
Natural Resources
Conservation Service
Ecological site R023XY001NV
CHURNING CLAY
Last updated: 4/10/2025
Accessed: 10/21/2025
General information
Provisional. A provisional ecological site description has undergone quality control and quality assurance review. It contains a working state and transition model and enough information to identify the ecological site.
Ecological site concept
Currently there is only a draft of the initial concept for this ecological site. The initial concept for this site places it within the Cobbly Mod Deep Clay 10-14 PZ Low or Lahontan Sagebrush and Sandberg bluegrass Ecological Site Group. To view the General STM and other information available for this ESG please go to https://edit.jornada.nmsu.edu/catalogs/esg/023X/R023XY904NV
This site is slightly less productive at 225 lbs/ac in normal years. Similar to the modal site, the soils are characterized by dark, reddish-brown, clay surface soils but are without large stones and cobbles. They are subject to extreme swelling and shrinking. This continuous active soil movement damages the root system of many plants. Annual plants as well as rabbitbrush and squirreltail are the primary species capable of surviving these soil conditions. Pedestalling of plants is common due to the high shrink-swell characteristics of the clay soils. The plant community is dominated by Washoe rubber rabbitbrush (Ericameria nauseosa (Pall. ex Pursh) G.L. Nesom & Baird ssp. nauseosa var. washoensis), bottlebrush squirreltail, Sandberg bluegrass and low sagebrush.
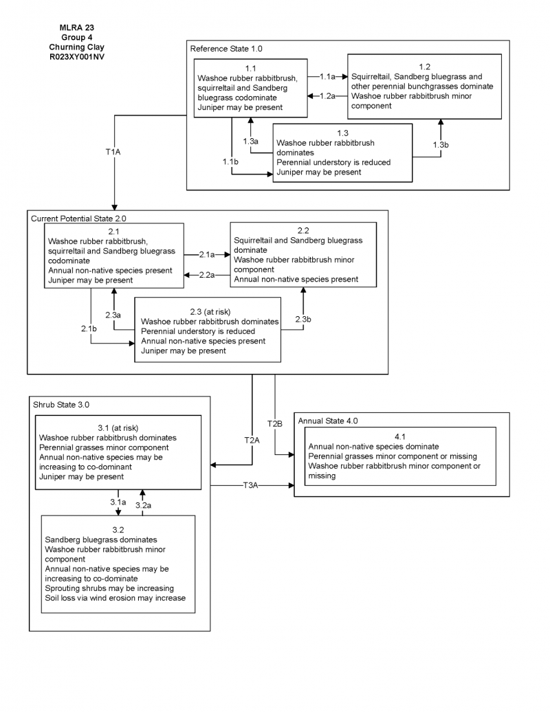
During our site visits for this project we were unable to determine if Churning Clay is a unique ecological site or if it is a Very Cobbly Claypan site with highly disturbed vegetation and soil structure. The Eroded State of the Very Cobbly Claypan site is close in characteristics to this ecological site: it lacks a silty surface soil and is dominated by rubber rabbitbrush. Churning Clay currently is a stand-alone ecological site, so we have created a separate STM for it. This site has four stable states.
Associated sites
R023XY021NV |
SCABLAND 10-14 P.Z. |
---|---|
R023XY031NV |
CLAYPAN 10-14 P.Z. |
R023XY033NV |
CLAYEY 10-14 P.Z. |
R023XY044NV |
VERY COBBLY CLAYPAN |
Similar sites
R023XY044NV |
VERY COBBLY CLAYPAN ARAR8 dominant shrub |
---|---|
R023XY021NV |
SCABLAND 10-14 P.Z. ARAR8 dominant shrub; different physiographic setting |
R023XY033NV |
CLAYEY 10-14 P.Z. ARTRT dominant shrub |
Table 1. Dominant plant species
Tree |
Not specified |
---|---|
Shrub |
(1) Ericameria nauseosa ssp. nauseosa var. washoensis |
Herbaceous |
(1) Elymus elymoides |
Click on box and path labels to scroll to the respective text.