably varied with community type and structure. The fire return interval is highly variable, ranging from 13 to over 100 years. Curlleaf mountain mahogany may depend on fire to reduce conifer competition and produce favorable soil conditions for seedling establishment. Some curlleaf mountainmahogany stands occupy sites with very low fuel levels that rarely burn. Individual curlleaf mountainmahogany are severely damaged by fire. Because many dead branches persist in the crown and leaves are slightly resinous, curlleaf mountainmahogany is probably very flammable. Curlleaf mountainmahogany is a weak sprouter after a fire. Mountain big sagebrush is highly susceptible to injury from fire. It is often top-killed by fire and will not resprout. Common snowberry is classified as a sprouter and has high resistance to fire. It is a rhizomatous species with rhizomes buried 2 to 5 inches (5-12.5 cm) deep in mineral soil. After fire has killed the top of the plant, new growth sprouts from these rhizomes. This rhizomatous growth response is highly variable and depends on conditions at specific sites. Regeneration from buried seed is favored by fires of low severity and short duration that remove little of the soil organic level.
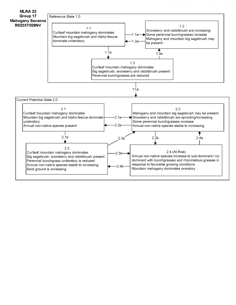
State and transition model
More interactive model formats are also available.
View Interactive Models
Click on state and transition labels to scroll to the respective text
Ecosystem states
State 1 submodel, plant communities
State 1
Reference Plant Community
Community 1.1
Reference Plant Community
The reference plant community is dominated by an open stand of curlleaf mountain-mahogany with an understory of mountain big sagebrush, bluebunch wheatgrass, Idaho fescue and needlegrasses. Overstory canopy cover of mountainmahogany is less than 45 (˜<35) percent. Potential vegetative composition is about 40% grasses, 10% forbs and 50% shrubs. Approximate ground cover (basal and crown) is about 40 to 55 percent.
Figure 4. Annual production by plant type (representative values) or group (midpoint values)
Table 5. Annual production by plant type
Plant type | Low (lb/acre) |
Representative value (lb/acre) |
High (lb/acre) |
---|---|---|---|
Shrub/Vine | 600 | 1000 | 1300 |
Grass/Grasslike | 480 | 800 | 1040 |
Forb | 120 | 200 | 260 |
Total | 1200 | 2000 | 2600 |
Additional community tables
Table 6. Community 1.1 plant community composition
Group | Common name | Symbol | Scientific name | Annual production (lb/acre) | Foliar cover (%) | |
---|---|---|---|---|---|---|
Grass/Grasslike
|
||||||
1 | Primary Perennial Grasses | 429–1078 | ||||
Idaho fescue | FEID | Festuca idahoensis | 220–440 | – | ||
Cusick's bluegrass | POCUE2 | Poa cusickii ssp. epilis | 55–165 | – | ||
bluebunch wheatgrass | PSSPS | Pseudoroegneria spicata ssp. spicata | 55–165 | – | ||
mountain brome | BRMA4 | Bromus marginatus | 22–88 | – | ||
bluegrass | POA | Poa | 22–55 | – | ||
Letterman's needlegrass | ACLE9 | Achnatherum lettermanii | 19–55 | – | ||
Columbia needlegrass | ACNEN2 | Achnatherum nelsonii ssp. nelsonii | 18–55 | – | ||
western needlegrass | ACOCO | Achnatherum occidentale ssp. occidentale | 18–55 | – | ||
2 | Secondary Perennial Grasses/Grasslikes | 55–110 | ||||
sedge | CAREX | Carex | 10–60 | – | ||
basin wildrye | LECI4 | Leymus cinereus | 10–60 | – | ||
purple oniongrass | MESP | Melica spectabilis | 10–60 | – | ||
big squirreltail | ELMU3 | Elymus multisetus | 10–60 | – | ||
slender wheatgrass | ELTRT | Elymus trachycaulus ssp. trachycaulus | 10–60 | – | ||
needle and thread | HECO26 | Hesperostipa comata | 10–60 | – | ||
prairie Junegrass | KOMA | Koeleria macrantha | 10–60 | – | ||
Forb
|
||||||
3 | Perennial | 55–165 | ||||
arrowleaf balsamroot | BASA3 | Balsamorhiza sagittata | 10–60 | – | ||
tapertip hawksbeard | CRAC2 | Crepis acuminata | 10–60 | – | ||
larkspur | DELPH | Delphinium | 10–60 | – | ||
buckwheat | ERIOG | Eriogonum | 10–60 | – | ||
lupine | LUPIN | Lupinus | 10–60 | – | ||
ragwort | SENEC | Senecio | 10–60 | – | ||
Shrub/Vine
|
||||||
4 | Primary Shrubs | 517–825 | ||||
curl-leaf mountain mahogany | CELE3 | Cercocarpus ledifolius | 440–660 | – | ||
mountain big sagebrush | ARTRV | Artemisia tridentata ssp. vaseyana | 55–110 | – | ||
snowberry | SYMPH | Symphoricarpos | 22–55 | – | ||
5 | Secondary Shrubs | 22–55 | ||||
yellow rabbitbrush | CHVI8 | Chrysothamnus viscidiflorus | 20–40 | – | ||
antelope bitterbrush | PUTR2 | Purshia tridentata | 20–40 | – |
Interpretations
Animal community
Livestock Interpretations:
Depending on slope, this site is suitable for livestock grazing. Grazing management should be keyed to perennial grass production. Idaho fescue provides important forage for many types of domestic livestock. The foliage cures well and is preferred by livestock in late fall and winter. Bluebunch wheatgrass is considered one of the most important forage grass species on western rangelands for livestock. Although bluebunch wheatgrass can be a crucial source of forage, it is not necessarily the most highly preferred species. Letterman’s needlegrass begins growth early in the year and remains green throughout the relatively long growing season, thus, making it valuable forage for livestock. Columbia needlegrass provides valuable forage for all classes of livestock. Overall production is generally low in the upper sagebrush and mountain brush zones and at the limits of its range where Columbia needlegrass grows only in scattered patches. It is especially valuable to cattle and horses on summer ranges and to domestic sheep on lambing grounds. It is more often cropped closely by cattle and horses than by sheep. Columbia needlegrass is palatable to livestock throughout its range. As with most needlegrasses, it is most palatable early in the season before the foliage becomes coarse and wiry. Palatability to cows and horses is increased because large amounts of fine leafage remain green throughout the growing season. Palatability of Columbia needlegrass is described as fair to good for cattle and horses, becoming nearly unpalatable at maturity. Western needlegrass has a spreading and deeply penetrating root system, which makes it resistant to trampling. Cusick's bluegrass makes up only a small proportion of the biomass of the sagebrush communities in which it lives, but it is often taken preferentially by cattle, especially early in the season. Mountain brome is one of the most important forage grasses in the quaking aspen zone. Mountain brome is ranked as excellent forage for both cattle and horses and good for domestic sheep. Domestic sheep will graze mountain brome only when it is fairly succulent. Bluegrass is a widespread forage grass. It is one of the earliest grasses in the spring and is sought by domestic livestock and several wildlife species. Bluegrass is a palatable species, but its production is closely tied to weather conditions. It produces little forage in drought years, making it a less dependable food source than other perennial bunchgrasses. Some livestock (domestic goats, sheep, and cattle) use it in spring, fall, and/or winter but rarely in the summer. Mountain big sagebrush is eaten by domestic livestock but has long been considered to be of low palatability, and a competitor to more desirable species. Common snowberry is considered important browse for many types of livestock. It is especially important to domestic sheep and cattle. Common snowberry was found to be highly palatable to cattle. It plays a critical role in permitting cattle to meet their protein requirements during the latter half of the growing season. Domestic sheep also utilize common snowberry for browse and it is considered fair to good forage. It is has no forage value for horses.
Stocking rates vary over time depending upon season of use, climate variations, site, and previous and current management goals. A safe starting stocking rate is an estimated stocking rate that is fine tuned by the client by adaptive management through the year and from year to year.
Wildlife Interpretations:
Curlleaf mountainmahogany provides food and cover for a variety of wildlife species. Curlleaf mountainmahogany is highly palatable to deer. A variety of small mammals consume curlleaf mountainmahogany seeds. Mountain big sagebrush is highly preferred and nutritious winter forage for mule deer and elk. Common snowberry is considered important browse for many types of wildlife. Forage value to elk is fair. Common snowberry is important as both cover and food for bird and small mammal populations. These include sharp-tailed, ruffed, and blue grouse, wild turkey and, several non-game species of bird including the kingbird, western flycatcher, and western bluebird. Among small mammals that rely on common snowberry are fox squirrels, desert cottontails, and pocket gopher. Idaho fescue provides important forge for several wildlife species. It is reported to be good forage for pronghorn, and deer in ranges of northern Nevada. Bluebunch wheatgrass is considered one of the most important forage grass species on western rangelands for wildlife. Bluebunch wheatgrass does not generally provide sufficient cover for ungulates, however, mule deer are frequently found in bluebunch-dominated grasslands. Letterman's needlegrass provides valuable forage for many species of wildlife. It is consumed by mule deer and is most palatable early in the season before the foliage becomes coarse and wiry. Columbia needlegrass provides valuable forage for many species of wildlife. It is also consumed by mule deer and other wildlife species throughout the growing season. Needlegrasses are a significant component in the diet of pocket gophers. Columbia needlegrass is palatable to many species of wildlife throughout its range. As with most needlegrasses, it is most palatable early in the season before the foliage becomes coarse and wiry. Palatability of Columbia needlegrass is described as fair for wildlife overall, becoming nearly unpalatable at maturity. Western needlegrass provides valuable forage for many species of wildlife. Deer, elk, and mountain goat also use Cusick's bluegrass early in the season. The value of Cusick's bluegrass as cover for small animals has been rated as poor to fair. Mountain brome seedheads and seeds provide food for many birds and small mammals. Pronghorn antelope will consume mountain brome primarily in the spring. The palatability of mountain brome is excellent for deer, particularly during the late spring and early summer. Bluegrass is desirable for pronghorn antelope and mule deer in the spring and preferable in the spring, summer, and fall for elk and desirable as part of their winter range.
Hydrological functions
Runoff is low to very high. Permeability is moderate to moderately rapid.
Recreational uses
Aesthetic value is derived from the diverse floral and faunal composition and the colorful flowering of wild flowers and shrubs during the spring and early summer. This site offers rewarding opportunities to photographers and for nature study. This site is used for camping and hiking and has potential for upland and big game hunting.
Other products
Native Americans used big sagebrush leaves and branches for medicinal teas, and the leaves as a fumigant. Bark was woven into mats, bags and clothing. Common snowberry fruit was eaten fresh but was not favored by Native Americans in Washington and Oregon. The fruits were eaten fresh and also dried for winter use. Common snowberry was used on hair as soap, and the fruits and leaves mashed and applied to cuts or skin sores as a poultice and to soothe sore, runny eyes. Tea from the bark was used as a remedy for tuberculosis and sexually transmitted diseases. A brew made from the entire plant was used as a physic tonic. Arrowshafts and pipestems were made from the stems.
Other information
Curlleaf mountainmahogany may be planted to help stabilize soil in disturbed areas such as roadcuts and mine spoils. Letterman’s needlegrass has been used successfully in revegetating mine spoils. This species also has good potential for erosion control. Mountain brome is an excellent native bunchgrass for seeding alone or in mixtures in disturbed areas, including depleted rangelands, burned areas, roadways, mined lands, and degraded riparian zones.
Supporting information
Type locality
Location 1: Washoe County, NV | |
---|---|
Township/Range/Section | T37N R22E S32 |
UTM zone | N |
UTM northing | 287277 |
UTM easting | 4546759 |
Latitude | 41° 2′ 39″ |
Longitude | 119° 31′ 51″ |
General legal description | SE 1/4 NE 1/4, Exclosure, 1/2 mile north of Dollar Spring, Fox Mountain, Washoe County, Nevada. This site also occurs in Humboldt County, Nevada. |
Other references
Fire Effects Information System (Online; http://www.fs.fed.us/database/feis/plants/).
USDA-NRCS Plants Database (Online; http://www.plants.usda.gov).
Contributors
BH/SW
Approval
Kendra Moseley, 4/10/2025
Rangeland health reference sheet
Interpreting Indicators of Rangeland Health is a qualitative assessment protocol used to determine ecosystem condition based on benchmark characteristics described in the Reference Sheet. A suite of 17 (or more) indicators are typically considered in an assessment. The ecological site(s) representative of an assessment location must be known prior to applying the protocol and must be verified based on soils and climate. Current plant community cannot be used to identify the ecological site.
Author(s)/participant(s) | P NOVAK-ECHENIQUE |
---|---|
Contact for lead author | State Rangeland Management Specialist |
Date | 04/07/2014 |
Approved by | Kendra Moseley |
Approval date | |
Composition (Indicators 10 and 12) based on | Annual Production |
Indicators
-
Number and extent of rills:
Rills are rare to few. Rill development may increase due to runoff from adjacent rock outcrops. -
Presence of water flow patterns:
Water flow patterns are rare to few with occurrence increasing as canopy cover increases. Patterns are short (<1 m) and stable. -
Number and height of erosional pedestals or terracettes:
Pedestals are rare to few. Occurrence is usually limited to areas of water flow patterns. -
Bare ground from Ecological Site Description or other studies (rock, litter, lichen, moss, plant canopy are not bare ground):
Bare Ground ± 20%; surface rock fragments ±15% -
Number of gullies and erosion associated with gullies:
None. -
Extent of wind scoured, blowouts and/or depositional areas:
None. -
Amount of litter movement (describe size and distance expected to travel):
Fine litter (foliage from grasses and annual & perennial forbs) expected to move distance of slope length during intense summer convection storms or rapid snowmelt events. Persistent litter (large woody material) will remain in place except during large rainfall events. Mat of accumulating litter under mountain mahogany is very stable and shows no obvious movement. -
Soil surface (top few mm) resistance to erosion (stability values are averages - most sites will show a range of values):
Soil stability values should be 5 to 6 on most soil textures found on this site. -
Soil surface structure and SOM content (include type of structure and A-horizon color and thickness):
Surface structure is typically moderate thin platy. Soil surface colors are dark grayish browns and soils are typified by a thick mollic epipedon. Organic matter of the surface 2 to 4 inches is typically 2 to 4 percent, dropping off quickly below. Organic matter content can be more or less depending on micro-topography. -
Effect of community phase composition (relative proportion of different functional groups) and spatial distribution on infiltration and runoff:
Perennial herbaceous plants (especially deep-rooted bunchgrasses [Idaho fescue] slow runoff and increase infiltration. Curlleaf mountainmahogany and understory shrubs break raindrop impact and provide opportunity for snow catch and accumulation on site. -
Presence and thickness of compaction layer (usually none; describe soil profile features which may be mistaken for compaction on this site):
Compacted layers are none. Sub-surface argillic horizons are not to be interpreted as compacted layers. -
Functional/Structural Groups (list in order of descending dominance by above-ground annual-production or live foliar cover using symbols: >>, >, = to indicate much greater than, greater than, and equal to):
Dominant:
Curlleaf mountainmahoganySub-dominant:
deep-rooted, cool season, perennial bunchgrasses > understory shrubs > deep-rooted, cool season, perennial forbs > shallow-rooted, cool season, perennial grasses = fibrous, shallow-rooted, cool season, perennial forbs > annual forbs.Other:
Additional:
-
Amount of plant mortality and decadence (include which functional groups are expected to show mortality or decadence):
Overstory trees have little mortality. Dead branches within understory shrubs are common and standing dead shrub canopy material may be as much as 35% of total shrub canopy; mature bunchgrasses (<25%) may have dead centers. -
Average percent litter cover (%) and depth ( in):
Herbaceous, or non-persistent, litter within curlleaf mountainmahogany canopy interspaces (± 30-40%) and litter depth is ± ½ inch. Leaf litter forms a mat 1 to 2 inches thick under the drip line of mature mountainmahogany. Large, persistent, litter from trees (limbs, etc.) variable to 5%. -
Expected annual annual-production (this is TOTAL above-ground annual-production, not just forage annual-production):
For understory vegetation to 4½ feet and normal or average growing season (through June) = ±1100 lbs/ac; Favorable years: 1400 lbs/ac Unfavorable years: 600 lbs/ac -
Potential invasive (including noxious) species (native and non-native). List species which BOTH characterize degraded states and have the potential to become a dominant or co-dominant species on the ecological site if their future establishment and growth is not actively controlled by management interventions. Species that become dominant for only one to several years (e.g., short-term response to drought or wildfire) are not invasive plants. Note that unlike other indicators, we are describing what is NOT expected in the reference state for the ecological site:
Potential invaders include: Cheatgrass and annual mustards -
Perennial plant reproductive capability:
All functional groups should reproduce in average (or normal) and above average growing season years. Reduced growth and reproduction occur during drought years.
Print Options
Sections
Font
Other
The Ecosystem Dynamics Interpretive Tool is an information system framework developed by the USDA-ARS Jornada Experimental Range, USDA Natural Resources Conservation Service, and New Mexico State University.
Click on box and path labels to scroll to the respective text.